为什么这些鱼在冰湖下没有被憋死?

当严冬降临,湖面被厚厚的冰层封死,切断了与大气的联系,原本水里的氧气被底泥中的微生物和腐烂的水草消耗殆尽。这时候的湖底就像一个密闭的罐头。

图片

此时,绝大多数鱼无法在完全缺氧(Anoxia)下生存。它们需要水中哪怕残留的一点点溶解氧。如果湖底彻底没氧气,就会发生大规模死鱼事件。

但对于这些鲫鱼[1]来说,依然可以游来游去。

图片

它们并没有练就什么龟息大法,而是选择了一种更硬核、更朋克的生存方式:喝酒。或者更准确地说,它们把自己变成了一座游动的酿酒厂。

图片

早在1958年,捷克科学家P. Blazka就发现水缸里的鲫鱼,在完全没有氧气的水里活了两个月[2],这看起来完全不符当时的生物化学常识[3] 。按照常理,在没有氧气的情况下,动物细胞只能通过糖酵解来获取微薄的能量,这个过程会产生乳酸。

如果你跑完800米腿部酸痛,那就是乳酸在堆积。对于一条被困在冰下的鱼来说,长达数月的乳酸堆积会导致严重的酸中毒,基本上等于把自己腌制入味了。

图片

Blazka困惑的地方在于,他检测了鱼体内的乳酸含量,并没有达到致死的浓度,但他却测到了大量的二氧化碳排放。

在没有氧气参与呼吸的情况下,这二氧化碳是从哪儿冒出来的?这个被称为“二氧化碳悖论”的谜题困扰了科学界二十多年,直到1980年才被解开。

1980年,来自英属哥伦比亚大学的Eric Shoubridge和Peter Hochachka通过同位素追踪技术,终于在《科学》杂志上揭露了真相[4]:这些鱼把代谢产生的乳酸前体丙酮酸,转化成了乙醇 。

是的,就是酒精。

图片

这是一种极为精妙的化学代偿。乳酸是酸性的,堆积在体内会致命,但乙醇是中性的,而且可以通过鱼鳃轻松地排放到周围的水里。这样一来,鲫鱼就避免了酸中毒的风险,代价则是它必须不断地消耗体内的葡萄糖来维持这个低效的能量循环。

图片

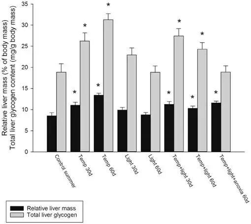
为了支撑这种挥霍,鲫鱼必须有一个巨大的能量库。2016年,芬兰东部大学的Matti Vornanen团队发现,鲫鱼并不是临时抱佛脚,而是有着周密的年度计划[5]

图片

随着秋天水温从18度降到4度,温度的降低作为信号,触发了鲫鱼肝脏内糖原合酶的活性 。它们开始疯狂地囤积糖原,到了入冬前,鲫鱼的肝脏会膨胀到体重的15%甚至更多,其中糖原含量高达30%,这是已知脊椎动物中最高的糖原储存密度[6] 。

有了燃料,还得有特殊的引擎。2017年,奥斯陆大学的Fagernes团队通过基因组测序揭示了这套酿酒设备的来源。大约800万年前,鲫鱼的祖先发生了一次全基因组复制事件 。简单说就是它们的基因多了一份备份。原本负责有氧呼吸的一套酶(丙酮酸脱氢酶)继续维持正常工作,而多出来的那一套备份基因发生了突变,获得了类似酿酒酵母的功能 。这种“双系统”配置让它们平时是条正经鱼,缺氧了就变成发酵罐。

图片

在这个过程中,血液中的酒精浓度会飙升。在实验环境下,科学家测得鲫鱼体内的酒精浓度可以达到50mg/100ml,这在许多国家已经达到了酒驾的标准 。

不过,并不是所有耐缺氧的鱼都选择了这条路。和鲫鱼经常生活在一起的丁鱖(Tinca tinca),采取的就是完全不同的策略[7]

图片
丁鱖

丁鱖没有酿酒的技能,在缺氧时只能老老实实地忍受乳酸堆积。为了活命,丁鱖会进入一种类似昏迷的麻木状态,把新陈代谢降到极低,甚至连脑电活动都几乎停止,像一块石头一样趴在水底不动 。

相比之下,鲫鱼在无氧环境中简直是个运动员。奥斯陆大学的Göran E. Nilsson在1990年代的研究发现,鲫鱼在缺氧时依然保持着清醒的头脑,甚至还能游动 。这听起来很浪费能量,但这其实是为了生存。在冰封的湖底,如果像丁鱥那样昏迷不动,很容易被逐渐增厚的冰层冻住。鲫鱼保持大脑活跃,利用腺苷扩张脑血管,增加脑血流量,确保它能感知环境,寻找没有结冰的深水区[8] 。

虽然鲫鱼是耐缺氧的大师,但它们并不是耐冻的大师。如果细胞内的水分真的结成了冰晶,细胞膜被刺破,神仙也救不回来 。它们之所以能在冰湖下生存,是因为它们生活在冰层之下的液态水中,而不是变成了冰棍。

图片

这套酿酒求生的机制在生物医学上也极具价值。人类的中风和心脏病本质上也是组织缺氧,几分钟的缺血就会导致神经元死亡。而鲫鱼的神经元却能在完全无氧的状态下存活数月。Nilsson教授指出,鲫鱼通过调节神经递质GABA来降低神经兴奋性,同时利用糖原储备维持基本的离子平衡,这种策略或许能为人类治疗脑卒中提供新的思路 。

通过将身体转化为一台高效的乙醇生产机器,依靠巨大的肝糖原储备和“永不关机”的大脑,鲫鱼在冰湖中存活了下来。

图片


参考

  1. ^必须是Carassius属(鲫鱼/金鱼),必须有足够的糖原储备,水温必须足够低以压制代谢,且水体不能完全冻结到底。
  2. ^https://pubmed.ncbi.nlm.nih.gov/7384807/
  3. ^在当时的生物化学范式中,脊椎动物的厌氧代谢主要依赖糖酵解(Glycolysis):葡萄糖转化为丙酮酸,随后在乳酸脱氢酶(LDH)的作用下转化为乳酸(Lactate)。这一过程虽然能产生少量 ATP,但会导致乳酸在体内剧烈积累,引发致命的代谢性酸中毒(Acidosis)。
  4. ^https://www.semanticscholar.org/paper/Ethanol%3A-novel-end-product-of-vertebrate-anaerobic-Shoubridge-Hochachka/321281a7e8321dd044f91b6645a182ff9e7703f3
  5. ^https://pubmed.ncbi.nlm.nih.gov/26853873/
  6. ^https://journals.biologists.com/jeb/article/207/18/3131/9335/Hypoxic-survival-strategies-in-two-fishes-extreme
  7. ^https://journals.biologists.com/jeb/article/218/8/1198/14491/Distinct-physiological-strategies-are-used-to-cope
  8. ^https://journals.biologists.com/jeb/article/200/2/411/7506/Contrasting-Strategies-for-Anoxic-Brain-Survival