江苏省公务员局发布面试人选名单

3月6日,江苏省公务员局发布《江苏省2026年度考试录用公务员省级机关职位入围面试人选公告》,全文如下:

根据《江苏省2026年度考试录用公务员公告》规定,省级各招录机关在报考本单位笔试合格人员中,根据笔试成绩从高到低的顺序,按照与拟录用人数3:1的比例,对入围面试人选进行报考资格复审,并根据有关规定对部分职位缺额人选进行递补。省级机关职位共有614名考生具备面试资格,现予以公布。如有意见,可向招录机关反映。

附件:江苏省2026年度考试录用公务员省级机关职位入围面试人选名单(614名);详情可至江苏省公务员局官网查看

江苏省公务员局

2026年3月6日

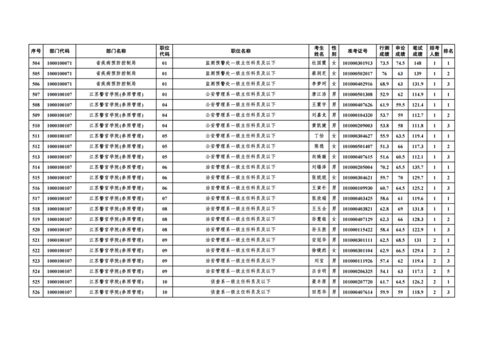
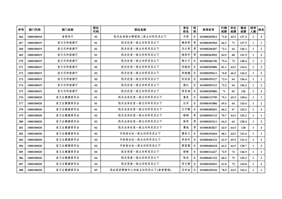
江苏省2026年度考试录用公务员省级机关职位入围面试人选名单(614名)

图片
图片
图片
图片
图片
图片
图片
图片
图片
图片
图片
图片
图片
图片
图片
图片
图片
图片
图片
图片
图片
图片
图片
图片
图片
图片
图片

【来源:南京晨报】

                  声明:此文版权归原作者所有,若有来源错误或者侵犯您的合法权益,您可通过邮箱与我们取得联系,我们将及时进行处理。邮箱地址:jpbl@jp.jiupainews.com