强度还是总量:身体活动在长寿中的作用

问AI · 高强度活动为何对心血管健康更关键?

强度还是总量:身体活动在长寿中的作用

图片

1 引言

       身体活动(PA)不仅能延年益寿,还能防治慢性病。虽然已知增加活动总量有益健康,但最新研究指出,活动的强度分布同样关键。

       借助新型加速度计指标——平均加速度(AvAcc,反映总量)和强度梯度(IG,反映强度分布),我们可以更精准地评估两者对健康的独立贡献。例如,强度对骨密度至关重要,而总量与强度共同影响肥胖;虽知总量能降低死亡风险,但强度是否进一步降低死亡率尚待验证。

       此外,世卫组织最新指南提倡“每一分钟都算数”,不再强制要求运动必须持续10分钟以上。然而,目前尚无研究结合完整强度谱系与活动碎片化程度来深入探讨这一理念。

因此,本研究旨在:

①探究关联:在美国成年人中,分析活动的总量、强度、持续时间及碎片化程度与全因及心血管死亡风险的关系。

②建立标准:绘制AvAcc和IG的百分位参考曲线,为评估大众活动水平和制定个性化建议提供科学依据。

2 研究对象与方法

2.1 数据来源与方法    

       本研究链接了2011–2014年美国国家健康与营养调查(NHANES)数据与国家死亡索引,以获取死亡信息(如随访期间的死亡状态及随访时长)并进行分析。NHANES旨在评估美国非机构化平民居民的健康与营养状况。该研究已通过美国国家卫生统计中心伦理审查委员会批准,所有参与者在数据收集前均签署了书面知情同意书。研究对象为20岁及以上成年人。数据收集包括访谈式问卷调查和健康体检

2.2 加速度计测量与数据处理

  • 设备:使用ActiGraph GT3X +加速度计。

  • 佩戴要求:参与者被指示在非优势手腕上连续佩戴7天。

  • 数据采集:设备初始化频率为80 Hz。

  • 核心指标:用于推导身体活动结局的指标是校正重力后的动态加速度平均幅度,并按5秒 epochs 平均计算 [欧几里得范数减1 g (ENMO,单位mg)]。

2.3 身体活动指标

表1 身体活动指标定义与解释

图片

3 研究结果

3.1 身体活动(PA)的强度、总量和持续时间与死亡风险的关联:全因死亡率

图片

图 1 剂量-反应图

(强度梯度(A)或平均加速度(B)与全因死亡率。红色区域表示 95%置信区间。横轴的直方图显示了底层数据的分布,黑色竖线表示第 25、第 50 和第 75 百分位)

       在基础模型中加入 AvAcc(P = 0.009)或 IG(P = 0.001)显著提升了拟合度,显示了每个变量对全因死亡率(人年=602446,事件数=718)的个体预测力。模型与 IG 的一致性略高(85.0%;SE 为 1%,高于 AvAcc(84.3%;SE 为 1%。在基础模型中加入两个 PA 指标(AvAcc + IG P = 0.073,IG + AvAcc P = 0.462)时,模型拟合度并未改善。有证据表明,将 TPA 加入基础模型能提升模型拟合度[P = 0.05,一致性=84.2%(SE 1.1)]。在 IG(P = 0.447,P = 0.059)或 AvAcc(P = 0.324,P = 0.053)之外,加入 TPA 或不活跃 ,并未改变模型拟合度。

       IG 与全因死亡率呈反曲线关系,指标稳定在−2.7 至−2.5,AvAcc 稳定在约 35–45 mg,超过此后无进一步风险变化 ( 见图 1A 和 B)。分布尾部的数据稀缺限制了剂量-反应定量的精确性。对于免疫指数,风险比从第 25 至第 50 百分位下降了−37.1%(95%置信区间,−30.0 至−43.4%),从第 50 至第 75 百分位下降了−18.8%(95%,−43.0 至+15.5%)。AvAcc 在相同百分位数下,减少率分别为−14.4%(95% CI,−8.3 至−20.1%)和−13.7%(95% CI,−37.6 至+19.5%)。

图片

图 2 按危害比分层的身体活动强度剖面

(原始刻度上的 MX 图(左)和按风险比(HR)分层的 z 变换图(右)。图中显示了一天中最活跃分钟数超过的加速度(即 M720,最活跃 720 分钟,M1 最活跃 1 分钟)。阴影反映了数据的 95%置信区间。左图中的虚黑圆圈代表慢走(100 米 g)、快走(200 米 g)和快走(400 米 g))

       AvAcc 和 IG 相关性中等(r = 0.51),方差值为 26.0%。TPA 与 AvAcc 高度相关(r = 0.93),与 IG 相关性中等(r = 0.31);共享方差分别为 86.1%和 9.6%。

3.2 心血管疾病死亡率

      通过加入心血管疾病死亡风险(IG,P = 0.007)提高了,而在模型中加入 AvAcc(P = 0.055)则几乎没有改善证据(人年=578627,事件数=216)。与仅 IG(P = 0.526)或仅 AvAcc(P = 0.116)相比,包含两个 PA 指标时,模型拟合度变化的证据较少。同样,将 TPA 与 IG 合并(P = 0.480)或 AvAcc(P = 0.853)并未改变模型拟合度。AvAcc(P = 0.174)和 IG(P = 0.061)的不活跃也未被纳入。

3.3 PA 碎片化与死亡风险的关联

表2 体育活动碎片化与全因及心血管疾病死亡率的关联

图片

       对于任一强度,PA 碎片化与全因死亡率呈反比,这一点通过 MXRATIO 与 IG 结合时预测准确性提升可见一斑(见表2)。然而,只有 AvAcc 的 M15RATIO 提高了预测。关于心血管疾病死亡率,较长的 MXRATIO 周期与 IG 结合时对预测更为重要。结合 AvAcc,MXRATIO 未对预测产生影响(见表 2)。MXRATIO 指标显示与 AvAcc 和 IG 的相关性较弱。

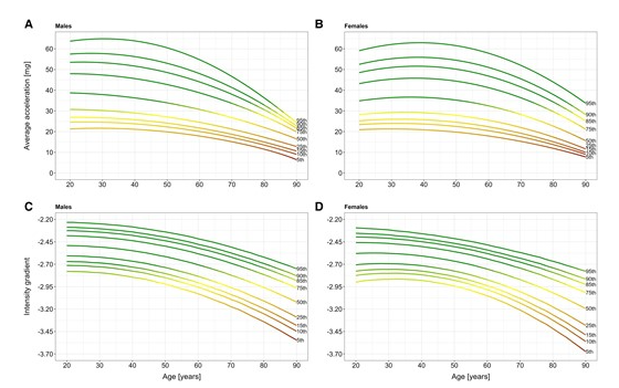
3.4 参考值与百分位曲线

图片

图2 体力活动量和强度的参考值

代表美国成年人口的平均加速度(AvAcc,面板 A 和 B)及强度梯度(IG,面板 C 和 D)的年龄和性别特异性百分位曲线。着色指的是相关指标与全因死亡率之间的剂量-反应关系。绿色表示风险比降低,红色表示风险比增加。降低风险比定义为 IG:−2.7 至 −2.5,AvAcc 为 ∼35–45 mg,超过此范围无其他风险变化)

4 研究结论

       这项针对美国成年人的人群研究表明,较高的 PA 强度和体积与较低的死亡风险相关,但体积带来的健康益处主要体现在包含高强度活动时,尤其是心血管疾病死亡率方面。这意味着 PA 的强度分布可能比 PA 的数量更有助于降低死亡率。我们基于剂量-反应与死亡率关系的年龄和性别特异性百分位曲线,能够有效评估腕带加速度计在成年年龄谱系中获得的 PA 强度和体积。此外,对于任一强度分布的 PA,连续 5 分钟积累最强烈活动可能比将相同时长的剧烈活动分散到一天中更有效。这些发现表明,进一步研究不同 PA 积累模式如何影响健康非常重要。