Nature | 罕见病诊断取得突破性进展!谢伟迪/孙锟/余永国/张娅团队开发罕见病诊断人工智能系统,大幅超越现有工具

第五届单细胞与空间组学论坛

图片

近日,上海交通大学人工智能学院谢伟迪/张娅&上海交通大学医学院附属新华医院孙锟/余永国团队在国际顶尖期刊《Nature》发表一项重磅研究,研究团队开发了名为DeepRare的人工智能系统,该系统在罕见病诊断领域取得了突破性进展。研究显示,DeepRare不仅大幅超越了现有的诊断工具,其诊断准确率甚至在特定测试中超过了经验丰富的临床专家,有望为全球超过3亿罕见病患者缩短漫长的诊断之旅。

图片

DeepRare:一种用于罕见病优先级排序的智能体框架

多智能体系统,破解罕见病诊断核心难题


罕见病通常指患病率低于两千分之一的疾病,但种类超过7000种,其中约80%与遗传相关。由于临床表现复杂多样、病例稀少且医生认知有限,患者平均需要超过5年、经历多次转诊和误诊才能获得明确诊断。

DeepRare系统正是为了应对这一挑战而设计。它是一个基于大语言模型驱动的多智能体系统,集成了超过40个专用工具和最新的医学知识源。该系统能够处理异构的临床输入信息,包括自由文本描述、结构化的人类表型本体(HPO)术语以及基因检测结果,并生成按可能性排序的诊断假设列表。

性能卓越,全面超越现有方法


图片

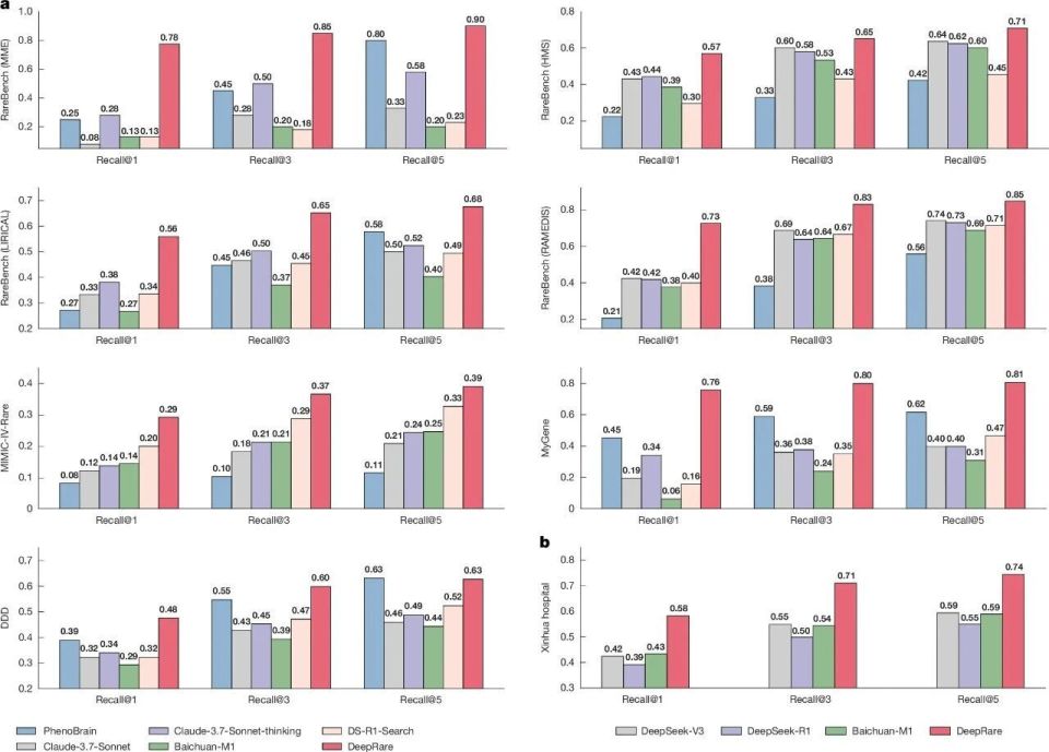
基于HPO的跨数据集评估及DeepRare的对比性能

研究团队在来自亚洲、北美和欧洲的9个数据集上对DeepRare进行了全面评估,涵盖14个医学专科的2919种疾病。在基于HPO术语的诊断任务中,DeepRare的平均召回率达到57.18%,比次优方法高出23.79%。在同时处理表型和基因数据的多模态测试中,DeepRare在168个病例上取得了69.1%的召回率,显著优于专业生物信息学工具Exomiser的55.9%。

尤为引人注目的是,在一项与资深罕见病医生的对比研究中,DeepRare展现了超越人类专家的潜力。当双方同时面对相同的、从门诊病历中提取的HPO信息时,DeepRare在排名第一的准确率(64.4%)和排名前五的准确率(78.5%)上均超过了五位平均拥有超过10年经验的专家医生(分别为54.6%和65.6%)。

图片

DeepRare的诊断性能

透明推理,构建临床信任的基石


图片

DeepRare诊断系统中可追溯推理链与失败模式的人类专家验证

除了高准确性,DeepRare的核心优势在于其决策的透明度和可追溯性。系统为每一个诊断假设都生成了一条清晰的推理链,并将其与可验证的医学证据(如研究论文、临床指南)相链接。十位罕见病副主任医师对系统生成的180条推理链进行了人工审查,认可率高达95.4%,证实了其推理过程的医学有效性和可追溯性。这种“白盒”设计对于临床采纳至关重要,有助于医生理解和信任AI的辅助决策。

图片

DeepRare系统的消融研究

临床应用与未来展望


为了推动临床转化,研究团队已将DeepRare部署为一个用户友好的网络应用程序,作为罕见病医生的诊断的辅助。该系统采用三层架构,由一个具有记忆功能的核心大语言模型主机协调整个诊断流程,多个专用智能体服务器处理表型、基因型分析和知识检索,最外层则整合了经过筛选的及网络规模的医学资源。系统还包含一个自反思循环,用于迭代重新评估假设,减少过度诊断并缓解大模型的“幻觉”问题。

该研究证明了先进的多智能体系统在重塑当前临床工作流程方面的巨大潜力。随着进一步的研究和临床验证,此类AI系统有望成为罕见病精准诊疗体系中不可或缺的一部分。


https://www.nature.com/articles/s41586-025-10097-9