The Innovation Energy | 兼具高效冷却和热能回收功能的电池热管理系统

在电动汽车日益普及的背景下,电池发热成了棘手的安全隐患,而传统的冷却方案往往只是单纯地消耗电力来降温。热电模块(TEM)既然能在通电时制冷,也能在受热时发电,为何不让它“身兼二职”呢?于是,研究团队设计了一套既能像空调一样为过热电池降温,又能在无需强制冷却时将热能回收转化为电能的系统,旨在兼顾电池安全的同时,降低系统的能耗。


 导  读 

电动汽车正在普及,但电池过热不仅影响寿命,还伴随安全隐患。本研究提出一种基于热电效应的创新方案:在实现高效冷却的同时,将电池热能直接转化为电能并回收利用。该系统兼顾安全保障与能量回收,为提升电动汽车续航能力与运行安全性提供了具有应用潜力的新思路。


图片

图1 图文摘要


针对电动汽车动力电池在高倍率工况下易出现温度过高与温度分布不均的问题,本文指出电池理想工作温度应保持在293.15–323.15 K,模组内最大温差应控制在5 K以内。在现有PCM-TEC等混合系统中,热电模块(TEM)通常仅用于制冷,缺乏对其在温差驱动下发电(TEG)以及“发电/制冷双模式切换”的系统性研究。基于此,本文提出一种基于热电效应的电池热管理系统(BTMS),实现TEM在不同温度场景下的双功能运行:当被动散热满足热管理需求时优先发电以回收热能;当被动散热不足时切换至主动制冷以保障温度控制。


研究对象采用的BTMS由12节锂离子电池、铝壳、石蜡PCM、热管(HP)、TEM与液冷板组成。电芯与HP嵌入铝壳内部PCM中,铝壳外侧贴装TEM,其热端连接液冷板,如图2所示。


图片

图2 研究采用的BTMS结构示意图


在不启用液冷且TEM不通电的条件下,PCM被动散热的热管理能力随放电倍率提升而受限。结果表明:1C–4C放电下电池最大温度均保持在323.15 K以下,同时在1C–5C范围内电池最大温差均小于5 K,如图3所示。因而在1C–4C工况下,被动散热可满足温控目标,TEM可作为TEG进行余热回收。


图片

图3 热能回收模式下BTMS的温度性能及TEG的温度分布


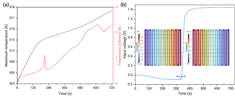
当放电倍率升至5C,被动散热不足以抑制温升,电池最大温度将超过323.15 K,需要引入主动冷却。本文对“仅液冷”“仅TEC”和“液冷+TEC”三种配置进行对比。加入液冷、TEC以及二者协同后,电池最大温度分别为323.33 K、322.3 K、321.51 K,相较被动散热(323.74 K)均有降低,其中“液冷+TEC”综合效果最佳。为进一步降低系统的运行能耗,本文提出相变温度触发的运行策略:在5C工况下,PCM被动散热独立运行340 s,TEM以TEG模式工作回收热能,340 s后再启动TEC与LC并持续至放电结束(TEC输入电流0.5 A,液冷质量流量0.1 g/s)。


采用该策略后,电池最大温度为322.93 K、电池最大温差为2.28 K,满足温控要求,如图4所示。同时TEG发电时长延长至340 s,主动冷却运行时长减少47.2%。另外,电压正负极在切换前后发生反转:TEG阶段输出电压幅值最高约0.093 V,而TEC阶段输入电压稳定在约1.43 V,说明TEG回收能量相对有限,系统节能核心仍是减少主动制冷消耗。


图片

图4 实施运行策略后BTMS的热性能


在能量回收场景下,本文进一步讨论液冷质量流量对净输出能量的影响,如图5所示。在1C–4C条件下,增大流量可降低TEG冷端温度、增大温差,从而提高发电性能;但泵耗随流量升高而增加,导致净能量呈现先升后降特征。对应1C、2C、3C、4C的最优流量分别为0.3、0.5、0.7、0.7 g/s,峰值净能量为22.15、52.24、53.60、41.93 J;且在1C流量过大(0.9 g/s)时净能量为负值,表明此时泵耗超过发电收益。


图片

图5 不同液冷质量流量下系统的净能量


总结与展望

本文提出了一种基于热电效应的电池热管理解决方案,创新性地赋予了热管理系统“主动温控”与“热能回收”的双重功能。该研究证实,通过灵活切换TEM的发电与制冷模式,配合优化的延时启动策略,不仅能在高倍率放电下将电池温度控制在安全范围内,还能显著降低系统能耗并实现能量回收。这一设计打破了传统热管理系统作为单一“耗能单元”的局限,为解决电动汽车电池热安全与能量效率之间的矛盾提供了新的思路。未来,随着热电材料效率的提升及控制策略的智能化,此类“自供能”或“低能耗”热管理系统将在新能源汽车领域展现出巨大的应用潜力。


责任编辑


杨青青    北京理工大学

丁振亚    The Innovation 编辑部