仅需每天多动5分钟,死亡风险降10%!两项超13万人研究:微小改变有大回报,每天多睡15分钟+多动5分钟+多吃半份蔬菜就有用

在快节奏的现代生活中,“没时间”成了我们疏于照顾自己的万能借口——“今天太累了,明天再锻炼吧”、“睡眠不足,但手机还得刷会儿”、“好忙!没空买菜,直接外卖吧”,这些场景你是否熟悉?


健康似乎总是被我们排在待办清单的末尾,成为一个宏大却遥不可及的目标。


但是,如果通往健康的路,并非需要一场彻底的大革命,而仅仅是从一些微小、可轻松达成的改变开始呢?比如,每天少刷15分钟手机,换成快走;工作时,把30分钟久坐换成站立或走动;或者晚餐时,多夹一筷子蔬菜,少吃几片加工肉。这些看似微不足道的调整,真能对健康产生实质影响吗?


今天,我们将深入解读两项近期发表的前沿研究,它们用超过10万人的数据,给出了一个令人惊喜且充满希望的答案:微小的、复合式的行为改变,真能对降低死亡风险产生巨大且可观的收益!


积跬步以至千里


图片


长久以来,公共健康指南都建立在“推荐量”之上,例如世界卫生组织建议“每周至少150分钟中等强度有氧运动”。这种达标与否的二分法,虽然明确了目标,但也无形中制造了门槛:对于许多不运动的人来说,从“0”或者“10”直接跳到“150分钟/周”犹如天方夜谭,导致他们连尝试的勇气都没有。


与此同时,睡眠、饮食和运动这三个最关键的健康基石,在以往的研究或建议中常常被分开讨论。而现实生活中,它们却是紧密交织、相互影响(例如睡不好就不想动,动了可能睡得香,饮食又影响睡眠质量)。鉴于此,本研究就首次在大型人群中,使用客观设备测量睡眠和运动,结合饮食质量评分,全面探索了这三者如何组合在一起,共同影响死亡风险。更重要的是,该研究致力于寻找能够带来显著健康收益的最小且最切实可行的行为改变组合——即睡眠、体力活动与营养(合称SPAN)的“微调方案”。


该研究分析了近六万名英国中老年人的数据,参与者均佩戴了一周活动监测设备,客观记录每日睡眠时长与中高强度活动,同时完成了详细的饮食问卷调查,并接受了长达八年的健康追踪。


图片

图:睡眠、身体活动和营养的最小和最佳组合变化与全因死亡风险的关系


研究结果揭示出强大的协同效应。拥有“中等睡眠(7.2-8小时/天)+高活动量(42-103分钟/天)+高饮食质量”组合的人群,相比三项都最差的人群,死亡风险降低了惊人的64%!


而研究中最具启发性、也最贴近普通人生活的发现,在于那个 “最小有效剂量” 。从一个并不理想的起点(每日睡眠仅5.5小时、中高强度活动约7.3分钟、饮食质量评分较低)出发,只需做出如下微小调整:每日多睡15分钟、增加约1.6分钟的中高强度活动,并在饮食上实现轻微改善,例如,每天多吃半份蔬菜,即可关联 10% 的死亡风险降低。


若能将改善幅度稍加提升,例如每日多睡75分钟、增加12.5分钟活动,并显著优化饮食结构(如增加蔬菜摄入、减少加工肉类与含糖饮料),则与 50% 的死亡风险下降相关。数据显示,即使追求更大幅度的风险降低(如70%),所需的综合行为改变量(更多睡眠、更活跃、饮食更健康)仍远低于在单一行为上达到“完美”所需付出的巨大努力。


总之,这项研究表明,将有限的精力“分散投资”于睡眠、活动和饮食这三方面,并且仅需每天做好一点点,其带来的“健康回报率”就远高于在单项上艰难追求极致。


看到这儿,小伙伴们还不快试试看,每日多挤出15分钟睡觉、增加2分钟的中高强度活动和多吃几筷子蔬菜,听着并不是很难哦~


每天多动5分钟,死亡风险降多少?


如果你觉得每天多动几分钟,这能有什么用?那这项来自《柳叶刀》的研究可能会让你改观!


该研究整合了来自美国、瑞典、挪威的七个大型健康队列数据,所有参与者均通过佩戴在髋部的加速度计客观记录日常活动,并接受了平均超过8年的跟踪随访。此外,研究还同步分析了英国生物银行的大规模数据,在该研究中,研究人员使用腕戴式加速度计,进一步验证了身体活动与健康结局之间的关联。


图片


研究结果清晰显示:即便是非常轻微的活动增加,也能带来显著的健康收益。例如,对那些几乎不活动的人群(每日中高强度活动仅约1分钟)来说,每天只要多增加5分钟的中高强度活动,死亡风险即可降低约30%;若增加到10分钟,风险更可下降约42%。


值得注意的是,随着基础活动水平的提升,同等增量带来的健康收益会逐渐减缓,这表明 “从零开始”的第一步,恰恰是健康回报率最高的一步。(有点新手福利的感觉)


图片

图:在加速度计联盟中,中高强度体力活动与死亡风险的关系


图片

图:英国生物银行研究中的中高强度体力活动与死亡风险


研究者还进一步模拟了两种公共健康推广策略可能带来的影响:


1.高风险策略(针对最不动的20%人群):让他们每人每天多动5分钟,可预防人群中 6% 的死亡。


2.全人群策略(针对80%不够活跃的人):让这些人每人每天多动5分钟,可预防人群中 10% 的死亡。


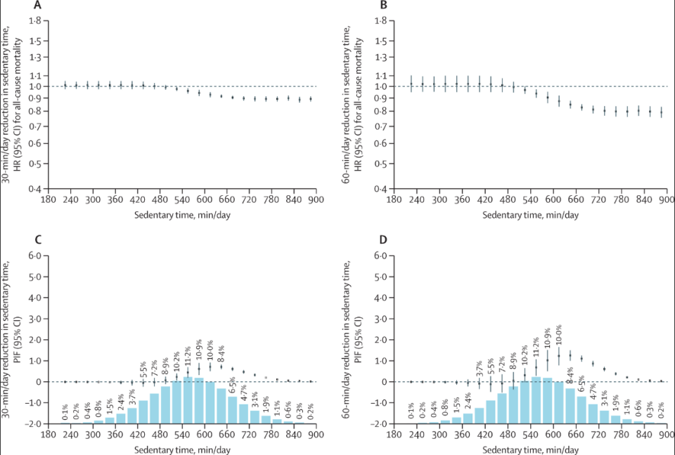
此外,研究还关注了久坐行为的影响。数据显示,对每日久坐超过8小时的人群来说,每天仅需减少30分钟久坐,同样与明显的死亡风险下降相关。


图片

图:英国生物银行研究中的久坐时间和死亡风险


小结


总之,综合这两项研究,我们可以发现:我们不需要既成为健身达人,又拥有优质睡眠,还吃得超健康营养。因为科学证明:


  • 微小、可持续的改变,反而能带来显著的长期健康收益。每天多走几步、早睡片刻、多吃一份蔬菜——这些看似不起眼的行为,其实正是那积累的“跬步”。

  • 健康行为之间具有协同效应。改善其中一项,往往会带动其他方面自然提升,形成良性循环。

  • 从“不动”到“动一点”,从“久坐”到“少坐一点”,恰恰是健康回报率最高的阶段。


所以说,变得健康并不难,我们仅仅需要在做得不足的那一点上,稍微改进一点点。现在,就让我们从第一个“5分钟”开始吧!


参考文献:

1. Minimum and optimal combined variations in sleep, physical activity, and nutrition in relation to all-cause mortality risk

DOI: 10.1186/s12916-024-03833-x

2. Deaths potentially averted by small changes in physical activity and sedentary time: an individual participant data meta-analysis of prospective cohort studies

DOI: 10.1016/S0140-6736(25)02219-6


撰稿|Cathy

编辑 | 阿拉斯加宝