10万人研究:早餐晚于9点,糖尿病风险飙升59%,在这个时间段吃饭,好处多多

在很多人的认知里,预防糖尿病就是“少吃糖、多运动”。但你是否想过,即使吃同样的东西,早上8点吃和10点吃,身体的反应完全不同?

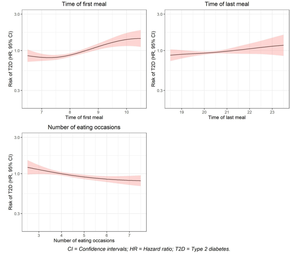
一项针对 10.3 万名成年人、追踪长达 7 年的大型前瞻性研究为我们敲响了警钟:进食时间2 型糖尿病的发生有着紧密的联系。

图片

一、 早餐:健康的“第一道关卡”

研究发现,早餐的时间点是预测糖尿病风险的关键指标。相比那些习惯在早晨 8 点前吃早餐的人,9 点以后才吃早餐的人,患 2 型糖尿病的风险增加了 59%。身体的生物钟决定了血糖调节的节奏。如果我们推迟第一餐,就是在挑战代谢系统的“上班时间”,长期以往会导致血糖控制受损。

二、 晚餐:不宜太晚,更不能“喧宾夺主”

晚餐的时间同样不可忽视。研究指出,晚上 9 点以后进食(与晚上 7 点前相比)也会增加患病风险。很多时候晚餐晚了,第二天早餐就会相应推迟。这种“整体推后”的饮食模式,是代谢健康的杀手。

图片

图 1:进食习惯与糖尿病风险的线性关系图(展示风险随时间推移的上升趋势)

三、 两个颠覆常识的发现

1. “少吃多餐”反而更好?该研究显示:每天进食次数较多(进食频率高)的人,糖尿病发病率反而略低。这意味着能量分布均匀比单次暴饮暴食更健康。

2. 断食13小时真的有用吗?研究发现,只有在“早起早餐(8点前)”的前提下,保持13小时以上的夜间空腹才对预防糖尿病有显著益处。

四、 研究的“控糖建议表”

根据本研究的结论,想要远离 2 型糖尿病,请尝试调整你的时间表:

  • 早起早餐: 尽量在早晨 8:00 之前完成第一餐。

  • 早早晚餐: 理想的最后一餐应在 19:00 之前

  • 规律频次: 保持规律的进食节奏,避免长时间饥饿后的过度补偿。

总结:顺应生物钟,早点吃早餐,就是简单的控糖药。改变风险,从明天把闹钟调早20分钟开始。