首都医科大学:仅改变一个主食,就能显著降低空腹血糖和血压,降低全身炎症因子

慢性低度炎症是衰老的核心特征之一。首都医科大学的一项研究采用“真实世界”随机对照设计,旨在评估在不改变中老年居民日常烹饪习惯的前提下,单纯通过主食替代能否产生显著的生物学效应。

实验设计: 招募 144 名 45 岁以上社区居民(含 50% 高血压患者),最终 120 人完成为期 6 周的完整干预。干预组(WG)每日分配 150g 糙米和 150g 全麦粉,对比组(RG)则摄入等量的精制大米和白面。

图片

深度数据:代谢指标的细微震荡

基线调查显示两组在年龄(约63岁)、BMI、饮食习惯等方面高度一致。经过 6 周干预,虽然全谷物并没有显著降低参与者的体重或血压(BP),但研究揭示了其在血糖稳态方面的潜力。

全谷物组(WG)在餐后收缩压(Post-meal SBP)和空腹血糖(FBG)上均观察到显著的组内下降。尽管组间差异未达显著水平,但这暗示了全谷物对代谢的调节是深层且温和的,而非暴力干预。

图片

 

涵盖了从人口统计学特征到 BMI、血压、空腹血糖 (FBG) 及餐后血糖 (PBG) 的全方位对比。

免疫刹车:IL-22 与 IL-23 的因果链条

该研究最核心的贡献在于发现了全谷物对特定促炎因子的抑制作用。数据显示,全谷物干预显著降低了循环血液中 IL-22IL-23 的水平。

生物学深度: IL-23 是驱动 Th17 细胞激活的核心信号,而 IL-22 在特定环境下会诱导组织损伤。全谷物通过降低这对“促炎双煞”,直接缓解了免疫系统对机体的慢性攻击。

图片

 

详细对比了两组在干预前后的促炎与抑炎因子(如 hsCRP, IL-6, IL-10, IL-17A, IL-22, IL-23)的变化。

T 细胞亚群的重新平衡

利用流式细胞术,研究者分析了 CD4+ T 细胞的亚群分布。 结果发现,全谷物显著提高了 WG 组中 Th1 细胞 的比例,同时相比精制谷物组,调节性 T 细胞(Tregs)的比例在干预后相对较低。

这种变化并非单纯的“增强”或“减弱”,而是一种免疫环境的重构。全谷物促使免疫系统从一种不稳定的炎症状态转变为一种更具防御性、更和谐的平衡状态。

底层逻辑:丁酸——肠道代谢的英雄

为什么全谷物有此神效?研究指向了肠道代谢物:短链脂肪酸(SCFAs)。通过对粪便样本的色谱分析,研究者发现全谷物组的 丁酸(Butyric acid) 比例显著升高。

  • 丁酸的表观遗传作用: 丁酸能抑制组蛋白去乙酰化酶(HDACs),从而从基因转录层面抑制促炎细胞因子的产生。

  • 能量保障: 丁酸是结肠上皮细胞的首选能量来源,能强化肠道屏障,防止内毒素入血诱发炎症。

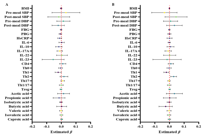
  • 线性关联: 多因素回归分析证实了全谷物摄入量与 Th1/Th2 细胞水平变动之间的直接关联。

    图片

总结:重塑中老年健康的主食策略

本研究通过严密的 RCT 证据链证明:全谷物不是通过简单的“减肥”来促进健康,而是通过“增加肠道丁酸 → 调节 T 细胞分化 → 抑制 IL-22/23 促炎通路”这一完整的机制链条,实现了对中老年人体内慢性炎症的“精准降温”。

对于社区居民,这意味着将餐桌上的部分大米替换为糙米,就是一种廉价、安全且极具科学依据的免疫保护策略。