汕头宣布:春节假期,机关事业单位615个床位对外开放

春节到汕头游玩

怕订不到房?


昨天(2月14日)

广东汕头宣布:

春节期间

汕头机关事业单位

615个床位对游客开放


图片


据汕头市广播电视台微信公众号“汕头橄榄台”2月14日晚消息:


今年春节假期,汕头旅游市场持续火爆。为缓解春节旅游住宿难题,汕头统筹协调部分机关事业单位接待设施对外开放,首批放出479个房间(615个床位),涵盖党校培训用房、人才适用房,让来汕游客住得安心、住得实惠。


图片

2025年11月8日,在汕头小公园“激情全运会 活力大湾区”非遗展演现场,英歌队、舞龙舞狮队联袂出演。新华社资料图


游客可通过“一卡游汕头”小程序中的“酒店民宿”栏目进行预定,各房源开放时间以“一卡游汕头”小程序中具体房源开放时间为准


图片


 温 馨 提 示  


1、本次统筹提供的客房系非经营性公共资源,属临时性便民保障措施,其设施配置、服务标准与市场化运营的商务酒店存在差异,敬请理解。


2、所有提供客房均经专业清洁与安全检查,配备基础生活设施(床品、卫浴、空调等),满足基本住宿需求,服务人员主要为志愿者,无法提供市场化住宿场所的个性化服务(如行李搬运、旅游咨询等)


3、因涉及机关事业单位管理区域,入住登记、访客进出等需遵守相关场所的开放与安全管理规定(如门禁时间、车辆停放要求等)


4、本次提供的住宿服务不以盈利为目的,将竭诚保障住客的基本住宿安全,但不适用《消费者权益保护法》中关于“经营者”的相关规定,详细内容请关注“一卡游汕头”订房须知。


 具 体 房 源 点 位 

↓↓

图片
图片
图片


党校培训用房

汕头市委党校(汕头市濠江区广澳丽景园)

图片

汕头市潮南区委党校(汕头市潮南区红场镇苏林社区猪地洋)(红场镇政府西100米)


人才适用房

图片

市级人才房(汕头市龙湖区黄河路51号江南星语7栋)

图片

区级人才房(汕头市龙湖区嵩山路87号荟英雅轩)


自驾出游最担心停车问题

广东不少地市已经先后官宣

机关事业单位免费提供停车位

随着假期临近

多地陆续加入“免费停车群聊”


珠海

珠海部分党政机关、事业单位、学校将在春节期间免费开放停车位1700余个。


免费开放时间:2月14日(腊月廿七)19:00—23日(正月初七)24:00


免费开放对象:7座以下(含 7 座)小型客车。


开放停车场及地点


图片
图片
图片

(上下滑动查看详情)

图片


汕头

为方便大家节日出行,2026年春节期间,汕头部分机关事业单位停车场免费开放+扩容开放。


🆓免费停车场(4处共288个车位)


🕒开放时间:2026年2月15日(腊月廿八)—23日(正月初七)8:00-22:00


📍具体点位:


  • 汕头市科技馆停车场(海滨路12号):44个车位

  • 汕头市财政大楼停车场(长平路十一街区):80个车位

  • 汕头市建委大楼停车场(中山路213号):54个车位

  • 汕头市融媒中心停车场(潮汕路48号):110个车位


🚗扩容收费停车场(2处共712个车位,24小时开放)


🕒开放时间:全时段无休,24小时对外开放


📍具体点位:


1.汕头市人民体育馆地下停车场(海滨路3号):510个车位


图片


2.人民广场西地下停车场:202个车位


图片


停车须知:


1.仅接受小型汽车停放,大中型车辆、特种车辆请勿驶入;

2.请服从现场工作人员管理,规范停车,锁好车门、保管好贵重物品;

3.爱护公共设施,保持场地整洁,禁止场内吸烟、动火、修车等违规行为;

4.随车人员请勿进入机关事业单位内部办公区域;

5.免费停车场每日22:00前需驶离车辆,请勿逾期哦。



佛山

禅城区


2026年春节期间,禅城区将全面开放区属机关事业单位和区属国有企业的内部停车场,同时全区所有的路边公共停车位实行全时段免费。此举预计可临时新增超15000个免费停车位。


开放时间:2026年2月15日(腊月廿八)—23日(正月初七),覆盖整个春节假期。


开放对象:牌证齐全、符合道路交通安全规定的7座及以下小型家用非营运汽车。为保障停车安全和秩序,危险物品车辆、营运车辆、大型车辆等谢绝入内。


开放地点:


图片
图片
图片
图片
图片
图片

(上下滑动查看详情)


顺德区均安镇


春节期间,均安镇政府机关大院部分停车场将于春节期间全天候免预约免费对外开放。


开放时间:2月15日(腊月廿八)—23日(正月初七)


开放区域:


图片


顺德区勒流街道


2026年春节期间,佛山市顺德区勒流街道行政服务中心停车场将面向社会免费开放。


开放时间:2026年2月15日(腊月廿八)—23日(正月初七),每日8:00-20:00。


开放对象:7座以下(含7座)牌证齐全的小型家用非营运汽车。


高明区


春节期间,高明区镇街及中心城区商圈附近机关单位停车场免费开放。


开放时间:2月15日(腊月廿八)—23日(正月初七)


停放对象:七座及以下小型非营运客车


停放要求:请将车辆有序停放在指定划线车位内,一车一位,不得占用消防通道、应急救援通道、人行通道及预留车位。各单位开放情况,请以现场指引为准。


停放范围:


图片


图片


阳江

2026年春节期间,阳江100多个机关单位、学校内部停车场、市政道路公共停车位面向社会公众开放免费停车泊位超9000个,有效缓解假期“停车难”问题。



江城区市政道路停车指南


开放时间:2月16日(腊月廿九)0时-24时


开放范围:江城区市政道路临时停车泊位共涉及37条市政道路。


阳江机关单位、学校停车指南


开放时间:2月15日(腊月廿八)—23日(正月初七)


开放范围:拟对外开放停车位9057个,其中市直机关开放单位26个,共有车位867个;县(市、区)共开放单位108个,共有车位8190个。


直单


图片

(上下滑动查看详情)


江城区


图片

(上下滑动查看详情)


阳东区


图片

(上下滑动查看详情)


阳江滨海新区(阳江高新区)


图片

(上下滑动查看详情)


阳春市


图片

(上下滑动查看详情)


阳西县


图片

(上下滑动查看详情)

图片


潮州

2026年春节期间,潮州市机关事业单位为广大市民游客提供超2.8万个临时停车位。


市直各单位


图片

(上下滑动查看详情)


潮安区


图片

(上下滑动查看详情)


饶平县


图片


(上下滑动查看详情)


湘桥区


图片

(上下滑动查看详情)

图片


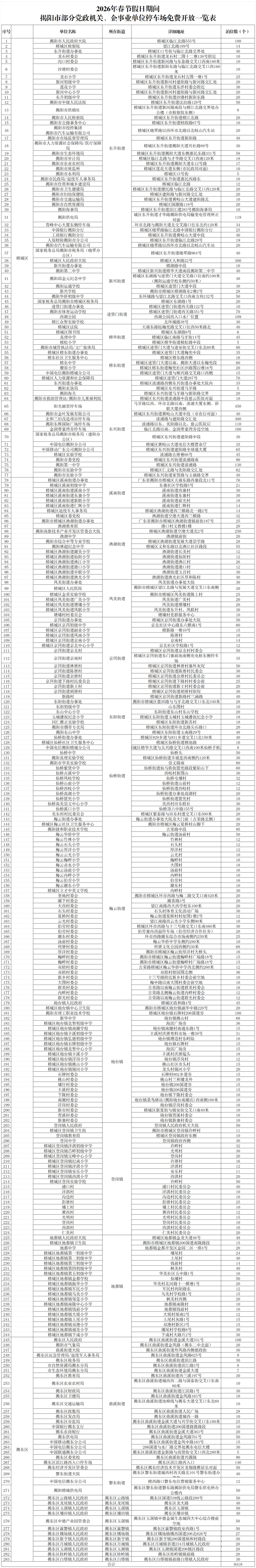
揭阳

2026年春节假期将至,为方便外地来揭游客和广大市民群众休闲出行停放车辆,确保节日期间道路交通安全畅通,春节期间揭阳城区部分党政机关企事业单位停车场共计9419个车位将免费对外开放。


开放时间:2月15日(腊月廿八)8:00—23日(正月初七)24:00


停车地点:


图片

(上下滑动查看详情)



图片


来源:汕头发布、汕头橄榄台、珠海发布、佛山发布、广东阳江发布、潮州电视台、揭阳发布等,如有侵权请与本公众号联系。