Hepatology丨高胰岛素血症:代谢相关脂肪性肝病中被忽视的线索与潜在方向

编者按

代谢相关脂肪性肝病(MASLD)与其他代谢综合征(如2型糖尿病,T2DM)密切相关。疾病进展可能导致肝纤维化,这是主要不良肝脏结局的主要预测因子。胰岛素抵抗在该病的发病机制中起主要作用。相关的空腹高胰岛素血症已被独立关联为主要不良肝脏结局和主要不良心血管事件的预测因子。Hepatology杂志2026年1月刊发表了英国牛津大学拉德克利夫医学系Stephen A. Harrison教授的一篇综述性文章,讨论了肝纤维化与高胰岛素血症之间的潜在机制和相互关联,并提出空腹胰岛素测量可能成为MASLD诊疗中一项重要的无创诊断指标。

图片

文章发表封图

(DOI: 10.1097/HEP.0000000000000710)

胰岛素抵抗在MASLD/MASH发病机制中的关键作用

MASH是一种由多重因素引发的复杂疾病,其发病机制始于非酯化脂肪酸(NEFA)在肝脏中的异常积累。这一过程主要由胰岛素抵抗所驱动,具体表现为以下几个方面:

胰岛素抵抗促使肝脏内脂肪新生增加,同时脂肪组织中的脂肪分解加速,导致大量NEFA进入肝脏。此外,胰岛素抵抗的脂肪组织无法有效抑制脂肪分解,进一步加剧NEFA向肝脏的流入。在脂肪组织层面,胰岛素抵抗还会引发炎症细胞因子的释放。

进入肝脏的NEFA由于脂肪氧化能力下降及极低密度脂蛋白(VLDL)分泌减少,无法被有效代谢,从而在肝细胞内堆积,形成二酰甘油、神经酰胺等脂毒性物质。其中,二酰甘油的积累尤为关键,它会加剧肝脏的胰岛素抵抗,削弱胰岛素对肝糖生成的抑制作用,进而导致空腹血糖升高,并进一步刺激肝脏脂肪新生。

脂毒性及肝脏胰岛素抵抗共同触发炎症反应和细胞凋亡,造成肝细胞损伤。随之激活的免疫细胞反应不仅维持炎症状态,还会激活肝星状细胞,最终推动肝纤维化的形成。鉴于上述机制的紧密关联,针对胰岛素敏感性的干预已成为MASH治疗的重要策略。

高胰岛素血症作为肝脏胰岛素清除受损的结果

胰岛素是调节碳水化合物、脂质和蛋白质代谢的核心激素,其主要功能是通过促进脂肪细胞和肌肉细胞摄取葡萄糖来降低血糖。高胰岛素血症的形成机制存在两种主要假说:一种认为胰岛素抵抗是对胰岛素分泌过多的代偿反应,另一种则认为胰岛素分泌增加是为了弥补胰岛素抵抗造成的代谢效率下降。目前学界对这两种假说仍有争议,但普遍认为个体差异可能导致不同患者的主要缺陷有所不同。

近年研究发现,空腹状态下肝脏的胰岛素清除能力是评估肝脏健康的重要指标。正常情况下,约80%的胰岛素在首次通过门静脉时被肝脏清除。但当肝脏发生脂肪变性时,这种清除功能会显著下降,导致血液中胰岛素水平异常升高。多项研究证实,胰岛素清除功能受损是代谢性疾病患者出现高胰岛素血症的关键因素。

值得注意的是,非酒精性脂肪性肝炎临床研究网络(NASH CRN)的研究显示,基线空腹胰岛素水平较低(20 μU/mL)的MASH患者,其肝纤维化自发消退的可能性显著高于高水平组(33 μU/mL),纤维化逆转比例达到34%。这一发现提示,监测空腹胰岛素水平可能成为评估肝纤维化进程和治疗效果的重要无创指标。

MASLD中的高胰岛素血症

虽然在临床实践和多数临床试验中,空腹血浆胰岛素并不常被检测,但不少研究都发现,肝纤维化越严重,患者的空腹胰岛素水平往往越高。从单纯肥胖、T2DM、MASLD到MASH,空腹胰岛素水平呈逐步上升趋势,纤维化最重的患者水平最高。

Lomonaco等的研究显示,无T2DM或MASLD的肥胖患者平均空腹胰岛素为8 μU/mL,伴T2DM但无MASLD者为9 μU/mL,伴T2DM且有单纯脂肪变性者升至12 μU/mL,而伴T2DM和MASH者则达19 μU/mL。Bazick等的另一项研究也发现,MASH伴早期纤维化(分期0-2)患者平均空腹胰岛素为25.3 μU/mL,晚期纤维化(分期3-4)患者则升至36.4 μU/mL。

Bril等在纳入190名患者的研究中指出,MASLD的高胰岛素血症主要与胰岛素清除能力下降有关,而不是胰岛素分泌增多。不过,他们发现胰岛素清除减少与肝脏甘油三酯堆积相关,而与气球样变、炎症或纤维化严重程度并不直接挂钩。这可能和现有的NASH CRN评分系统主要关注肝小叶的1区和3区有关。

肝脏在结构上呈代谢分区,腺泡单位是血流和功能的基本单元:1区靠近门管区,3区环绕中央静脉,2区位于两者之间。血液从门管区流向中央静脉的过程中,氧气和营养逐渐减少,各区间的细胞需协同维持肝脏结构与代谢功能。窦周区域(尤其是2区)若出现纤维化,很可能干扰胰岛素的正常清除,从而加剧高胰岛素血症的发生。

肝纤维化和血浆胰岛素水平作为结局预测因子

肝纤维化是预测主要不良肝脏结局(MALO)的关键指标,也是药物审批中的重要依据。然而,依赖肝组织学评估存在明显局限性:活检具有侵入性、样本存在变异性、不同医师判读结果不一致,且难以全面反映肝腺泡内所有分区的病变情况。如图1所示,现有NASH CRN评分系统主要关注1区和3区纤维化,而对2区纤维化的评估不足。

图片

图1. 肝脏的宏观与微观结构

肝小叶为六边形单元。每个小叶由多个腺泡单位组成,代表肝脏的功能单位。氧气、营养物质、毒素和其他底物从肝动脉和门静脉定向到达肝血窦血液循环,通过中央静脉流经多个肝区(1区、2区和3区)。门静脉-中央静脉轴允许多种代谢过程。胰岛素从胰腺分泌后,首次经过肝脏时会被部分清除。任何窦周细胞功能障碍,包括窦周区域的纤维化,都可能损害适当的清除过程。

同时,多项研究证实空腹血浆胰岛素水平与心血管疾病风险独立相关。ACCELERATE试验分析显示,空腹胰岛素水平>23.6 μU/mL的2型糖尿病患者发生主要不良心血管事件(MACE)的风险显著升高,而胰岛素水平<20 μU/mL的患者风险与无糖尿病者相当。

基于这些发现,研究者提出假设:空腹胰岛素升高更可能是肝功能不良的标志,而非心血管病变的直接原因。如图2所示,MASLD的病理进程同时导致肝纤维化和高胰岛素血症,二者共同推动MALO和MACE的发生。

图片

图2. 肝纤维化和空腹胰岛素升高是MALO和MACE的关键因素

MASLD的发病机制导致肝纤维化和高胰岛素血症。肝脏胰岛素清除受损可能部分归因于肝纤维化,而肝纤维化会加剧胰岛素抵抗和高胰岛素血症,后者是MACE的已知独立预测因子。肝纤维化还会导致门静脉压力升高,从而引发MALO。

因此,空腹胰岛素检测有望成为评估肝功能和非侵入性预测多重临床风险的重要指标。当前已有人工智能技术被开发用于提升肝组织学评估的精准度,以弥补现有体系的不足。

空腹血浆胰岛素作为评估肝功能的潜在工具

未来,空腹血浆胰岛素检测有望成为评估MASH肝功能的非侵入性工具。不过,仍需进一步研究确认胰岛素水平变化是否与肝脏结构改善一致。除胰岛素外,口服胆酸盐清除率等功能性检测也能反映门静脉血流情况,进而评估肝脏损伤程度。

健康肝脏能清除约80%经门静脉的胆酸盐,但随着肝损伤加重,门静脉血流会分流至体循环,导致门静脉高压和肝功能失代偿。值得注意的是,在出现明显门静脉高压前,胰岛素清除能力下降已可导致高胰岛素血症。因此,空腹高胰岛素血症既是肝功能障碍的标志,也可能直接引发不良临床结局。

目前胰岛素检测的临床应用仍受限于测定方法的变异性和缺乏标准化。尽管如此,胰岛素水平及其稳态模型评估已在糖尿病临床试验中广泛应用,为其在肝病领域的推广奠定了基础。

EMMINENCE试验的事后分析

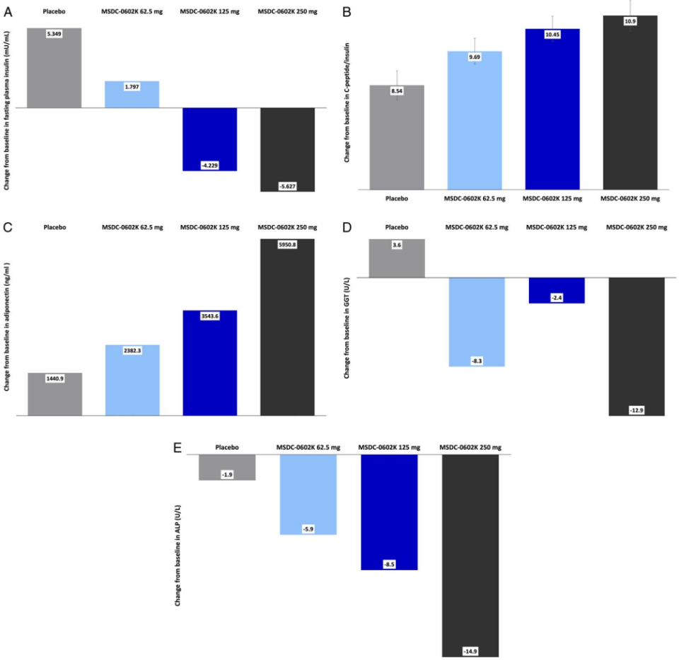
MSDC-0602K是一种通过调节线粒体丙酮酸载体实现代谢重编程的新型胰岛素增敏剂。在针对经活检确诊的MASH患者开展的52周2b期临床试验中,该药物展现出显著疗效。研究显示,患者基线平均空腹胰岛素水平达25.25 μU/mL,约为早期单纯糖尿病研究预期的两倍。经过双盲治疗后,250mg剂量组表现出最显著的空腹胰岛素降低效果,同时C肽/胰岛素比值上升,表明肝脏对胰岛素的清除功能得到改善。

图片

图3. EMMINENCE试验结果显示,MSDC-0602K治疗组在空腹胰岛素、C肽/胰岛素比值、脂联素等多个指标上呈现剂量依赖性改善

此外,该治疗还伴随多项生物标志物的积极变化:抗炎抗纤维化因子脂联素显著提升,而炎症标志物γ-谷氨酰转移酶和碱性磷酸酶则明显下降。肝组织学分析进一步证实,250 mg剂量组在“MASH缓解且纤维化无恶化”这一临床终点上取得显著成效。

图片

图4. 治疗12个月后,MSDC-0602K 250 mg剂量组在MASH缓解终点上表现优异

除MSDC-0602K外,其他胰岛素增敏剂如吡格列酮、PXL-065和lanifibranor等也显示出肝保护潜力。这些发现表明,空腹胰岛素水平变化可能成为预测MASH治疗效果的可靠指标,为肝病诊疗提供了新的方向。

小 结

在T2DM合并MASH患者中,伴有晚期纤维化的患者空腹胰岛素水平显著高于无肝纤维化的患者。研究表明,空腹高胰岛素血症可作为评估肝功能受损的重要无创诊断指标。作者提出,肝区2区的窦周纤维化可能是影响MALO的关键因素,而现有NASH CRN评分系统未能充分反映这一区域的病变情况。未来通过空间转录组学等新技术深入研究肝组织学,有望更精准评估纤维化分布。

原文链接:Harrison SA, Dubourg J, Knott M, Colca J. Hyperinsulinemia, an overlooked clue and potential way forward in metabolic dysfunction-associated steatotic liver disease. Hepatology. 2026 Jan 1;83(1):169-177.

作者声明:健康医疗分享,仅供参考