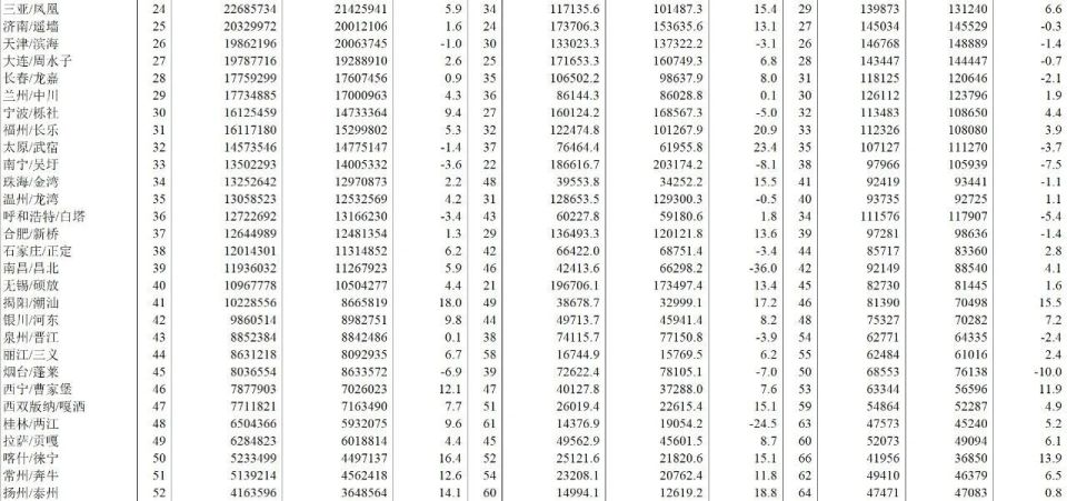
2025全国机场排名出炉 谁是旅客心中的NO.1?

图片
图片
图片
图片
图片
图片
图片
图片
图片
图片
图片
图片
图片
图片
图片
来源:中国民航局