【特稿】四十载鉴往知来录发展 新时代守正创新谱华章——写在《四川年鉴》创刊40周年之际

四十载鉴往知来录发展

 新时代守正创新谱华章

写在《四川年鉴》创刊40周年之际

四川年鉴社

编者按:地方综合年鉴作为“一地之百科全书”,是记录时代变迁、传承历史文脉的重要载体。1986年3月12日,《四川年鉴》在改革开放的时代浪潮中应运而生。作为省政府办公厅主管、省地方志办主办的省级地方综合年鉴,四十载笔耕不辍,累计编纂出版40卷、近8000万字、万余张图表,全面系统忠实记录了四川国民经济和社会发展进程,充分发挥出“存史、育人、资政”功能,成为展示四川成就、宣传四川形象的重要窗口。在创刊40周年之际,四川年鉴社系统梳理《四川年鉴》40年发展历程,深入挖掘其权威性、时代性、全面性、连续性等特色亮点,多维呈现其历史积淀、发行服务、学术影响、成果转化等方面的时代价值,全面总结坚持正确方向、强化政策引领、凝聚众手合力、推进守正创新、夯实人才根基等编纂出版经验,旨在探寻省级综合年鉴发展规律,为推动新时代年鉴事业高质量发展、更好服务治蜀兴川大局提供有益借鉴。

图片

《四川年鉴》创刊于1986年,是省政府办公厅主管、省地方志办主办的省级地方综合年鉴,至今已连续编纂出版40卷。2026年是《四川年鉴》创刊的第40年。40年来,在省委、省政府坚强领导和中国地方志工作办公室有力指导下,《四川年鉴》作为记载和反映四川省情的重要资料性文献,通过近8000万字、万余张图表,全面系统忠实记录四川国民经济和社会发展进程,为各级领导机关和部门提供决策参考,为社会科学研究提供实证依据,为各界人士了解和研究四川提供权威资料,切实践行服务中心大局、服务经济社会发展、服务人民群众理念,充分发挥年鉴“存史、育人、资政”功能,成为展示四川成就、宣传四川形象的重要窗口。

图片

《四川年鉴》连续出版40卷(四川年鉴社 供图)

一、《四川年鉴》发展历程回顾

40年来,《四川年鉴》始终紧跟时代步伐,坚持以马克思列宁主义、毛泽东思想、邓小平理论、“三个代表”重要思想、科学发展观、习近平新时代中国特色社会主义思想为指导,历经初创奠基、体制完善、数字转型三个时期,从服务经济改革到服务经济社会发展,从贯彻落实部署到全面依法治鉴,从传统纸质出版到全面融合发展,在改革创新中构建起年鉴事业发展新格局。

(一)适应改革开放新形势,《四川经济年鉴》初创

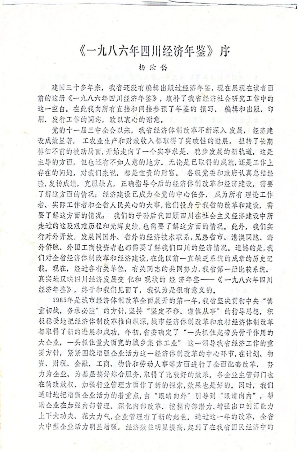
1979年11月,邓小平同志在同中国大百科全书出版社负责人谈话时指出:“编辑出版年鉴,很有必要,这是国家的需要,四化建设的需要。”1985年4月,中国地方志指导小组全体会议讨论通过《新编地方志工作暂行规定》,提出各地编纂委员会及其常设机构的主要任务之一就是“编辑出版地方年鉴”。党的十一届三中全会以来,四川省经济体制改革不断深入发展,为响应国家号召和服务经济建设,以系统化、年度化方式记录改革开放实践,省政府决定从1986年3月起,每年编辑出版一卷《四川经济年鉴》,编辑部设在省社科院,编制人员共5人。1986年9月,国务委员兼国防部长张爱萍为《四川经济年鉴》题写书名,中央政治局委员、中央书记处书记田纪云等为《四川经济年鉴》题词。1987年7月,《四川经济年鉴》第一卷出版发行,120万字,省委书记杨汝岱为首卷作序。1988年,国家新闻出版署批复同意《四川经济年鉴》作为期刊出版,刊号CN51—1308,公开发行。1989年2月,经国家新闻出版署批准,《四川经济年鉴》正式更名为《四川年鉴》,刊号改为CN51—1339(1991年改为CN51—1339/Z)。

图片

1986年9月,国务委员兼国防部长张爱萍为《四川经济年鉴》题写书名(四川年鉴社 供图)

图片

1986年9月,中央政治局委员、中央书记处书记田纪云为《四川经济年鉴》题词(四川年鉴社 供图)

图片
图片
图片



1987年7月,《四川经济年鉴》第一卷出版发行,省委书记杨汝岱为首卷作序(四川年鉴社 供图)

图片

1987年7月,《四川经济年鉴》第一卷出版发行(四川年鉴社 供图)

(二)省委省政府及省直有关部门高度重视,《四川年鉴》成为省政府“蓝皮书”

四川省委、省政府高度重视年鉴工作,省领导多次出席《四川年鉴》工作会并作工作指示,在法治建设、队伍建设等方面给予关心支持,为年鉴事业发展提供坚实保障。1993年3月,省机构编制主管部门同意《四川年鉴》编辑部增挂“四川年鉴社”牌子。1995年1月,省机构编制主管部门同意编辑部在原核定5名全额拨款事业编制的基础上,增加自收自支事业编制6名(2023年3月明确四川年鉴社为公益一类事业单位)。2003年7月,四川出台《四川省地方志工作条例》,系中国首个,早于国务院2006年颁布实施的《地方志工作条例》,年鉴工作由此迈入法治化轨道。2004年11月,《四川年鉴》创新出版形式,开始逐年随书同步推出年鉴光盘电子版。2005年,为庆祝创刊20周年,省长张中伟为《四川年鉴》2005年卷作序,指出“《四川年鉴》内在品质和外在形式有机统一,受到国内外广大读者的重视,享有省政府‘蓝皮书’的称誉”。2006年12月,根据《地方志工作条例》等有关规定,四川年鉴社从省社科院移交至省地方志编纂委员会管理,其编制及实有人员一并移交。

图片

2004年11月,《四川年鉴》首次随书同步推出年鉴光盘电子版(四川年鉴社 供图)

图片

2005年,为庆祝创刊20周年,省长张中伟为《四川年鉴》2005年卷作序(四川年鉴社 供图)

(三)迈出融合发展步伐,《四川年鉴》着力全面提质增效

《四川年鉴》紧跟技术发展趋势,不断拓展载体形态、深化平台建设、创新服务模式,切实践行“编鉴为用”理念。2007年3月,四川年鉴社与中国知网签约合作,《四川年鉴》逐年被中国知网收录。2017年,《四川年鉴》开发的首个衍生产品《四川地情2016》公开出版发行。2018年,四川地方志系统全面推进年鉴数字化建设,《四川年鉴》电子版历卷均上线至四川省情网的“数字方志”专栏、四川省数字方志馆网站及“四川公共数据开放网”;该年起逐年出版《四川年鉴》英文版。2021年以来,陆续编辑开发《四川年鉴》简本、《四川印记》,交付全省两会使用。其中,2024年起,《四川年鉴》简本增加电子书号,公开发行;2026年起,四川年鉴社将历年《四川印记》进行“数字化”,上线四川省情网。2025年,数字化建设平台持续升级,“四川方志云”微信小程序、川观新闻12.0版本的“四川省情”子栏目上线。至此,《四川年鉴》实现年鉴版本全链条开发,形成数字化传播矩阵,全方位满足社会各界对四川地情信息的便捷获取需求,标志着《四川年鉴》在数字化转型道路上迈出坚实步伐,为新时代年鉴事业创新发展和服务能力提升注入强劲动力。

图片

2018年,《四川年鉴》历卷电子版全部上线四川省情网的“数字方志”专栏。图为网页截图(四川年鉴社 供图)

图片

2025年9月26日,川观新闻12.0版本的“四川省情”子栏目上线,可查阅历卷“四川年鉴”。图为页面截图(四川年鉴社 供图)

图片

《四川年鉴》部分衍生产品(四川年鉴社 供图)

二、《四川年鉴》特色亮点

40年来,《四川年鉴》紧跟时代步伐,在历史自觉中记述四川发展记忆,在全域全业中搭建多维记录框架,在文化传承中积淀历史纵深价值,呈现出权威性、时代性、全面性、连续性等鲜明特点。

(一)权威性

《四川年鉴》是改革开放后四川第一部、唯一一部省级地方综合年鉴,是省政府的重要信息载体,也是省政府的“蓝皮书”,其权威性仅次于政府部门的红头文件。这一权威地位,源自主管主办的制度保障、编审机制的层层把关以及供稿流程的规范严谨。主管主办层面,历经调整但权威不减。1986—2008年,《四川年鉴》由省政府主管主办,2009—2011年,改由省政府办公厅主管主办,2012年以来,按照国家新闻出版署的规定要求,实行“管办分离”,明确由省政府办公厅主管、省地方志编纂委员会(后更名为省地方志办)主办。同时,顾金池、谢世杰、蒲海清、张中伟、杨崇汇、蒋巨峰等省领导先后担任年鉴编委会主任,姜泽亭、雷喻义、李洪仁、王东洲、齐国生、薛康、马小彬、陈建春先后担任总编辑。内容编纂层面,政府发文征稿确保来源权威。《四川年鉴》作为大型综合性年刊,不同于一般刊物,征稿工作由省政府办公厅或省地方志办专门发文部署。1986—2016年卷、2019年卷由省政府办公厅专门发文面向市县政府、省政府各部门及直属机构等征稿,其他卷由省地方志办发文组织。部分卷次特邀省直有关部门负责人或权威专家撰写专文,进一步提升内容权威性和专业性。供稿流程层面,层层审核把关夯实权威根基。供稿单位以全省各级机关和企事业单位等特定机构为主,稿件内容真实全面、数据准确,由单位分管领导审核签字并加盖公章后报送,确保了内容及数据的‌权威性。

图片

1986—2008年,《四川年鉴》由省政府主管主办。图为《四川年鉴》2008年卷封面(四川年鉴社 供图)

图片

2009—2011年,《四川年鉴》由省政府主管主办改为省政府办公厅主管主办。图为《四川年鉴》2009年卷封面(四川年鉴社 供图)

图片

2012年起,《四川年鉴》由省政府办公厅主管主办改为省政府办公厅主管、省地方志编纂委员会主办。图为《四川年鉴》2012年卷封面(四川年鉴社 供图)

(二)时代性

1978年12月,党的十一届三中全会召开,开启改革开放和社会主义现代化建设新征程。《四川年鉴》紧扣时代发展,通过图文、图表等形式忠实记录在党中央领导下,四川省委带领各族人民解放思想、拨乱反正、锐意改革,在全国率先进行改革开放的进程与成就。例如,1987年卷起专设“城市经济体制改革”章,1988年卷将其升格为“经济体制改革”篇。《四川年鉴》1993年卷起,全面记录四川区域经济发展战略的转变,从“一线两翼”发展格局到“两点两线两翼”战略,再到1997年重庆直辖后省委根据新省情通过的《四川省国民经济跨世纪发展战略》。《四川年鉴》自2000年卷起,持续记录四川抓住西部大开发历史机遇,实施“追赶型、跨越式”发展战略,全省经济社会各项事业和党的建设取得巨大成就,通过专刊等形式特别记录众志成城夺取“5·12”汶川特大地震抗震救灾和灾后重建的重大胜利。《四川年鉴》从2013年卷起,忠实记录党的十八大以来,四川相继实施“一干多支、五区协同” “四化同步、城乡融合、五区共兴”战略布局,真抓实干,攻坚克难,治蜀兴川各项事业取得的重大成就,分别单设类目结合专题图片,辅以大事记,纵深记录抗击芦山地震、统筹疫情防控和经济社会发展、推动成渝地区双城经济圈建设、脱贫攻坚战取得全面胜利等重大内容。

图片

《四川年鉴》2000年卷设置“抓住西部大开发机遇 实现四川跨越式发展”专题图片(四川年鉴社 供图)

图片

《四川年鉴》2008年卷设置“万众一心 不屈不挠 抗震救灾” 专题图片(四川年鉴社 供图)

图片

《四川年鉴》2022年卷设置“全力巩固拓展脱贫攻坚成果同乡村振兴有效衔接,乡村全面振兴实现良好开局”专题图片(四川年鉴社 供图)

图片

《四川年鉴》2021年卷设置“加快推动成渝地区双城经济圈建设”专题图片(四川年鉴社 供图)

(三)全面性

《四川年鉴》是一部全面展示四川年度发展面貌的“省情百科全书”。1987年8月,《四川经济年鉴》1986年卷出版,该卷追溯自中华人民共和国成立以来尤其是党的十一届三中全会以来(重点又在“六五”期间),四川经济和其他各项事业的发展情况,分“四川概况、经济文献选编、主要经济社会部门发展概况、各地市州经济发展概况、经济体制改革、三线建设的调整和改革、经济统计资料、部分企业概况、经济科学研究机构和研究状况、经济工作大事记、四川旅游胜览”十一个部分,内容展示侧重经济方面,表述以文章为主、图表为辅,全卷共120万字、132个图表、28幅随文图片。1987年12月,《四川经济年鉴》1987年卷出版,主要增加“巴蜀人物”篇。1988年12月,《四川经济年鉴》1988年卷不再作为图书出版,而是作为期刊出版,篇幅比上卷增加50万字,新增全省县(市、区)级内容。1989年,《四川经济年鉴》更名为《四川年鉴》。《四川年鉴》1989年卷保留原有篇章,新增“政治”“法制”“军事”三篇,内容更加丰富,这标志着年鉴的收录范围不再局限于经济领域,开始全面系统记录全省政治、经济、文化、社会、生态等方面发展情况。2006年,国务院第467号令公布《地方志工作条例》,其中第三条“地方综合年鉴,是指系统记述本行政区域自然、政治、经济、文化、社会等方面情况的年度资料性文献”,明确地方综合年鉴记述范围与内容,年鉴记载的全面性从法律层面再次得到强化。

图片

2006年,国务院第467号令公布《地方志工作条例》,其中第三条明确地方综合年鉴记述范围与内容。图为网页截图(四川年鉴社 供图)

(四)连续性

《四川年鉴》以40年连续、系统的年度记录,忠实见证四川各项事业从夯基垒台到积厚成势、从局部突破到系统跃升的历史性跨越。通过系统梳理全省经济、政治、文化、社会及生态文明建设的辉煌历程,可为新时代治蜀兴川的宏阔实践提供坚实的史料支撑与科学的决策参考。例如,《四川年鉴》自1987年卷起专设“行政区划”分目,40年来持续追踪省市县乡四级建制变迁轨迹,完整呈现四川行政区划服务国家战略、优化治理体系的演进历程。省级层面,1998年卷忠实记录重庆直辖这一重大历史性调整,省级行政区划发生重大变化,省级建制自此定型并延续至今;市级层面,《四川年鉴》1994—2001年卷,陆续记录全省新设8个地级市,见证四川18个地级市、3个少数民族自治州共21个市州级行政区划建制格局形成,标志着四川城镇化步伐迈入新阶段;县级层面,持续更新变化情况,2013年卷记录新设巴中市恩阳区和广安市前锋区,全省由原来的181个县(市、区)扩容到183个。至此,四川县级行政区划数量居全国第一,且此后未再发生变化;乡级层面,2020—2022年卷,着墨记载在高质量发展与现代化治理需求背景下,四川实施乡镇行政区划和村级建制调整改革的壮阔历程。

三、《四川年鉴》时代价值

四十载秉笔直书,四十载鉴照初心。《四川年鉴》始终坚持以质量为根本、以服务为导向,在存史留真、规范出版、学术传播、资政辅治四个维度持续发力,切实发挥省级地方综合年鉴的示范引领作用,逐步形成独具四川特色的年度权威文献品牌。

(一)历史积淀蔚为大观

《四川年鉴》连续出版40卷,累计刊发文字7989万字、14363张图表(含图表7057个,专题图片4322幅、随文图片2984幅),系统记述40年来四川省行政区域内自然、政治、经济、文化、社会、生态文明等方面的年度发展与成就,构建起连续、权威、多维的省情资料体系,具有重要的历史文献价值。政治建设方面,40年持续记录四川坚持和加强党的全面领导、深化党的建设、巩固人民当家作主的生动实践。经济建设方面,40年系统记录四川经济总量从百亿到千亿再到万亿、数万亿的跃升轨迹,展现发展质效大幅提升、由经济大省向经济强省奋进的壮阔历程。文化建设方面,40年持续着墨,清晰勾勒四川从“文化资源大省”迈向“西部文化强省”进而建设“新时代文化强省”的跨越轨迹。社会建设方面,连续40年特别是党的十八大以来,浓墨重彩记录省委团结带领全省各族人民将扶贫脱贫、聚焦百姓美好生活作为最大政治责任、最大民生工程、最大发展机遇的奋斗历程,以年度为刻度铭刻巴蜀儿女同步全面建成小康社会的历史荣光。生态文明建设方面,40年持续视角,纵向记录从“全国率先启动天然林保护工程”到“西部首个生态省建设”再到“美丽四川建设”的战略递进,系统呈现四川筑牢长江上游生态屏障、绘就巴山蜀水美丽画卷的生动实践。

图片

《四川年鉴》40卷及年鉴衍生产品(四川年鉴社 供图)

(二)发行有序普惠共享

40年来,在各级领导和广大作者、读者大力支持下,《四川年鉴》始终把社会效益放在首位,实现社会效益与经济效益相统一。内容质量方面,坚持数据翔实、图表直观、文字精炼相统一,严格执行“三审三校”制度,没有出现导向问题、违法违规问题,内容真实准确、权威专业,高分通过期刊审读等各类检查,编纂品质逐年提升。出版发行方面,40卷印刷总量达20万余册,卷均5000余册,按相关要求结合工作实际,依法规范开展发行工作,并从2017年卷起不再刊登广告。《四川年鉴》服务对象主要覆盖全省各级党政机关、企事业单位、高等院校及科研院所。在向全社会发行的同时,依托省级平台和史志“七进”等活动,面向四川省方志馆各分馆等公共图书馆或文化传播机构、省直各部门(单位)、各市(州)单位以及有关年鉴专家、机构开展免费赠阅活动,推动年鉴成果走进社会各个角落,实现年鉴资源的普惠共享和有效触达。

(三)学术影响力持续提升

40年来,《四川年鉴》先后被评为四川省一级期刊和四川省优秀期刊,并多次获得全国地方志优秀成果(年鉴类)奖项、四川省优秀成果(年鉴类)奖项,其中,获得全国地方志优秀成果(年鉴类)特等奖2次。截至目前,中国知网已收录《四川年鉴》1986—2024共计39卷,学术影响力持续提升。引证文献方面,根据《中国图书引证统计数据库》数据显示,截至2026年3月4日,《四川年鉴》被引频次共计325次,涉及273篇引证文献、133个机构。其中,被重要期刊引用情况:被北大核心刊引用22篇、被CSSCI收录刊引用3篇、被CSCD收录刊引用6篇;引用机构有中共四川省委、中共北京市委等政府机构,中国科学院水利部成都山地灾害与环境研究所、四川省自然资源科学研究院等科研院所,四川大学、四川农业大学等高校。网络传播方面,根据《四川年鉴》在《中国年鉴网络出版总库》及CNKI系列数据库中的被使用数据显示,2025年1月1日至12月31日期间,《四川年鉴》所有卷册的下载量为3909次、浏览频次3173次。

图片

《四川年鉴》2020年卷《四川年鉴》2022年卷分获第八届、第九届全国地方志优秀成果(年鉴类)特等年鉴(四川年鉴社 供图)

(四)成果转化成效显著

《四川年鉴》紧紧围绕党委政府重大决策部署,践行服务中心大局、服务经济社会发展、服务人民群众理念,在融合创新中加强年鉴开发利用,全面推进年鉴资政辅治工作。一是创新开发产品,服务中心大局。四川年鉴社打破“重编轻用”局面,陆续开发《四川地情》《四川年鉴》简本、英文版和《四川印记》等产品。2021年起,连续6年创新编辑年鉴衍生产品服务两会,为参会代表、委员履职建言、参政议政提供信息支持,更为省委、省政府科学决策、精准施策提供参考。二是形成资政报告,服务改革发展。依托省地方志办创办的《资政参阅》平台,刊发资政报告。以《四川年鉴》历卷为基础,撰写《鉴证四川——透过年鉴看四川这十年》系列文章,系统再现十年来在省委、省政府坚强领导下,全川人民勠力同心、拼搏实干、砥砺前行的奋斗历程及发展成就;围绕行政区划、科教兴川、脱贫攻坚等主题,形成《从志书年鉴看四川省行政区划变迁》等资政报告直报省领导,获省领导多次肯定性批示。

图片

2021年起,四川年鉴社连续6年创新编辑年鉴衍生产品服务省两会。图为服务两会的年鉴衍生产品(四川年鉴社 供图)

四、《四川年鉴》编辑出版经验

四十载栉风沐雨,《四川年鉴》在探索中积淀宝贵经验,在实践中把握发展规律。“十五五”开局之年,站在新的历史起点,四川年鉴社将坚持以习近平新时代中国特色社会主义思想为指引,自觉融入中国式现代化建设和国家发展大局,坚持“存史、育人、资政”,以更宏大的视野、更创新的笔触、更务实的担当,奋力书写四川年鉴事业高质量发展新篇章。

(一)坚持正确办刊方向,把牢编纂政治原则

《四川年鉴》始终坚持正确办刊方向,把讲政治贯穿年鉴工作全过程各方面,坚持以马克思列宁主义、毛泽东思想、邓小平理论、“三个代表”重要思想、科学发展观、习近平新时代中国特色社会主义思想为指导,把牢年鉴编纂方向,牢固树立“为党立言、为国存史、为民修志”的政治责任感,在篇目设计、内容选取、条目撰写等方面始终同党中央保持高度一致,准确记述党中央重大决策部署在四川落地生根、开花结果的生动实践,全面反映省委、省政府推动治蜀兴川的各项发展成就。严格落实意识形态工作责任制,将政治把关嵌入编纂流程各节点,严把史实关、政策关、保密关,健全三级审读和交叉核验机制,坚决杜绝错误表述和不当内容。以敬畏之心存史、以责任之心编鉴,确保《四川年鉴》政治方向不偏、记录内容不失、编校质量不降,真正成为经得起历史和实践检验的权威文献。

(二)坚持政策引领,强化法治保障

《四川年鉴》始终坚持系统谋划,强化顶层设计,推动年鉴工作从依规编鉴到依法编鉴再到依法治鉴实现三个阶段跃升。一是以规起步,实现制度化奠基。1985年,《新编地方志工作暂行规定》颁布实施,四川迅速响应,将年鉴编纂纳入地方志工作体系,实现依规编鉴的制度化起步。二是依法固本,迈入规范化轨道。2003年,四川在全国率先出台《四川省地方志工作条例》,年鉴工作从行政推动迈入依法编鉴的规范化轨道。2007年,省政府以政府令的形式发布《〈四川省地方志工作条例〉实施办法》,保障和促进年鉴事业发展。三是以治提效,构建法治化格局。2016年,四川首次将“依法治志”写入政府文件,“依法治志”之“志”在外延上涵盖年鉴,标志着四川全面实现依法治鉴的法治化新格局。2022年,《四川省“十四五”地方志事业发展规划》将年鉴编纂置于主要任务第二条的突出位置,进一步强化其战略地位。

(三)坚持“众手成鉴”,共铸权威品质

《四川年鉴》始终坚持“众手成鉴”的编纂理念,充分发挥省级综合年鉴的平台优势,在各单位通力协作与大力支持下,以各方权威汇聚年鉴权威,以集体智慧铸就精品力作。一是严格供稿审核,夯实成鉴基础。各供稿单位严格落实审核把关责任,对提供内容及数据核实确认,确保供稿资料翔实准确、权威可靠,为年鉴质量提供根本保障。二是强化双向互动,实现正向反馈。通过年度工作会、供稿业务培训、篇目意见征求等多种形式,广泛听取各供稿单位对《四川年鉴》篇目设置、内容选取等方面的意见建议,形成“编辑部主导、各单位参与、双向反馈优化”的良性互动机制,推动年鉴工作持续向好。三是深化沟通协调,把好内容关口。在审稿过程中,针对内容交叉重复、归属不明、数据存疑、图片需更换补充等情况,编辑部与相关供稿单位建立“点对点”快速沟通渠道,第一时间核实确认、修改完善,确保年鉴内容准确无误、规范统一。

(四)坚持守正创新,实现常编常新

《四川年鉴》始终牢记编纂质量是年鉴事业的生命线,坚持守正创新,以高质量发展为主题,以改革创新为抓手,构建科学规范、高效优质的编纂体系。在篇目设计上,始终与时代发展同频共振。随着经济社会发展,各卷陆续增设“非公有制经济”等篇,2006年卷进行重大结构调整,将25篇整合为8篇,2008年卷特设抗震救灾专辑并出版唯一增刊。2013年卷起,各卷陆续增设、更名、优化、调整部分类目和分目,以2025年卷为例,“科学技术”类目更名为“西部地区创新高地建设”。在编校方式上,突破“来稿编稿”,构建“多方采集、采编结合”工作新机制,拓展稿件来源渠道,增强内容多样性;严格落实“三审三校”制度,创新采用“集体校核+交叉互校+人机协同+专业核验”校稿模式,确保差错率低于万分之一。在内容呈现上,突破传统模式,增加随文图片、图表比重,以可视化方式直观呈现数据信息,有效提升年鉴的史料价值与可读性。

图片

《四川年鉴》“万众一心 不屈不挠 抗震救灾”增刊封面(四川年鉴社 供图)

(五)坚持人才强鉴,夯实事业根基

《四川年鉴》始终把人才作为第一资源,持续打造年龄结构合理、专业素养过硬、梯次配备完善的年鉴编纂队伍。一是注入新鲜血液,优化队伍结构。近年来,通过选调引进2名优秀中级职称骨干,公开招聘2名文史哲专业硕士研究生、1名具有丰富基层工作经验的大学毕业生,队伍年龄梯次、学历层次、学科背景显著优化。目前全社拥有高级职称1人、中级职称5人,专业化水平大幅提升。二是强化能力建设,提升专业素养。坚持“请进来、走出去”相结合,组织全员参加出版专业技术人员继续教育培训,实现编辑持证上岗全覆盖;鼓励业务骨干参加全国年鉴学术研讨会等高层次学术活动,持续拓宽视野、更新理念,全面提升编辑队伍的政治素养、业务本领。三是延伸培训半径,辐射带动全省。面向市(州)及省直部门年鉴业务人员,构建“线上+线下”立体化培训体系,年均培训年鉴编纂骨干150余人次,有效带动全省年鉴队伍整体能力跃升。

图片

2026年3月5日,四川省地方志工作办公室在成都举办《四川年鉴(2026)》供稿单位培训会(四川年鉴社 供图)

四十载栉风沐雨、笔耕不辍,《四川年鉴》既是改革开放以来四川发展变迁的忠实记录者,也是治蜀兴川伟大实践的深度参与者和坚定见证者。这四十卷年度文献,承载的不仅是数据与史实,更是巴蜀儿女的奋斗足迹和精神图谱。回望来路,我们倍感自豪;展望前程,我们信心满怀。在习近平新时代中国特色社会主义思想指引下,《四川年鉴》将秉持初心、守正创新,让这部“年度信史”在新时代绽放更加璀璨的光华,为谱写中国式现代化四川新篇章贡献源源不断的年鉴力量。

本文内容系原创

转载请注明:“来源:方志四川”

:四川省地方志工作办公室


作者:四川年鉴社(执笔:卿丹丹)
供图:四川年鉴社

方志四川部分图片、音视频来自互联网,仅为传播更多信息。文章所含图片、音视频版权归原作者或媒体所有。