论文推荐|冈底斯西段麦拉始新世I型花岗岩地球化学特征及其对新生下地壳拆沉作用的指示

冈底斯西段麦拉始新世I型花岗岩地球化学特征及其对新生下地壳拆沉作用的指示

马泽一林,滕文航,张嘉欣,李亚林,张百成,王佳乐,肖思祺,彭艺博

DOI:10.19657/j.geoscience.1000-8527.2025.045

摘要

新生代岩浆作用对于认识印度—欧亚大陆碰撞过程具有重要意义,本文报道了冈底斯岩浆岩带西段帕羊地区麦拉岩体的岩石学、年代学、地球化学特征,并讨论了岩浆成因及其形成动力学背景。岩石学和地球化学研究表明,麦拉岩体岩石类型主要为石英二长岩,锆石U-Pb年代学分析显示其时代为始新世(46~45 Ma),与印度—欧亚主碰撞期时间一致。麦拉石英二长岩具有以角闪石为主要暗色矿物的岩相学特征,SiO2含量为63.96%~67.73%,K2O含量为3.50%~6.58%,Na2O含量为2.72%~3.96%,MgO含量为1.34%~2.53%,铝饱和指数0.90~1.03,属于高钾钙碱性-钾玄岩质、准铝质岩石,岩石富集大离子亲石元素Rb和U,亏损高场强元素Nb、Ta、P、Ti,具有中等Eu负异常,属于同碰撞I型花岗岩,岩浆成因为新生下地壳拆沉熔融产生的富硅酸性岩浆与亏损地幔混染形成的富镁酸性岩浆。

Abstract

Cenozoic magmatism is of great significance for understanding the collision process between India and Eurasia.This paper reports the petrological, chronological and geochemical characteristics of the Maila pluton in the Payang area in the western part of the Gangdese magmatic belt, and discusses the magmatic genesis and its formation dynamic background.The study of petrology and geochemistry shows that the main rock type of the Maila rock body is quartz monzonite.Zircon U-Pb chronology analysis shows that its age is Eocene (46-45 Ma), which is consistent with the time of the India-Eurasia main collision period.The Maila quartz monzonite exhibits petrological characteristics with amphibole as the main dark mineral, which has a SiO2 content of 63.96%-67.73%, K2O content of 3.50%-6.58%, Na2O content of 2.72%-3.96%, MgO content of 1.34%-2.53%, and aluminum saturation index of 0.90-1.03;and it belongs to high potassium calc alkaline shoshonitic and paraaluminous rocks.The rocks are rich in large ion lithophile elements Rb and U, and lack high field strength elements Nb, Ta, P, Ti.It is of obvious negative Eu anomaly and belongs to syncollisional I-type granite.Magma formation is due to the mixing of silicon rich acidic magma produced by the detachment and melting of the Juvenile lower crust with magnesium rich acidic magma formed by the depletion of the mantle.

关键词

I型花岗岩; 构造演化; 始新世; 石英二长岩; 冈底斯 

Keywords

I-type granite; tectonic evolution; Eocene; quartz monzonite; Gangdese 

0 引言

喜马拉雅—西藏造山带是全球时代最新、规模最大的大陆碰撞型造山带,新生代以来印度—亚洲大陆碰撞过程和青藏高原隆升机制一直是国内外关注的焦点问题,已有研究表明印度—欧亚汇聚经历了主碰撞、晚碰撞和后碰撞过程,不同碰撞阶段具有不同的构造-岩浆组合,然而对岩浆活动与详细碰撞过程、深部作用与地壳生长过程及其动力学仍存在争议[1-6],同时对该区岩浆活动的分布、期次、性质及其深部动力学过程还存在不同的认识。特别是与造山带东段相比,对造山带西段岩浆作用的性质、演化认识程度较低,制约了对整个造山带岩浆演化的认识[4,7-8]。本文对雅鲁藏布缝合带西段麦拉山口石英二长岩开展了岩石学、全岩地球化学、LA-ICP-MS锆石U-Pb年代学研究,并结合区域岩浆演化,对麦拉石英二长岩岩浆源区性质及来源进行了分析,进而为全面认识造山带岩浆演化提供依据。

1 地质背景

冈底斯带是由印度河—雅鲁藏布缝合带与班公湖—怒江缝合带之间所夹持的一条巨型构造—岩浆岩带,其东西向延展约2000 km,南北向宽度东西不等,约300 km,与喜马拉雅地块和羌塘地块相邻[9]。在中生代到新生代期间,冈底斯主要发生了三次显著的岩浆活动,主要发生在晚侏罗世—早白垩世、古新世—始新世和渐新世—中新世,形成了具有不同地球化学特征的火成岩[7]。在大陆碰撞阶段形成的古新世至早—中始新世火成岩在冈底斯有广泛分布,主要为中酸性岩[10]。麦拉地区位于日喀则市仲巴县帕羊地区,麦拉岩体发育于仲巴微地体(图1),雅鲁藏布江缝合带自萨嘎以西可分为南北两条亚带,即达巴—休古嘎布蛇绿岩带(南亚带)和达机翁—萨嘎蛇绿岩带(北亚带),位于两条亚带之间的地质单元则被称为仲巴微地体[11-12]。仲巴微地体呈狭长的带状,北西—南东向延伸可达1000 km,平均宽度为20~30 km,表现为一套震旦系—三叠系浅海台地相沉积岩系[11-12]。

图片

图1  研究区大地构造位置简图[7](a)和麦拉地区地质简图(b)

Fig.1  Geotectonic location diagram of the study area[7](a)and geological diagram of Maila area(b)

野外地质调查发现,麦拉岩体北部与大竹卡砾岩断层接触,断层面清楚(图2),南部侵入于仲巴微地体二叠纪地层(图2)。北部的大竹卡组以紫红、灰色砾岩和砂岩为主,粉砂岩、泥岩次之,代表了冈底斯岩浆弧南侧、雅鲁藏布缝合带北侧的一套红色河流-冲洪积扇-扇三角洲粗碎屑为主的沉积。南部的上古生界曲嘎群可分辨出岗珠淌组、仲巴组和卡扎勒组3个岩石单元。岗珠淌组以灰色、灰绿色板岩为主夹粉砂岩;仲巴组以浅红色或肉红色灰质晶粒白云岩、杂色生物屑云质灰岩为特征;卡扎勒组由深灰色钙质板岩为主或夹微层—薄层结晶灰岩和黄绿杂砂岩,或与之互层[11]。图2a展现了二叠纪地层、大竹卡砾岩与花岗岩岩体的空间关系,花岗岩体边部的黑色圆圈为本次工作的采样点。图2b展现了麦拉花岗岩岩体与大竹卡砾岩的断层接触关系。图2c为麦拉花岗岩岩体近景拍摄图,可较好地观察到麦拉岩体的似斑状结构。

图片

图2  麦拉岩体野外特征

Fig.2  Field characteristics of Maila rock mass

2 样品采集与分析

2.1 样品采集

本次研究在麦拉岩体共采集10件样品,对2件样品进行了LA-ICP-MS锆石U-Pb年代学研究、对10件样品(21PY01 H1-H10)进行了全岩地球化学分析。采样点见图1。

2.2 测试分析方法

锆石U-Pb同位素定年和微量元素含量在武汉上谱分析科技有限责任公司利用LA-ICP-MS同时分析完成。详细的仪器参数和分析流程见文献[13]。U-Pb同位素定年和微量元素含量处理中采用锆石标准91500和玻璃标准物质NIST610作外标,采用Si作内标,分别进行同位素和微量元素分馏校正。数据的离线处理(包括对样品和空白信号的选择、仪器灵敏度漂移校正、元素含量及U-Pb同位素比值和年龄计算)采用软件ICPMSDataCal[14-15]完成。锆石样品的U-Pb年龄谐和图绘制和年龄加权平均计算采用IsoplotR[16]完成。

全岩主量和微量元素成分在武汉上谱分析科技有限责任公司完成。全岩微量元素含量分析仪器使用Agilent 7700e ICP-MS分析完成。标样为BHVO-2、BCR-2、RGM-2。全岩主量元素分析仪器使用日本理学(Rigaku)生产的ZSX Primus Ⅱ型波长色散X射线荧光光谱仪(XRF),测试相对标准偏差(RSD)<2%。

3 分析结果

3.1 岩石学特征

岩石主要为粗粒似斑状石英二长岩,具有似斑状结构,块状构造,斑晶为钾长石,呈肉红色,宽板状,粒径为3~5 cm,含量为30%~40%。基质主要由斜长石、石英、黑云母和角闪石组成:斜长石25%~35%,自形—半自形;石英15%~20%,他形粒状;暗色矿物10%~15%,主要为角闪石及黑云母(图2)。在镜下,石英可见波状消光现象,钾长石受蚀变较严重,部分钾长石可见钠长石化现象,少数钾长石颗粒可见卡式双晶,斜长石矿物颗粒可见致密的聚片双晶现象(图3)。副矿物以榍石为主,同时兼有磷灰石,含水副矿物含量较多。样品可见经历了一定程度蚀变的钾长石、发育细密平直的聚片双晶的斜长石以及他形的石英,为常见的酸性岩浅色矿物组合(图3a);镜下观察到的暗色矿物组合(图3b),麦拉石英二长岩显示出以角闪石为主要暗色矿物的I型花岗岩特点。

图片

图3  麦拉石英二长岩显微结构特征

Fig.3  Microstructure characteristics of Maila quartz monzonite

3.2 锆石U-Pb年龄

本次采集了2件麦拉花岗岩新鲜样品(21 PY-01U,21 PY-02U),通过LA-ICP-MS方法进行锆石U-Pb的测年,结果如表1所示。

表1  麦拉石英二长岩LA-ICP-MS锆石U-Pb年龄分析结果

Table 1  LA-ICP-MS zircon U-Pb age analysis results of Maila quartz monzonite

图片
图片

麦拉石英二长岩的锆石环带发育明显,Th/U>0.1,说明本次测试的锆石为岩浆成因。锆石的阴极发光图及谐和图如图4所示。21 PY01样品分别在20个锆石上进行了定年测试,其中13个测点的加权平均年龄为(45.42 ±0.33)Ma。21 PY02样品分别在20个锆石上进行了定年测试,其中18个测点的加权平均年龄为(46.00 ±0.16)Ma。定年结果表明为始新世,代表了岩浆成岩年龄。

图片

图4  麦拉石英二长岩21 PY01(a)和21 PY02(b)样本锆石阴极发光图像(CL)及U-Pb年龄谐和图

Fig.4  Zircon cathodoluminescence image(CL)and U-Pb age harmony of sample 21 PY01(a)and sample 21 PY02(b)of Maila quartz monzonite

3.3 主量元素

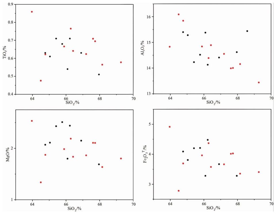
藏南麦拉石英二长岩主量元素含量如表1所示。SiO2含量为63.96%~67.73%,平均值66.4%,为中酸性岩体。K2O含量为3.50%~6.58%,Na2O含量为2.72%~3.89%,全碱含量为6.80%~9.30%,全碱含量偏高,K2O/Na2O比值为1.01~2.42,10件样品比值均大于1,显示出富钾特征。岩石的里特曼指数为1.76~4.02,除一个岩石样本外,其余样本的里特曼指数均小于3.3,属钙碱性岩石(表2)。在K2O-SiO2图解中,样品点落入钾玄岩-高钾钙碱性系列区,与同时代的仲巴花岗岩相比[7],均跨钾玄岩—高钾钙碱性系列区(图5)。A/CNK=0.90~1.03,A/NK=1.33~1.50,显示出准铝质的特征。在CIPW标准矿物计算中,刚玉含量为0~0.88。在A/NK-A/CNK图中,样品主要落入准铝质花岗岩区,与同时代的仲巴花岗岩相比[7],铝指数接近,均在I-S线左侧(图5)。

图片

图5  麦拉石英二长岩SiO2-K2O[17](a)和A/CNK-A/NK图解[18](b)(黑色据He等2018[7],红色为本文数据)

Fig.5  SiO2-K2O diagram[17](a)and A/CNK-A/NK diagram(b)of Maila quartz monzonite[18](black according to He et al.,2018[7],red is the data in this paper)

3.4 微量元素

麦拉石英二长岩微量元素及稀土元素组成(表1),通过原始地幔标准化,可绘制成蛛网图(图6)。从图6可以看出,麦拉岩体的全部10件样品均表现出了大离子亲石元素(Rb、Pb、U等)的相对富集,高场强元素(Nb、Ta、Ti等)的相对亏损,对比Rb和Th元素峰值,明显亏损Ba,与同时代的仲巴花岗岩[7]相比,两组岩石元素特征接近,麦拉石英二长岩微量元素曲线总体高于仲巴花岗岩[7]的微量元素曲线,两组岩石均具有岛弧性质花岗岩特征[19]。

图片

图6  麦拉石英二长岩稀土元素球粒陨石标准化分布型式图[21](a)和微量元素原始地幔标准化蛛网图[21](b)(黑色据He等,2018[7],红色为本文数据)

Fig.6  Standardized distribution pattern of rare earth element chondrite(a)and standardized spider web diagram of trace element primitive mantle[21](b)of Maila quartz monzonite(black according to He et al.,2018[7],red is the data in this paper)

稀土元素总量(∑REE)为607.969×10-6~1159.178×10-6,平均为888.659×10-6,含量较高;轻稀土元素(LREE)含量为460.30×10-6~903.64×10-6,重稀土元素(HREE)含量为38.74×10-6~71.68×10-6,LREE/HREE为10.55~16.41,(La/Yb)N介于13.37~26.86之间,平均为24.14,显示轻稀土元素相对于重稀土元素富集(表2)。在球粒陨石标准化图解(图6)中,δEu为0.57~0.70(平均0.63),呈现出中等负异常的特征。稀土元素配分曲线沟谷明显,为明显的右倾型,岩石轻稀土元素富集,重稀土元素亏损,轻,重稀土元素分馏明显,表明源区可能存有斜长石残余[20]。与同时代的仲巴花岗岩相比[7],麦拉石英二长岩稀土总量高,均呈现Eu元素负异常特征。

表2  麦拉石英二长岩主量元素、稀土元素和微量元素分析结果

Table 2  Analysis results of major elements,rare earth elements and trace elements of Maila quartz monzonite

图片
图片

4 讨论

4.1 岩浆类型

花岗岩常有A、I、S和M四种分类[22-23]。

M型花岗岩一般出现于洋壳型的蛇绿岩套中,较为少见,麦拉山口地区并未见有蛇绿岩套的报道,所以麦拉石英二长岩显然不是M型花岗岩[24]。

麦拉石英二长岩为钙碱性花岗岩,与A型花岗岩的碱性特征相悖[25]。经投图分析,麦拉石英二长岩为镁质花岗岩(图7),与A型花岗岩的高铁镁比值特征相悖[26]。在(Zr+Nb+Ce+Y)-(FeOT/MgO)图解和(Zr+Nb+Ce+Y)-(K2O+Na2O+CaO)图解中,样品点均落于非A型花岗岩区域(图7)。在A型、I型花岗岩Ce-SiO2判别图解、A型、I型花岗岩Zr-SiO2判别图解及A型、I型花岗岩Zn-SiO2判别图解中,样品点均主要落入I型花岗岩区域(图7)。

图片

图7  花岗岩类型判别图[27-29](黑色据He等,2018[7],红色为本文数据)

Fig.7  Granite type discrimination diagram[27-29](black according to He et al.,2018[7],red is the data in this paper)

S型花岗岩通常为过铝质系列,并常出现白云母、堇青石、石榴子石、电气石等具富铝特征的矿物,但作者在镜下并未观察到以上矿物,且S型花岗岩A/CNK值均高于1,而麦拉石英二长岩A/CNK值为0.90~1.03,属准铝质系列[20]。

经过岩相学镜下分析和岩石地球化学数据分析,麦拉石英二长岩具有以角闪石为典型暗色矿物、富钠、富钙、准铝质以及低Rb/Sr值(0.42~0.76)的I型花岗岩特征[30-31]。

麦拉石英二长岩具有中等Eu负异常(0.57~0.70)、较低的Nb/Ta值(9.13~9.52)以及较低的Zr/Hf值(34.0~35.2)的特征,从而说明麦拉石英二长岩经历了一定程度的分异[32]。

综上所述,麦拉石英二长岩及仲巴花岗岩属I型花岗岩。在此前,针对冈底斯带的大量岩石地球化学研究成果都说明该地区新生代花岗岩以I型为主,作者与前人结论一致[19,33]。

4.2 岩石成因

麦拉石英二长岩MgO含量为1.34%~2.19%,含量较高,属镁闪长岩范畴(图8),FeO/MgO值为1.89~2.07,比值较低,属低铁钙碱系列范畴(图8),麦拉石英二长岩SiO2和MgO含量与Paunamn MA[34]相近,属于镁闪长岩,仲巴花岗岩同样符合镁闪长岩的特征[34]。镁闪长岩的形成过程如下:随着板块碰撞,地壳逐渐加厚,而后玄武质的新生下地壳拆沉熔融,产生富SiO2的酸性岩浆,下沉与亏损地幔物质混染,从而形成富镁的酸性岩浆,最终侵位形成镁闪长岩。

图片

图8  镁闪长岩判别图[34](黑色据He等,2018[7],红色为本文数据,底图据邓晋福等,2010[34])

Fig.8  Discrimination diagram of magnesium diorite[34](black according to He et al.,2018[7],red is the data in this paper,and the bottom map according to Deng Jinfu et al.,2010[34])

麦拉石英二长岩稀土元素配分模式图(图6a)呈典型的右倾型,且右倾的程度逐渐降低,到最后趋向于水平状态,并具中等的Eu负异常;微量元素Ba、Sr、Ti强烈亏损,均指示麦拉石英二长岩经历了高程度的结晶分异作用[24]。SiO2与Al2O3呈负相关关系、稀土元素Eu的强烈负异常和Ba、Sr的亏损均指示岩石可能经历了强烈的斜长石或钾长石的分离结晶作用(图9)。微量Rb元素的相对富集暗示岩浆分异作用可能进行得比较充分。SiO2与TiO2的负相关性及Ti的强烈亏损指示岩浆经历了富钛矿物的分离结晶(图9)。SiO2与Fe2O3T、MgO的负相关可能揭示了镁铁矿物(角闪石、黑云母等等)的分离结晶[35],仲巴花岗岩呈现出相近的数据特征,可能经历了相近的过程(图9)。

图片

图9  麦拉石英二长岩哈克图解(黑色据He等,2018[7],红色为本文数据)

Fig.9  Harker diagram of Maila quartz monzonite(black according to He et al.,2018[7],red is the data in this paper)

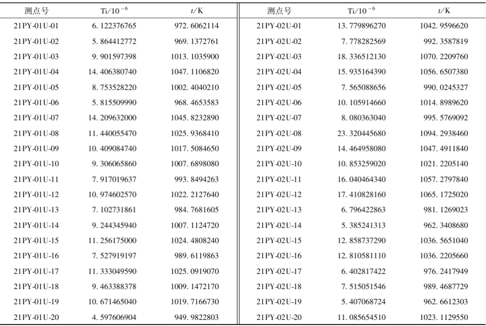
本文利用锆石Ti温度计对麦拉花岗岩岩浆温度进行了计算[36],计算公式如下:

图片

麦拉石英二长岩岩浆形成温度为949~1070 K(表3),说明麦拉石英二长岩的母岩浆为原岩部分熔融形成,形成温度较低,且熔融的矿物主要为熔点较低的中酸性矿物,印证了麦拉石英二长岩的母岩浆应为新生下地壳部分熔融产生的酸性岩浆。

表3  麦拉花岗岩锆石Ti温度计计算结果[36]

Table 3  Calculation results of zircon Ti thermometer of Maila granite [36]

图片

4.3 构造背景

在Hf-Rb-Ta判别图解中,麦拉石英二长岩样品和仲巴花岗岩样品主要落入碰撞大地构造背景区域;在另一Hf-Rb-Ta判别图解中,麦拉石英二长岩样品和仲巴花岗岩样品主要落入碰撞晚期-碰撞后花岗岩区域;在Ta-Yb和Rb-(Yb+Ta)判别图解中,麦拉石英二长岩样品和仲巴花岗岩样品主要落入同碰撞区域(图10)。以上构造背景判别图解均表明麦拉石英二长岩样品和仲巴花岗岩样品均应为同碰撞期的造山型花岗岩。

图片

图10  麦拉石英二长岩构造背景判别图[21,27-29,37-38](黑色据He等,2018[7],红色为本文数据)

Fig.10  Structural background discrimination diagram of Maila quartz monzonite[21,27-29,37-38](black according to He et al.,2018[7],red is the data in this paper)

结合前人对新特提斯洋的大量研究成果,新特提斯洋主碰撞时间为55~40 Ma[1]。而麦拉石英二长岩的成岩时间为46 Ma,处于同碰撞期,本文认知与前人研究成果一致。

钙碱性的麦拉石英二长岩具有显著的弧型岩浆岩和I型花岗岩特征。作者认为麦拉石英二长岩的具体形成过程如下:新特提斯洋板块与亚欧大陆板块发生碰撞,导致地壳加厚,新生下地壳失稳拆沉,熔融形成酸性岩浆,亏损地幔物质加入岩浆中,形成了富镁的酸性岩浆,最终侵位形成富镁的麦拉石英二长岩[7,10,34]。本文结果也进一步印证前人提出的印度与亚欧大陆碰撞模型[39-44],与新特提斯洋断裂有关的始新世岩浆活动至少持续到46 Ma,在此阶段,发生了显著的地壳增厚。麦拉石英二长岩是印度与亚欧大陆碰撞以及新特提斯洋岩石圈回转和断离引起的软流圈上涌的产物[7,10]。38 Ma的仲巴花岗岩岩浆源区位于印度大陆古陆壳边缘,而本文46 Ma的麦拉花岗岩岩浆源区位于新生下地壳,本文成果进一步构建了冈底斯岩浆源区位置随时间的变化关系[7]。

5 结论

藏南麦拉石英二长岩岩体形成于始新世(45~46 Ma),岩石地球化学反映出岩石为准铝质,具有富集大离子亲石元素Rb、Th和U,亏损高场强元素Nb、Ta、P、Ti的特征,属于I型花岗岩。麦拉岩体形成于特提斯洋闭合和印度—欧亚大陆碰撞的同碰撞环境,岩石为新生下地壳部分熔融混有亏损地幔物质形成。

致谢

在撰写此文过程中,作者得到了中国地质大学(北京)刘家军教授、赵志丹教授、狄永军副教授、杨宗锋副教授、翁国明博士、马一鼎同学等同志的帮助,在此一并致以衷心的感谢。

基金

基金项目:国家自然科学基金重大研究计划重点支持项目(91955206);科技部第二次青藏高原综合科学考察项目(2019QZKK0803);中国地质大学(北京)大学生创新创业训练计划(202311415003)。

参考文献

[1]孟元库,袁昊岐,魏友卿,等.藏南冈底斯岩浆带研究进展与展望[J].高校地质学报,2022,28(1):1-31.

[2]MO X X,ZHAO Z D,DENG J F,et al.Petrology and geochemistry of postcollisional volcanic rocks from the Tibetan plateau:Implications for lithosphere heterogeneity and collisioninduced asthenospheric mantle flow[J].Geological Society of America Special Papers,2006,409:507-530.

[3]侯增谦,赵志丹,高永丰,等.印度大陆板片前缘撕裂与分段俯冲:来自冈底斯新生代火山-岩浆作用证据[J].岩石学报,2006,22(4):761-774.

[4]ZHU D C,ZHAO Z D,NIU Y L,et al.The origin and preCenozoic evolution of the Tibetan Plateau[J].Gondwana Re search,2013,23(4):1429-1454.

[5]朱弟成,赵志丹,牛耀龄,等.拉萨地体的起源和古生代构造演化[J].高校地质学报,2012,(1):1-15.

[6]侯增谦,郑远川,卢占武,等.青藏高原巨厚地壳:生长、加厚与演化[J].地质学报,2020,94(10):2797-2815.

[7]HE J,DILEY K,LI Y L,et al.Geochemical and isotopic characterization of Middle Eocene hybrid magmatism in the Gangdese Belt(Tibet)and its ancient Indian crustal fingerprint[J].Journal of Geology,2018,126(6):601-620.

[8]董国臣,莫宣学,赵志丹,等.大陆碰撞过程的火山岩响应:以西藏林周林子宗火山岩为例[J].沉积与特提斯地质,2021,41(2):332-339.

[9]HU X,GARZANTI E,MOORE T,et al.Direct stratigraphic dating of India-Asia collision onset at the Selandian(middle Paleocene,59 ±1 Ma)[J].Geology,2015,43(10):859-862.

[10]张泽明,丁慧霞,董昕,等.冈底斯岩浆弧的形成与演化[J].岩石学报,2019,93(2):275-294.

[11]李祥辉,王成善,李亚林,等.仲巴微地体之定义及构成[J].地质学报,2014,88(8):1372-1381.

[12]许伟,李文强,田世洪,等.西藏仲巴微地体中新世马莜木富钾埃达克质岩及其内暗色微粒包体的成因[J].地质学报,2023,97(4):1030-1045.

[13]HU Z C,ZHANG W,LIU Y S,et al.“Wave”signal-smoothing and mercury-removing device for laser ablation quadrupole and multiple collector ICPMS analysis:application to lead isotope analysis[J]Analytical Chemistry,2015,87(2):1152-1157.

[14]LIU Y S,HU Z C,GAO S,et al.In situ analysis of major and trace elements of anhydrous minerals byLA-ICP-MSwithout applying an internal standard[J]Chemical Geology,2008,257(1 /2):34-43.

[15]LIU Y S,GAO S,HU Z C,et al.Continental and oceanic crust recycling-induced melt-peridotite interactions in the TransNorth China Orogen:U-Pb dating,Hf isotopes and trace elements in zircons of mantle xenoliths[J]Journal of Petrology,2010,51(1 /2):537-571.

[16]VERMEESCH P.IsoplotR:a free and open toolbox for geochronology[J]Geoscience Frontiers,2018,9:479-1493.

[17]RICKWOOD P C.Boundary lines within petrologic diagrams which use oxides of major and minor elements[J].Lithos,1989,22(4):247-263.

[18]MANIAR P D,PICCOLI P M.Tectonic discrimination of granitoids[J].The Geological Society of America Bulletin,1989,101(5):635-643.

[19]纪伟强,吴福元,锺孙霖,等.西藏南部冈底斯岩基花岗岩时代与岩石成因[J].中国科学(D辑:地球科学),2009,39(7):849-871.

[20]苏鑫,杨文光,朱利东,等.西藏冈底斯带东段强母错噶石英二长岩锆石U-Pb年龄、地球化学特征及地质意义[J].科学技术与工程,2020,20(11):4224-4235.

[21]SUN S,MCDONOUGH W F.Chemical and isotopic systematics of oceanic basalts:implications for mantle composition and processes[J].Geological Society,1989,42(1):313-345.

[22]CHAPPELL B W,WHITE A J R.Two contrasting granite types[J].Pacific Geology,1974,8(2):173-174.

[23]BONIN B.A-type granites and related rocks:Evolution of a concept,problems and prospects[J].Lithos,2008,97(1 /2):1-29.

[24]逯永卓,王泰山,余福承,等.南昆仑结合带盲矿西沟早白垩世高分异花岗岩的发现及其地质意义[J].大地构造与成矿学,2023,47(1):233-247.

[25]杨元江,邓昌州,李成禄,等.小兴安岭翠峦地区早侏罗世A型花岗岩成因与动力学背景[J].现代地质,2023,37(6):1597-1608.

[26]贾小辉,王强,唐功建.A型花岗岩的研究进展及意义[J].大地构造与成矿学,2009,33(3):465-480.

[27]COLLINS W J,BEAMS S D,WHITE A J R,et al.Nature and origin of A-type granites with particular reference to southeastern Australia[J].Contributions to Mineralogy and Petrology,1982,80(2):189-200.

[28]FROST B R,BARNES C G,COLLINS W J,et al.A geochemical classification for granitic rocks[J].Journal of Petrology,2001,42(11):2033-2048.

[29]WHALEN J B,CURRIE K L,CHAPPELL B W.A-type granites:geochemical characteristics,discrimination and petrogenesis[J].Contributions to Mineralogy and Petrology,1987,95(4):407-419.

[30]赵冰冰,邓宇峰,周涛发,等.西准噶尔地区乌散岩体成因:来自年代学、岩石学和地球化学的证据[J].地质学报,2016,90(5):950-970.

[31]张培烈,王根厚,王海勇,等.冈底斯构造带西段帮布勒铅锌铜矿床的剥露和保存:来自裂变径迹热年代学的证据[J].地质通报,2023,42(2/3):260-273.

[32]吴福元,刘小驰,纪伟强,等.高分异花岗岩的识别与研究[J].中国科学(地球科学),2017,47(7):745-765.

[33]吴福元,李献华,杨进辉,等.花岗岩成因研究的若干问题[J].岩石学报,2007,37(6):1217-1238.

[34]邓晋福,刘翠,冯艳芳,等.高镁安山岩/闪长岩类(HMA)和镁安山岩/闪长岩类(MA):与洋俯冲作用相关的两类典型的火成岩类[J].中国地质,2010,37(4):1112-1118.

[35]马鹏飞,夏小平,徐健,等.腾冲早白垩世花岗岩的高分异成因及其构造意义[J].岩石学报,2021,37(4):1177-1195.

[36]WATSON E B,WARK D A,THOMAS J B.Crystallization thermometers for zircon and rutile[J].Contributions to Mineralogy&Petrology,2006,151(4):413-433.

[37]PEARCE J A,HARRIS N B W,TINDLE A G.Trace Element Discrimination Diagrams for the Tectonic Interpretation of Granitic Rocks[J].Journal of Petrology,1984,25(4):956-983.

[38]杨学明,杨晓勇,陈双喜.岩石地球化学[M].合肥:中国科学技术大学出版社,2000:155-160.

[39]CHU MF,CHUNG S L,O'REILLY S Y,et al.India's hidden inputs to Tibetan orogeny revealed by Hf isotopes of Transhimalayan zircons and host rocks[J].Earth and Planetary Science Letters,2011,307:479-486.

[40]邓科,王金贵,董玉杰,等.西藏桑耶地区晚白垩世中性侵入岩的成因及对新特提斯板块北向俯冲的指示意义[J].现代地质,2023,37(2):375-389.

[41]韩飞,宋元宝,张伟,等.西藏冈底斯南木林地区晚三叠世中酸性岩浆作用及构造意义[J].现代地质,2023,37(3):547-561.

[42]梁东,华北,赵德怀,等.喀喇昆仑麦拉山地区水系沉积物地球化学特征与找矿预测[J].现代地质,2023,37(3):708-721.

[43]王瑞,张京渤,罗晨皓,周秋石,夏文杰,赵云.深部过程和物质架构对大陆碰撞带Cu-REE成矿系统的控制:以冈底斯和三江碰撞带为例[J].地学前缘,2024,31(1):211-225.


期刊介绍

图片

《现代地质》

《现代地质》创刊于1987年,双月刊,是由教育部主管、中国地质大学(北京)主办的地球科学领域的综合性学术期刊。荣誉主编为邓军院士,主编为刘大锰教授。期刊秉承“百花开放,百家争鸣”的方针,以地球系统科学为核心框架,聚焦多圈层相互作用与跨学科交叉研究。目前被中国科学引文数据库(CSCD)、北大中文核心、中国科技核心以及SCOPUS数据库等收录。

主编介绍

图片

刘大锰教授

刘大锰,教授,博士生导师,国务院政府特贴获得者,中国地质学会会士,长期从事煤层气地质勘探与开发。主持国家重点研发计划项目、国家自然科学重点基金等20余项。获国家科技进步二等奖1项、省部级科技成果一等奖4项和二等奖3项,北京市教育教学成果一等奖2项和二等奖1项;发表学术论文400余篇,SCI收录210余篇(第一作者/通讯作者100余篇),SCI他引10000余次,入选Elsevier中国高被引学者,斯坦福全球2%顶尖科学家;授权发明专利17件。据“科睿唯安”统计,有10篇ESI 1% 高被引论文。目前兼任《Unconventional Resources》共同主编,《Energy Reports》和《Energy Exploration and Exploitation》副主编。

现代地质GEOSCIENCE

排版 | 孟源

责任编辑 | 戚开静

审核 | 董立