科研进展 | 郭光灿院士团队:实现无共享参考系下的信息完备分布式量子计量

在经典信息处理中,信息的编码方式通常不会影响其基本价值,这一特性使得经典比特具有可互换性。然而在量子世界,情况截然不同。实现量子比特的任意制备和测量需要精确识别特定的参考系(RF),这一参考系信息量子信息处理中不可互换的核心要素。

近日,中国科学技术大学、安徽省量子网络重点实验室、合肥国家实验室、中国科学院量子信息与量子科技前沿卓越创新中心等组成的研究团队在《Nature Communications》期刊上发表题为“Informationally complete distributed metrology without a shared reference frame”(无共享参考系下的信息完备分布式计量)的研究论文,Hua-Qing Xu、Gong-Chu Li为论文共同第一作者,陈耕为论文通讯作者,郭光灿院士亦参与本项研究。

图片

本研究针对分布式量子计量中因缺乏共享参考系(RF)导致的信息提取难题,提出了一种“反向编码”(2-LUI-RE协议该协议对两副本局域幺正不变(LUI)网络态执行反向编码。该方法不仅能规避禁戒定理,还可抑制由参考系失准引发的类退相干噪声,进而实现量子费希尔信息(QFI)的完整恢复并保持海森堡极限缩放。

研究还证明,局域贝尔态测量(LBM)是使量子费希尔信息达到饱和的最优测量策略,而标准随机测量会导致信息的指数级损失。这一研究成果为分布式量子传感的实际应用奠定了基础此类应用本质上受未知参考系失准的影响,且此前因禁戒定理而难以实现

图片研究背景

在量子信息处理中,无论是量子比特的偏振态制备,还是纠缠态的测量分析,都需要明确的参考框架来定义物理量。例如,光子的水平/垂直偏振(|H⟩/|V⟩)需以光学平台为参考,原子自旋态的取向需依赖固定磁场基准。

但在分布式场景中,这个“标尺”却难以统一。星载量子传感器的姿态波动、地面站点的空间分离、动态环境下的参考系漂移,都会导致各站点的局域参考系存在未知旋转。这种失准带来了类退相干噪声的毁灭性打击、禁戒定理的根本限制两大致命问题

当前大多数量子信息协议都建立在参与方共享共同参考系的假设基础上,然而这一假设在分布式量子任务中往往难以满足。从空间干涉测量到全球时钟同步,分布式量子网络承诺实现精度随传感器数量增加的量子增强效应,即达到海森堡极限(1/N),显著超越标准量子极限(1/√N)。但缺乏共享参考系成为实现这一量子优势的主要障碍。

图片

图:参考系的作用及失准的影响

此前,研究人员尝试通过量子纠错码、无退相干子空间等方法缓解噪声,但这些方案需要额外资源和复杂操作,缺乏普适性多副本策略虽能部分抑制噪声,却仍受禁戒定理约束,无法实现局域编码下的信息提取。打破参考系枷锁,成为分布式量子传感走向实用化的关键突破口。

图片2-LUI-RE协议

研究团队创新性提出2-LUI-RE协议,利用反向编码技术处理局域幺正不变网络态的多副本。具体而言,通过在两副本或多副本上实施相反的编码操作(Θθ和Θ-θ),可以有效打破副本间的SWAP对称性,从而规避了Iman Marvian提出的禁戒定理的限制。

图片

图:2-LUI-RE协议的完整流程

  • 局域幺正不变(LUI)态

协议的第一步是构造对参考系失准免疫的LUI态。其利用多副本旋转变换,将量子态投影到集体局域旋转不变的子空间。对于N个站点共享的k副本量子态,通过局域k-旋转变换信道:

图片

可将初始k副本态转化为LUI态这种状态满足即对任意参考系旋转具有免疫性,从根源上解决了类退相干噪声问题。关键突破在于,当k≥2时,LUI子空间不再是无信息的混合态,而是能够承载量子计量信息的有效载体。这为后续信息编码提供了基础。

  • 反向编码

禁戒定理的核心约束源于编码过程的交换对称性即多副本采用相同编码,导致信息被平均抵消。2-LUI-RE协议的创新之处在于,对两副本LUI态采用“反向编码”策略

图片

其中,图片是编码操作的反向操作。

这种反向编码明确打破了副本空间的交换对称性。传统全同编码(IES为交换算子),信息被对称性掩盖而反向编码下与待估计参数θ直接相关,使局域编码信息得以保留。

  • 量子费希尔信息的完整恢复

量子费希尔信息(QFI)是量子计量精度的 黄金标准”,其最大值决定了测量精度的理论极限。通过严格的费希尔信息分析,研究证明θ小时(实际计量中常见场景),2-LUI-RE协议的QFI渐近等价于无噪声下的理想值

图片

这一结果表明,即使在缺乏共享参考系的条件下,该协议仍能保持量子传感的终极精度极限。

图片

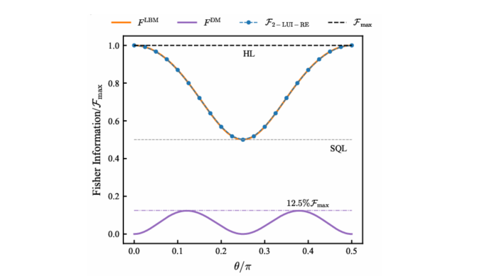
图:不同测量策略的费希尔信息对比

图片七大实验结果

研究团队通过系统的理论推导和示例验证,得出了七项核心实验结果,全面证实了2-LUI-RE协议的有效性和优越性

)多副本LUI子空间的非平凡特性

单副本旋转变换(k=1)会导致完全退极化,而k≥2时,LUI子空间呈现非平凡结构。例如两副本场景中,LUI态由单位算子和交换算子张成,其本征态与θ无关,但本征值随θ变化,从而保留计量信息。

这一结果表明,多副本不仅是噪声抑制的资源,更是信息编码的载体。

(二)LUI态对RF噪声的完全免疫

通过G-旋转变换信道模拟参考系失准后,LUI态满足,即平均后的态与原始LUI态一致。这证明了LUI态从构造上就摆脱了RF噪声的影响,无需额外校准或纠错,显著降低了实验复杂度。

这一性质确保协议对参考系错位引起的退相干噪声具有内在鲁棒性,为实际应用提供了理论基础。

)禁戒定理的规避机制

禁戒定理对1-局域编码的限制源于交换对称性与RF不变性的双重约束。

2-LUI-RE协议通过反向编码打破交换对称性,使局域编码(l=1)的信息不再被RF平均擦除。示例验证显示,当编码哈密顿量为局域形式时,全同编码(IE)的QFI为0(符合禁戒定理),而反向编码(RE)的QFI非平凡,明确证实了禁戒定理的规避。

)单站点局域编码的有效性验证

针对单站点编码场景,协议的QFI为:

图片

当初始态具有非零初始QFI(F0≠0)时,旋转变换后的QFI保持非平凡,且小θ下接近F0。这一结果证明,协议可直接应用于局域编码场景,无需非局域相互作用,极大提升了实用性。

)直积态初始态下的准量子极限保持

当初始态为直积态图片,编码哈密顿量为时,协议的QFI为:

图片

θ极限下图片,对应标准量子极限(SQL)。这表明,即使使用简单的直积态,协议也能保留量子增强精度,为资源受限场景提供了可行方案。

GHZ态初始态下的海森堡极限

当初始态为纠缠GHZ态图片时,协议的QFI达到:

图片

这一结果对应海森堡极限(HL),测量精度随站点数N的平方提升,突破了SQL的限制。作为分布式量子传感的最优探测态,GHZ态与2-LUI-RE协议的结合,实现了“无共享参考系”与“海森堡极限精度”的双重目标。

)局域贝尔态测量的最优性

测量策略直接决定了量子优势的实际提取效率。研究发现:

  • 直接计算基测量(DM)存在指数级信息损失,大N下,完全丧失量子优势;

  • 局域贝尔态测量(LBM)可饱和QFI,满足图片,且无需辅助量子比特,通过CNOT门和阿达马门即可实现。

这一结果为实验实现提供了明确指导,采用LBM作为测量策略,可最大程度提取编码信息,确保量子极限的实现。

图片

图:测量策略的实验方案

图片研究成果

研究的突破意义不仅在于理论创新,更在于为实际应用铺平了道路

理论层面来看,此前,禁戒定理被认为是无共享参考系分布式计量的“天花板”,限制了局域编码的应用。2-LUI-RE协议通过反向编码打破交换对称性,首次在1-局域编码场景下实现了信息的有效提取,从根本上规避了禁戒定理的约束,为分布式量子传感打开了新的研究空间。

技术层面来看,协议不仅抑制了RF失准引发的类退相干噪声,还实现了量子费希尔信息的完整恢复,直积态下保持SQL,GHZ态下达到HL。这表明,分布式系统在缺乏共享参考系的情况下,仍能发挥量子技术的核心优势,测量精度远超经典系统。

实践层面来看,协议的核心操作(局域旋转变换、反向编码、LBM测量)均基于成熟的量子技术。量子比特系统中可通过克利福德操作实现旋转变换,反向编码可通过反转光学晶体取向或泡利-X操作实现,LBM测量是量子纠缠探测的标准技术。此外,协议无需非局域相互作用或额外辅助资源,大幅降低了实验难度,易于在星载网络、地面分布式传感器等场景中推广。

本研究首次在理论上严格证明,在无需共享参考系、仅使用局域操作和测量的最苛刻条件下,分布式量子传感网络依然能够实现信息完备的测量并达到海森堡极限精度。它清除了分布式量子传感走向实际场域应用的一大根本性理论障碍,为构建真正实用化的高精度量子传感网络奠定了坚实的基础。

参考链接

[1]https://www.nature.com/articles/s41467-025-67771-9

[2]http://lqcc.ustc.edu.cn/hr34.html