从可行性到转化路径:尿液液体活检在泌尿系统肿瘤中的文献计量与知识图谱分析,发表于IF 7.5, JCR: Q1的期刊

问AI · 全球合作如何加速尿液生物标志物临床转化?
Healsan™技术驱动,让科研和SCI论文成为临床工作的副产品。


▼ 做您定制的类似分析,请与刘老师联系。 

不做实验,也能发IF10+SCI?正在悄悄流行的文献计量分析,不仅是“论文捷径”,更是“基金申请外挂”!


引言

泌尿系统肿瘤,包括前列腺癌、膀胱癌、上尿路尿路上皮癌(UTUC)以及肾细胞癌(RCC)是全球主要的实体肿瘤之一,其发病率和死亡率所占比例正不断上升。

当前的诊断与监测路径主要依赖影像学检查、血清生物标志物以及组织病理学活检。这些方法在早期检测、风险分层以及术后随访中发挥着基础性作用,但其具有侵入性、采样频率受限,且难以动态捕捉肿瘤负荷及分子演化的变化。在一些典型临床情境中,例如:前列腺特异性抗原(PSA)升高但影像学或直肠指检结果不明确的“灰区”、非肌层浸润性膀胱癌的长期膀胱镜监测,以及肾细胞癌术后的随访与复发监测,临床医生需要不断在“过度检查风险”与“漏诊高危进展风险”之间权衡。这种矛盾凸显了对准确、无创且可重复检测的分子生物标志物的迫切需求。与此同时,计算方法,尤其是机器学习,正越来越多地用于从高维分子和临床数据中提取可操作的信息,加速生物标志物发现并推动多种癌症的治疗发展。

液体活检通过检测体液中的循环肿瘤DNA(ctDNA)、循环肿瘤细胞(CTCs)、细胞外囊泡(EVs)及其他可溶性分析物,在癌症早期检测、微小残留病灶(MRD)评估、治疗反应监测以及耐药演化追踪方面展现出巨大潜力。大型泛癌队列研究表明,ctDNA水平与肿瘤体积、分期及预后密切相关,从而确立了循环肿瘤信号的临床有效性。随后的一系列方法学和临床综述进一步完善了ctDNA检测平台、分析框架及临床应用场景,推动了基于血浆的液体活检逐步进入临床指南和监管路径。然而,这些证据主要集中于血浆,对于直接与尿液接触的尿路/腔内肿瘤,其代表性可能有限。

相比血液,尿液采集简便、无创且便于重复取样,因此在泌尿系统肿瘤中具有独特优势。膀胱及上尿路肿瘤直接与尿流接触,而前列腺和肾脏则通过多层细胞和分子交换与尿液相连。因此,尿液中的肿瘤来源核酸、蛋白质和代谢物不仅可反映全身信号,还可能包含来自尿路上皮黏膜及局部肿瘤微环境的额外信息。不断积累的基础与转化研究表明,多种尿液分析物包括无细胞DNA(cfDNA)和ctDNA、微小RNA(microRNA)、DNA甲基化模式、蛋白质组特征以及细胞外囊泡内容物——在前列腺癌风险分层、膀胱癌复发监测以及UTUC和RCC的无创诊断和预后评估中具有潜在价值。这些特征使泌尿系统肿瘤成为检验“基于器官特异性体液的液体活检”概念的理想疾病模型。然而,生物学合理性并不等同于临床成熟度,因为尿液检测仍易受到前分析变量、标准化不足以及证据成熟度不一致等因素的影响。

在此背景下,基于尿液的检测技术在泌尿系统肿瘤领域迅速发展。在前列腺癌中,多种基于尿液RNA和外泌体的多基因特征,以及整合PSA和临床变量的模型,已被开发用于优化活检指征并识别PSA“灰区”中的高风险患者。在膀胱癌和UTUC中,由于传统尿细胞学敏感性有限,研究者开发了以DNA甲基化和热点突变面板为核心的新型尿液检测方法,以及多重蛋白检测,这些方法正在被评估用于辅助诊断并减少随访中膀胱镜的使用频率。在RCC及其他较少见的泌尿系统肿瘤中,涵盖DNA甲基化、microRNA、肽类及代谢物的尿液生物标志物组合,也被用于无创鉴别良恶性病变及进行预后风险评估。既往的文献计量研究多集中于泛癌层面的液体活检,或仅聚焦单一肿瘤或单一标志物平台,缺乏跨疾病整合及临床导向的解释。

为弥补这一不足,我们基于Web of Science核心合集(WoSCC)数据库(2015–2025),开展了针对泌尿系统肿瘤中尿液液体活检的综合文献计量与知识图谱分析。通过整合共被引分析、突现引用检测以及以临床为导向的关键词演化轨迹分析,我们刻画了该领域的时间演变、全球知识生产格局及主要临床研究场景,从而界定其阶段性发展过程及主导技术路径,并为未来研究重点和研究设计提供参考。

图片


  • 该文2026年发表于Journal of Translational Medicine,IF 7.5, JCR: Q1

▼ 想发表自己的文献计量分析论文?点击👇获得更多高质量文献计量分析模板。

图片

(👆经典文献计量分析模板,持续更新中)

以下分为三个方面进行解读。

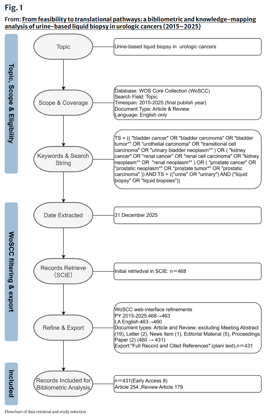
一. 检索策略

所有文献记录均来自 Web of Science Core Collection(WoSCC),并限定于 Science Citation Index Expanded(SCIE) 数据库。检索时间范围限定为 2015–2025 年,所有检索均于 2025 年 12 月 31 日 在 WoSCC 中完成。检索式如下:

TS = (( “bladder cancer” OR “bladder carcinoma” OR “bladder tumor*” OR “urothelial carcinoma” OR “transitional cell carcinoma” OR “urinary bladder neoplasm*” ) OR ( “kidney cancer” OR “renal cancer” OR “renal cell carcinoma” OR “kidney neoplasm*” OR “renal neoplasm*” ) OR ( “prostate cancer” OR “prostatic neoplasm*” OR “prostate tumor*” OR “prostatic carcinoma” )) 
AND TS = ((“urine” OR “urinary”) 
AND (“liquid biopsy” OR “liquid biopsies”))

最终数据集包含 431 篇文献,并进行文献计量与知识图谱分析,描述性统计分析使用 Microsoft Excel 2021 和 OriginPro 2024 完成,可视化与知识图谱分析采用:CiteSpace 6.3.R1,VOSviewer 1.6.20 及 Bibliometrix 。

图片


二.主要结果

1. 全球发表趋势与总体特征

相关文献自 2016 年开始出现,此后年发表量持续增长,并在 2021 年出现明显上升,到 2024 年达到 68 篇,2025 年达到 71 篇(图 2A)。单篇平均被引次数(ACPP)在 2016–2017 年达到峰值,并在 2021–2022 年出现第二个较小高峰,随后在近几年趋于平稳。年度总被引次数在 2015–2025 年间逐年增长,且自 2021 年起呈现更为陡峭的上升趋势(图 2B)。

图片


2. 国家与机构分布

研究产出涉及 51 个国家和 1,057 个机构,研究活动主要集中在北美、欧洲和东亚地区(图 3A)。

美国和中国是主要贡献国家,分别发表 104 篇(24.1%) 和 103 篇(23.9%)(表 1)。尽管美国在总被引次数和 H 指数方面位居首位,但德国和荷兰等欧洲国家在篇均被引次数方面表现更为突出。

图片


国家层面的合作网络(阈值 ≥ 5 篇文献;图 3B)显示,美国是主要合作枢纽,与英国、德国、荷兰、加拿大等国家联系密切;与此同时,欧洲国家之间形成了一个紧密的区域合作集群

在机构层面,排名前 10 的机构来自 7 个国家(表 2),其中荷兰上榜机构数量最多(3 个)。

图片

阿姆斯特丹大学(荷兰)以 14 篇发文量位居第一,其次为阿姆斯特丹自由大学(荷兰)和约翰斯·霍普金斯大学(美国)(各 13 篇);这三家机构的 H 指数也均为最高(10)

图片


机构合作网络图(图 4)显示,北美和欧洲的主要机构(如约翰斯·霍普金斯大学和奥斯陆大学)与多个合作伙伴之间建立了

广泛的合作联系

图片



3. 作者与共被引作者

共有 3,304 位作者参与了该领域的研究发表。发文量最多的作者为 Llorente A、Fujita K 和 Cheng L(各 8 篇),其次为 Nonomura N 和 Lopez-Beltran A(各 7 篇)(表 3)。

图片


在设定发文量阈值 ≥ 4 篇的条件下,共有 66 位作者被纳入作者合作网络分析(图 5A)。该网络形成了多个合作集群,且各集群内部连接较为紧密。共被引作者分析共识别出 14,837 位作者,其中有 10 位作者的共被引次数不少于 53 次。McKiernan J 的共被引次数最高(103 次),其次为 Christensen E(90 次) 和 Bryzgunova OE(81 次)

在设定共被引次数阈值 ≥ 35 次的条件下,共有 44 位作者被纳入共被引作者网络(图 5B)。网络中最大的节点主要集中在 McKiernan J、Christensen E 和 Bryzgunova OE,同时 Babjuk M 和 Birkenkamp-Demtröder K 等作者在各自集群中也表现出较强的连接性。

图片


4. 发表期刊、共被引期刊与引文流向

纳入研究的文献分布于 186 种期刊。其中,Cancers 发文量最多(56 篇,占 12.99%),其次为 International Journal of Molecular Sciences(22 篇,5.10%)和 Frontiers in Oncology(17 篇,3.94%)(表 4)。在发文量排名前 10 的期刊中,Journal of Extracellular Vesicles 的 2024 年影响因子最高,其次为 Analytical Chemistry。在共被引期刊分析中,European Urology 的共被引次数最多(1,433 次),其次为 Journal of Urology(783 次)Oncotarget(745 次) 和 Clinical Cancer Research(741 次)

图片


以共被引次数 ≥ 140 为阈值构建的期刊共被引网络共纳入 48 种期刊(图 6B),显示泌尿肿瘤学及肿瘤学核心期刊之间存在密集的共被引关系,且网络以 European Urology 为中心。

图片


期刊双图叠加分析(图 7)显示,引用期刊主要聚集在“分子 / 生物 / 免疫学”和“医学 / 临床”领域,而其引用的文献主要来自“分子 / 生物 / 遗传学”领域,反映出从基础与转化研究向临床研究的知识流动路径

在设定发文量 ≥ 3 篇的阈值下,共有 36 种期刊被纳入期刊共现网络(图 6A)。其中,Cancers 具有最大的节点规模、最密集的连接关系以及相对较新的平均发表年份,在网络中占据核心位置;International Journal of Molecular Sciences 和 Frontiers in Oncology 分布于其周围,形成多个次级枢纽。

图片


5. 高被引文献与突现文献

被引次数排名前 15 的文献列于表 5(总被引次数 TC ≥ 131)(此处只展示原文表格中的部分)。这些文献主要集中发表于 2016–2019 年 和 2021–2022 年 两个阶段。

图片


在高被引文献中,European Urology 贡献最多(4 篇),其次为 Molecular Cancer(3 篇)。被引次数最高的两篇论文均为基于细胞外囊泡(EV)的液体活检综述

  • Yu W
    (2021,Annals of Oncology;TC = 676)
  • Yu D
    (2022,Molecular Cancer;TC = 642)

共被引文献网络(图 8A)共包含 35 篇核心文献。其中连接性较高的节点包括:

  • McKiernan J(2016,JAMA Oncology)
  • Christensen E(2017,European Urology)
  • Bettegowda C(2014,Science Translational Medicine)
  • Birkenkamp-Demtröder K(2016,European Urology)
  • Sung H(2021,CA: A Cancer Journal for Clinicians)

这些文献形成了多个联系紧密的共被引集群。

突现文献分析用于识别在特定时间段内受到迅速关注的研究。CiteSpace 共检测到 15 篇具有显著突现性的文献(图 8B;表 6)。

图片


其中:

  • Sung H(2021,CA Cancer J Clin)
     的突现强度最高且时间最新(强度 = 10.09,时间:2022–2025)
  • 其次为 Bray F(2018,CA Cancer J Clin)(强度 = 7.57,时间:2020–2022)
  • 持续时间最长的突现出现在 Birkenkamp-Demtröder K(2016,European Urology)(2016–2021)

这些突现文献的主要内容总结见表 6。

图片


6. 关键词共现分析与研究热点演化

关键词共现分析基于关键词出现频次,用于总结研究热点和主题重点。共识别出 1,768 个关键词,其中 47 个出现频次 ≥ 13 次的关键词被纳入共现网络分析(图 9A)。前 20 个高频关键词列于表 7。

其中,“liquid biopsy(液体活检)”(293 次)和“biomarkers(生物标志物)”(224 次)出现频率最高,其次为疾病和分析对象相关关键词,如“prostate cancer(前列腺癌)”(148 次)、“bladder cancer(膀胱癌)”(138 次)以及“extracellular vesicles(细胞外囊泡)”(133 次)。

VOSviewer 聚类分析将这 47 个高频关键词划分为 4 个相互关联的集群(图 9A):

  • 红色集群
    :以“biomarkers”为核心,与“extracellular vesicles(细胞外囊泡)”、“microRNAs(微小RNA)”和“prostate cancer(前列腺癌)”等密切相关。
  • 绿色集群
    :以“liquid biopsy(液体活检)”为中心,与“cancer(癌症)”、“cell-free DNA(游离DNA)”、“circulating tumor DNA(循环肿瘤DNA)”和“circulating tumor cells(循环肿瘤细胞)”等高频关键词以及多种肿瘤类型术语密切相连。
  • 蓝色集群
    :以“bladder cancer(膀胱癌)”和“diagnosis(诊断)”为核心,并与“recurrence(复发)”、“DNA methylation(DNA甲基化)”、“cytology(细胞学)”和“machine learning(机器学习)”等相关。
  • 黄色集群
    :主要包含“renal cell carcinoma(肾细胞癌)”、“prognosis(预后)”和“survival(生存)”。

趋势主题图(图 9B)显示关键词关注的时间演化特征:

  • 早期主要关注“cell-free DNA(游离DNA)”和“precision medicine(精准医学)”;
  • 到 2021–2022 年,研究重点转向疾病和技术平台相关关键词,如“prostate cancer(前列腺癌)”、“bladder cancer(膀胱癌)”、“extracellular vesicles(细胞外囊泡)”和“liquid biopsy(液体活检)”;
  • 近年来则更多聚焦于“machine learning(机器学习)”、“circulating tumor DNA(循环肿瘤DNA)”、“urothelial carcinoma(尿路上皮癌)”、“renal cell carcinoma(肾细胞癌)”以及“metabolomics(代谢组学”等新兴热点。
图片


7. 敏感性分析与验证结果

敏感性分析结果支持主要知识图谱分析结果的稳定性。在不同关键词来源(DE、ID 和 All keywords)之间,核心术语和关键节点总体保持一致,前 10 名结果具有较高重叠度,这支持在主分析中使用 All keywords,因为其覆盖范围更广。当改变最小出现频次阈值时,均得到一致的四聚类结构,且与主分析相比,前 20 个高总连接强度(total link strength, TLS)关键词几乎完全重合(最小值=11 时为 19/20;最小值=15 时为 20/20。

在 CiteSpace 的突现检测中,不同 TopN 参数设置下结果具有良好一致性,共有 9 篇共同突现文献,且突现起始时间主要集中在 2021–2022 年

趋势主题分析显示,“All keywords”和“作者关键词(Author Keywords)”之间具有稳定的核心重叠,其中 All keywords 引入了更多与索引相关的广泛术语,而作者关键词则提供了更加聚焦的主题演化视角。

在 PubMed 中进行的跨数据库验证复现了总体发表趋势,但其作者合作网络相对更为稀疏;与 WoSCC 相比,作者和期刊的前 10 名重叠度较高(均为 7/10),关键词的重叠度为中等水平(5/10),且 Llorente A 未被纳入 PubMed 的核心作者群体(相关图标见原文)。


三. 讨论

1. 研究重点的阶段性演化及主导技术路径

从宏观层面来看,该领域在 2021 年前后呈现出明显的拐点:年发文量和总被引次数显著加速增长,同时单篇平均被引次数(ACPP)在 2021–2022 年出现次高峰。这促使我们进一步探究,该领域的知识结构和主导研究路径是否也发生了转变。为此,我们构建了一个时间演化分析框架(图 10),整合了两类基于引文的信号:

图片


1)高被引文献的发表年份分布及其引文影响力
2)共被引文献突现的起始与终止模式

结果显示,高被引文献主要集中在两个时间窗口:2016–2019 年;2021–2022 年。与此同时,多数 2021 年之前活跃的突现文献在 2022 年前后逐渐消退,而新一批突现文献在 2021 年左右开始出现。突现文献的出现与消退在 2021–2022 年间最为显著)。

更为重要的是,这种时间上的重构伴随着高影响力文献在内容层面的转变。基于此,可以提出一个具有假设性质的两阶段发展模型:

  • 阶段 I(2016–2020)以基础证据积累和方法学拓展为主,重点在泌尿系统肿瘤中的应用探索
  • 阶段 II(自 2021 年起逐步形成)更加强调标准化意识、平台整合以及临床转化导向的研究框架

在这一框架下,2021–2022 年可视为关键的过渡窗口期,而阶段 II 自 2021 年起逐步发展并持续深化。

2. 技术发展路径与临床重点:双重“诊断—监测”路径

在上述两阶段时间框架下,前列腺癌和膀胱癌中的尿液液体活检可归纳为一对“双路径”:在技术上共享方法,但在临床应用上各有侧重。

两类疾病中均采用:高通量组学筛选候选生物标志物;数字PCR与靶向测序用于低丰度信号精确定量;多变量模型整合尿液分子特征与PSA、分期和治疗信息,从而将这些标志物嵌入具体临床决策场景中。但关键差异在于临床目标:

  • 前列腺癌:诊断路径为主
  • 膀胱癌:监测路径为主

这种差异也解释了两类疾病证据成熟路径的不同:

  • 前列腺癌:多为横断面诊断研究
  • 膀胱癌:多为纵向随访研究

3. 全球知识生产与传播

国家与机构层面,研究呈现明显不均衡格局:

  • 美国处于核心地位(发文量与影响力)
  • 欧洲和北美形成主要研究中心
  • 欧洲内部合作紧密,并与北美保持强连接

中国和日本表现出起步较晚但增长迅速;中国发文量高但平均影响力较低;机构分散,缺乏顶级集中中心。

4. 作者结构显示出多团队并行发展;无单一主导团队;典型团队如Fujita团队的突变与尿EV研究;Cheng团队的证据整合与综述。

5. 共被引作者则构成“证据枢纽,集中于前列腺癌尿外泌体模型;膀胱癌ctDNA研究;基础方法学研究

6. 期刊体系可分为三类:探索型期刊如肿瘤/分子医学;临床核心期刊如 European Urology;方法学/平台期刊如如 EV、分析化学等。

7. 研究热点与前沿方面,关键词网络显示三核心结构:液体活检 — 生物标志物 — 临床场景。三大临床问题为前列腺癌活检决策;膀胱癌复发监测;RCC早期探索。方法层面涉及cfDNA / ctDNA / CTC / EV 为技术核心。总体趋势显示为:从基础检测 → 机器学习 + 代谢组学。

  • 前列腺癌:PSA灰区到多标志物模型

研究重点:提高诊断准确性;减少不必要活检

发展路径:单一标志物 → 多基因模型;分子 + 临床变量整合

典型模型:PCA3、ERG等;SelectMDx、Mi-Prostate

目标:优化活检决策与风险分层

  • 膀胱癌:分子监测与随访

核心问题:替代或辅助膀胱镜

方法:ctDNA突变检测;DNA甲基化;改进细胞学 + AI模型

挑战:假阳性(感染、血尿等);临床标准尚未统一

  • 肾癌(RCC):新兴但证据不足

特点:尿液信号弱(解剖原因);尚未进入指南

研究方向:DNA甲基化;外泌体miRNA;代谢组学

现状:探索性阶段 + 样本量小 + 缺乏验证

  • 跨肿瘤方法学与多组学整合

核心趋势:多组学 + 机器学习

整合内容:ctDNA / CTC;EV;甲基化;代谢组

形成:横向(平台) + 纵向(疾病场景)框架

  • 文献计量学研究局限性

主要限制:数据库限制(仅WoS + 英文);检索策略(限定“liquid biopsy”);时间滞后(2025数据不完整);引文指标 ≠ 临床价值; 不能替代系统综述等。

8. 未来研究方向

1️⃣ 从发现到临床应用:多中心前瞻性研究;验证临床价值与成本效益

2️⃣ 标准化问题:前处理与检测流程统一;提高可重复性

3️⃣ 拓展证据薄弱领域:RCC、UTUC;建立大规模队列

4️⃣ 跨学科整合:临床 + 生物信息 + AI;强调模型可解释性与外部验证


编者按

本研究揭示了尿液液体活检在泌尿系统肿瘤中的发展正经历由“技术可行性”向“临床转化”加速转变的关键阶段。以2021年前后为分界,研究重心由单一标志物探索转向多组学整合、标准化流程及临床决策嵌入。前列腺癌以诊断优化为主,膀胱癌则聚焦复发监测,体现出明确的疾病特异性应用路径。

未来研究需进一步加强多中心前瞻性验证,明确其在减少侵入性操作和改善临床结局中的真实价值;同时推动前处理与检测流程的标准化,提高结果可比性与可推广性。此外,应拓展肾癌等证据薄弱领域,并加强多组学与人工智能的融合应用。总体而言,领域突破将依赖于技术整合、标准化建设及临床场景驱动的协同发展。


DOI: 10.1186/s12967-026-08043-y
关键词:#文献计量学#Hanson临床科研#泌尿系统肿瘤


广而告之:

如果您也需要对自己公司的产品或者对自己研究的领域做系统梳理,可以找美国Healsan恒祥医学科技做文献计量分析。并可同时获赠五个仅Healsan™大数据才有的福利

  • 文献检索老师参与学员选题的文献检索;
  • 完成分析后,免费使用SCI论文神器10天,以完成论文撰写;
  • 作者撰写好之后,获得免费查重;
  • 作者投稿前,获得免费的选刊服务。

编译:Shutong Liu,微信号:Healsanz。