吸烟只伤肺?研究发现:吸烟,导致膀胱癌死亡人数增加了 42.9%

问AI · 烟草毒素如何通过尿液损伤膀胱?

“烟雾吸入肺部,毒素却汇聚在尿液。膀胱,正是那个被长期忽视的‘沉默受害者’。”

一、 30年间,吸烟相关死亡增加了42.9%

虽然随着现代医疗技术的进步,全球膀胱癌的标准化死亡率有所下降,但受人口老龄化和烟草暴露历史的累积影响,因吸烟导致的膀胱癌绝对死亡人数正在猛增

北大医疗鲁中医院的一项研究显示,根据1990年至2021年的数据追踪,全球死于吸烟相关膀胱癌的人数增加了 42.9%。仅在2021年,全球就有 58,766 人因此失去生命。这一趋势在社会人口指数(SDI)中等水平的国家尤为突出。

核心指标 (2021)

全球总量 (UI)

1990-2021 增长率

吸烟相关死亡人数

58,766.9

+42.94%

失能调整生命年 (DALYs)

1,238,303.2

+30.97%

男性与女性死亡比

约 10 : 1

显著性别差异

二、 10:1的性别差异:男人为何更受伤?

研究揭示了一个极端的性别鸿沟:男性的疾病负担大约是女性的10倍。这不仅是因为男性历史吸烟率更高,更因为男性在职业暴露和烟草接触上的持续时间通常更长。

男性吸烟者往往在较年轻时就开始面临膀胱癌的威胁,而女性患者则更多集中在80岁以上的高龄阶段。

三、 深度解析:为什么烟雾会伤到膀胱?

烟草中的致癌物(如芳香胺4-ABP2-NA)被肺部吸收后进入血液,最终由肾脏过滤汇集在尿液中。膀胱作为储存尿液的器官,其黏膜长时间被高浓度的致癌物“浸泡”,导致DNA损伤和基因突变。研究指出,NAT2基因在这一代谢过程中扮演了关键的调节角色。

四、 高危人群转移:80岁以上的“重灾区”

通过对不同年龄组的纵向分析,研究发现死亡压力正在向极高龄群体转移。

图片

此处应展示不同年龄组膀胱癌死亡比例与失能水平的时间演变趋势图。

数据显示,80岁及以上的老年群体已成为死亡风险最高的“红色区域”。同时,在SDI处于中等及中高水平的地区,由于烟草管制政策的滞后与老龄化的叠加,疾病负担呈现爆发式增长。

五、 停止吸烟:膀胱的“自我救赎”

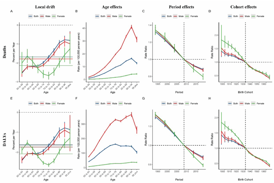
利用“年龄-时期-出生队列(APC)”模型,科学家分析了预防干预的长期效应。虽然烟草风险具有数十年的滞后性,但数据证明积极的公共卫生干预(如控烟政策)正在全球范围内发挥作用,标准化死亡率的下降便是明证。

图片

此处应展示局部漂移、年龄效应、时期效应及出生队列效应的复合分析曲线。

结语:放下烟支,保卫防线

膀胱癌早期最典型的信号是“无痛性肉眼血尿”。这项研究提醒我们,烟草的危害是全身性的。为了守护这层脆弱的生命防线,戒烟不仅仅是保护肺部,更是给膀胱一次新生的机会。