酒没有安全量!超5万人研究:只要喝酒,血压就会升高,不论是哪种酒

你是否也喜欢在晚餐时喝上一杯,并认为这对心脏无害甚至有益?是时候重新思考了。多年来,人们普遍认为轻度至中度饮酒可能不会影响血压,甚至可能对心血管有保护作用。

然而,发表在《美国心脏病学会杂志》(JACC)上的一项开创性新研究彻底颠覆了这一传统观念。研究人员利用庞大的健康体检纵向数据库(涵盖2012年至2024年间58943名参与者的近36万次就诊记录),深入剖析了戒酒或开始饮酒究竟会如何影响我们的血压变化。

图片

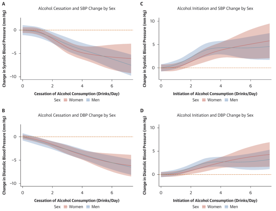
这项研究发现,即使你只是轻度或中度的习惯性饮酒者,一旦戒酒,血压也会出现显著下降。当习惯性饮酒者放下酒杯时,其收缩压舒张压均呈现出剂量依赖性的降低。无论男女,每天哪怕只是减少一到两杯的饮酒量,都能带来切实可衡量的心血管益处。戒酒量与血压下降之间存在近乎线性的持续降低关系,这完全打破了所谓的“安全”饮酒阈值神话。

图片

相反,如果原本不喝酒的人开始养成饮酒习惯,身体又会发生什么呢?研究团队同样评估了一个庞大的初始非饮酒者队列,结果发现,在这两性群体中,开始饮酒均会导致血压呈现剂量依赖性的升高。即使每天只增加少量的酒精摄入,也会稳步推高血压。有趣的是,不同性别在血压升高的模式上存在细微差别:女性在所有饮酒量水平下均表现出平稳且近乎线性的收缩压升高;而男性则在较低饮酒量时出现较陡峭的血压上升,随后在较高饮酒量时趋于平缓。

你可能想知道,如果把普通的啤酒换成传说中“有益心脏健康”的红酒,情况会不会有所不同?研究人员对酒精饮料的类型进行了细致分类,包括啤酒、葡萄酒、威士忌、日本清酒和烧酒等。无论你选择哪种类型的酒精饮料,它们与血压变化之间的关联方向都惊人地一致。这种高度的一致性强烈表明,导致血压升高的罪魁祸首实际上是乙醇本身,而不是葡萄酒中的多酚等其他非乙醇成分。

图片

这项大型队列的真实世界证据证明,即使是低水平的饮酒也会导致血压升高,这意味着戒酒是一种广泛适用且极其有效的血压管理策略。尽管研究作者客观地指出了这项观察性研究存在依赖自我报告饮酒量、缺乏24小时钠钾摄入量等不可测混杂因素的局限性,但其庞大的数据规模和纵向追踪性质依然提供了极具说服力的科学支撑。归根结底,这项研究向我们传达了一个极其明确的信息:在控制血压和守护心血管健康方面,酒精摄入量越少越好,而“滴酒不沾”或许才是那个最完美的答案。

参考文献:https://doi.org/10.1016/j.jacc.2025.09.018