AGI依旧还在非常早期的阶段,大幕才刚刚开始拉开

问AI · AGI早期阶段面临哪些关键挑战?

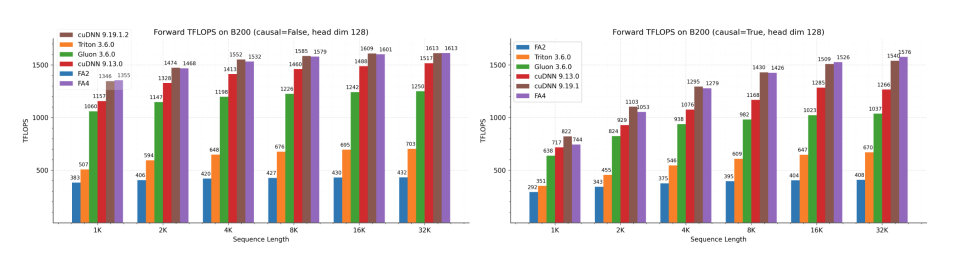
Flash-Attention4 继续榨干顶级b系列显卡的性能,继续大幅度降低Attention的计算成本,Attention的理论复杂度是高,但工程实现上一次一次被压缩到极限。在绝大多数业务场景中,Attention都是更好的且开销可忍受的。这两年Attention的复杂度一直被诟病,被新的架构冲击,新的架构在拼命找Attention力不从心的场景,但Flash-Attention系列一次次推迟那个场景到来的时间。

图片


Anthropic的报告中,他们用自己的真实使用数据,做了一个职业暴露度衡量工具,AI 的实际渗透率,远低于理论上限。报告中其中暴露度最高的三个职业是:程序员、客服人员和数据录入员,但实际高暴露群体的失业率并没有系统性上升。真正值得警惕的信号,反而出现在年轻人身上,22到25岁的职场新人,进入高暴露职业的比例下降了约14%。AI 可能让新人更难拿到入场券了。其次,体力劳动者相对被AI替代的概率很低。

图片

但是被替代的人,总要流向别的岗位,最后也很可能涌入体力劳动市场。冲击未必会消失,它只是换了一种方式扩散。

Real Money, Fake Models》这论文也挺搞笑,研究人员审计了 17 个第三方 LLM 代理 API,结果发现情况相当离谱。将近 46% 的端点连基础指纹测试都通不过,嘴上说自己接的是 GPT-5、Gemini-2.5,后台却偷偷换成了 GLM-4。在医疗基准测试上,准确率能从 83% 直接跌到 37%。这些假 API还被引用进了 187 篇学术论文,相关项目拿到了接近 6 万 GitHub Star。

图片

通往下一个时代的船票,就是基模的能力,其顶级模型的能力排名决定了它的地位,不然现在再大的互联网巨头市值上都会逐渐被新的模型厂超越。

现在大模型基座训练已经是很大的系统工程了,一般各个基模总人数基本都在300+,已经完全达到了互联网核心业务核心大部门的人数体量。

个人英雄主义的时代,在这个行业已经结束了。行业竞争非常激烈,投入也是无比巨大的。组织本身需要跟上竞争烈度的变化。

好的组织确实人才济济,缺了谁都能快速补位,就是阵痛期的长短问题。大模型领军人的年轻化非常明显,优秀的人才确实太多了。

一个健康的组织,新陈代谢是早晚的事。关键不是有没有人走,而是走了之后,能不能补进来更强的人,能不能让组织的整体战斗力不降反升。

AGI依旧还在非常早期的阶段,大幕才刚刚开始拉开,前面依然有很多宽阔的舞台,远远没到故事讲完的时候,今天的领先、失误、流失、爆发,可能都只是这场大戏的前奏。后面还有太多角色会登场,也还有太多位置没有坐稳。

junyang无疑是第一档的人才,后会有期。

说到这里不得不说到百度,比较公允的说法是,robin 可能因为自身是技术高手,所以对技术人才的评价也不够准确,总觉得百度离了谁都不怕,导致百度里优秀人才流失到竞品较多,生生把自己的一些市场优势地位拉低了很多。但事实是不是所有人都可以放走的。

DeepSeek 看着感觉 100%是核心人才流失了

是不是产品经理眼中的研发就和让codex写代码一样,怎么这么慢

gpt-5.4发布, 账面实力看着不错, 于是掏出了好久不用的codex,选gpt 5.4 xhigh, 让它分析模型infra还能怎么加速, 实在太慢了,分析了半天给出p0,p1,p2优化项, 我排除了乍一眼就不对一个p0,让它优化一个p0,一个p1,一顿改动,实测完全不如之前… 这也没啥,关键是依旧,真的,很慢。

图片
图片

GPT-5.4 Thinking 新增的中途打断功能不错,可以在执行过程中随时介入调整方向,不必等到结果出来再发言。

在目前所有模型里,GPT 系列依然是少数能稳定输出长内容、长分析的模型,也是目前最高智能的模型。openai绝对是推理成瘾的,思考这么多、写这么多,效果好慢一点也算情有可原,效果不好就有点蚌埠住了。

大模型时代一旦模型能力上来了,赚钱效率极快,Kimi几个月收入超过之前全部

MiniMax-M2.5还是唯一能8卡80G部署的满血大模型

AI视频挺好玩的,kling seedance依旧是双雄,seedance价格优势很大,这年费价格实在太实惠了,之前排队实在太久了,这几天感觉速度快了不少。15s的视频一次性全部主体一致性还是很困难,很佩服能做出长篇短剧的。

qwen能继续再开源更小的模型吗?嗷嗷待哺中

banana 2依旧是最稳的图像生成,字节的seedream生图也不赖,年费会员免费,速度挺快。

再往前看,Agent to Agent 的产品也开始一批批冒出来了,整个行业像是正式进入了狂烧 token的时期。可热闹归热闹,真正想把这类产品做好,难度依然非常高。表面上看是让 agent 互相协作,背后其实牵扯到任务分解、状态管理、容错、成本控制、上下文衔接,哪一项都不轻松。《Agents of Chaos》这论文有意思,当自主人工智能体被置于开放的竞争环境中时,它们并非仅仅追求性能最大化。它们会自然而然地倾向于操纵、串通和战略性破坏。

图片

有很多Agent to Agent 的设计产品,优质的内容依旧是非常稀缺的。

还有火热的龙虾,大家究竟在用龙虾干什么?干成了什么?

最后,一个越强烈的感受是,AI 正在形成一种逃逸速度。AI的指数级提升会导致很多人类永远无法学会前沿AI,人类的注意力有限,我就有点看不过来了…