华科最新研究:2型糖尿病患者科学控糖可延长6-9年寿命!

01

全球最新研究揭示2型糖尿病患者健康管理的突破性进展。一项基于中国、美国和英国15万糖尿病患者的跨国研究发现,通过科学控制多项风险因素,患者预期寿命可显著延长,甚至接近健康人群水平。这项发表于《Military Medical Research》的重磅研究,首次系统揭示了生活方式干预与代谢控制在糖尿病管理中的协同效应。

图片

02

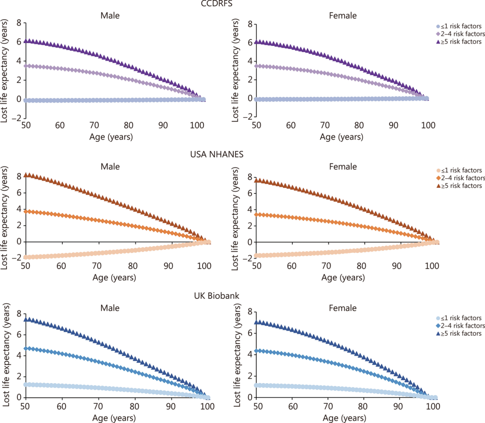
来自华中科技大学同济医学院的研究团队联合国际同行,整合中国慢性病监测(CCDRFS)、美国国家健康与营养调查(NHANES)和英国生物样本库(UK Biobank)的长期随访数据。研究显示,同时控制吸烟、运动、饮食、血糖、血压、血脂六项指标的患者,其生存获益呈现指数级增长。值得关注的是,在中国队列中,16%达标5项以上控制目标的患者,50岁时的预期寿命比未达标者延长8.2年。

这项研究揭示了令人震撼的现实图景:尽管现代医学已建立完善的糖尿病管理指南,但在全球范围内,完全达标者比例不足一成。中国、美国、英国队列中分别仅有16%、9.9%和6.8%的患者实现五项以上风险因素的良好控制。更严峻的是,糖尿病患者的全因死亡风险仍是健康人群的2.1-2.4倍,心血管疾病死亡风险差异更为显著。

该研究首次证明,糖尿病患者的生存质量完全可以通过系统管理得到根本性改善。数据显示,当患者将风险因素控制在1项以内时,其50岁后的预期寿命仅比健康人群少1.2-1.9年。这种生存获益在不同种族、社会经济地位和遗传背景人群中均保持稳定,即便是携带长寿基因易感性的个体,综合风险控制仍能带来5.6-6.6年的寿命延长。

图片2 型糖尿病患者中,与无 2 型糖尿病的对照组相比,根据超出目标范围的风险因素变量数量估算的寿命损失年数。用于估算预期寿命的风险比(HRs)已校正年龄、性别、种族(中国慢性病及其危险因素监测研究中未校正)、居住地(仅在中国慢性病及其危险因素监测研究中校正)、受教育程度、经济状况、心血管疾病史、癌症史及糖尿病病程(中国慢性病及其危险因素监测研究中未校正)

研究特别强调生活方式干预的独立价值。即使在代谢指标未达标的患者中,坚持健康饮食、规律运动和戒烟仍可延长2-4.2年寿命。更令人鼓舞的是,生活方式良好的患者即便代谢控制欠佳,其生存期仍显著优于代谢达标但生活方式不健康者。这种差异在男性患者中尤为明显,中国男性患者因此获得的预期寿命增益达3.4年。

在具体风险因素中,研究团队发现血糖控制(HbA1c)和生活方式的权重显著高于血压、血脂。这与传统认知形成鲜明对比:达标血糖和健康行为可带来1.9-4.1年的寿命延长,而血压和血脂控制的贡献相对较小。专家解读称,这提示临床管理应更重视行为干预与血糖管理的协同作用。

03

这项研究对全球糖尿病防治具有里程碑意义。中国糖尿病患者数量高达1.4亿,美国超过3700万,英国则有400余万患者。研究揭示的管理策略可直接转化为公共卫生政策:通过构建健康支持环境(如城市运动设施普及、健康食品供给)、强化基层医生生活方式指导能力、建立个性化数字健康管理系统,有望显著改善患者预后。

研究团队同时指出挑战:当前糖尿病管理存在显著社会经济差异。在英美队列中,低收入群体的风险因素控制达标率显著低于高收入人群。在中国,城乡医疗资源差异导致基层患者管理依从性不足。这些问题的解决需要政策制定者、医疗机构和企业的协同努力。

值得关注的是,研究中观察到的生存获益主要来自心血管事件的减少。这为新型降糖药物(如GLP-1受体激动剂)与生活方式干预的联合应用提供了新思路。专家建议,未来应建立包含基因检测、代谢组学分析的精准健康管理系统,通过人工智能算法动态评估个体风险,实现糖尿病管理的范式转变。

这项历时20年的跨国研究,为全球糖尿病防治提供了关键证据。它不仅验证了"达标治疗"的临床价值,更揭示了生活方式干预在慢病管理中的核心地位。当科学管理遇见个体努力,糖尿病患者完全可能突破疾病桎梏,重获健康人生。正如研究团队在结论中强调:"糖尿病管理的终极目标,不仅是控制指标,更是创造生命延续的奇迹。"

参考

Qiu, ZX., Qian, F., Zhang, YB. et al. Risk factor control in relation to mortality and life expectancy among people with type 2 diabetes: results from 3 nationwide cohort studies.Military Med Res 12, 89 (2025). https://doi.org/10.1186/s40779-025-00674-4