祝贺!常州这些同学

近日

江苏省教育厅发布

关于公布2024—2025学年

本专科生国家励志奖学金

获奖名单的通知

常州大学江苏理工学院

常州多所高校学生上榜

祝贺他们

图片图片图片


图片

各有关高等学校:

根据《学生资助资金管理办法》(财教〔2021〕310号)和《江苏省学生资助管理实施细则》(苏教助〔2021〕1号)精神,省教育厅组织有关高校(含独立学院)开展了2024—2025学年国家励志奖学金申报和评审工作。本年度,全省共有159所高校的69435名同学获得2024—2025学年江苏省本专科生国家励志奖学金(名单详见附件),现予公布。

请各有关高校按照《江苏省学生资助资金管理办法》(苏财规〔2020〕28号)等相关文件要求,于2025年12月31日前将奖励资金一次性发放给获奖学生,并将获奖情况录入全国学生资助管理信息系统,记入学生学籍档案。获奖证书将由省教育厅另行发放。

省教育厅

2025年11月27日


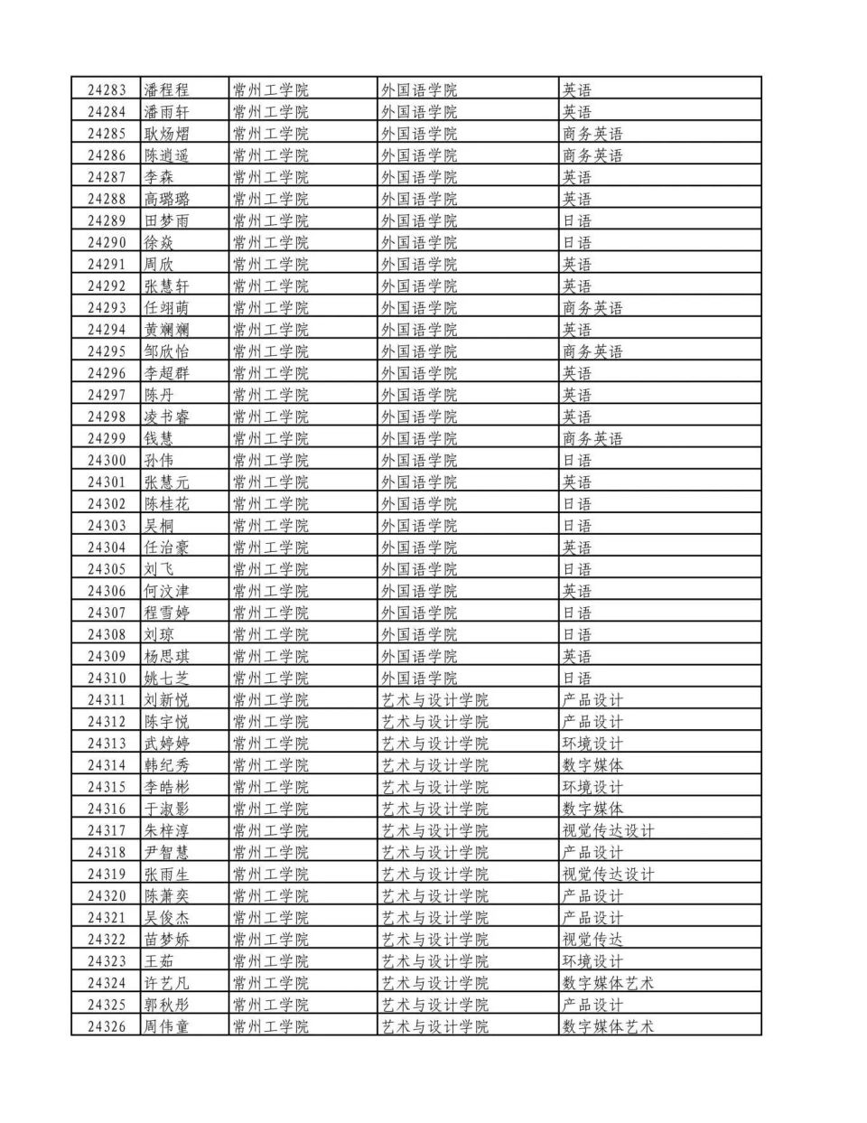
2024—2025学年江苏省本专科生

国家励志奖学金获奖名单

(常州部分)


图片图片图片图片图片图片图片图片图片图片图片图片图片图片图片图片图片图片图片图片图片

图片
图片

图片图片图片图片图片图片图片图片图片图片图片图片图片图片图片

图片
图片



图片

图片图片图片图片图片图片图片图片图片图片

图片
图片

图片图片图片图片图片图片图片图片图片图片图片图片图片图片

图片


图片图片图片图片图片图片图片图片图片图片图片图片图片图片图片图片图片图片图片图片图片图片图片图片图片图片图片图片图片图片

图片

图片图片图片图片图片图片图片图片图片图片


图片图片图片图片图片图片

图片

图片图片

图片



图片



(小观手动整理,如有遗漏欢迎补充~)


完整名单


源:江苏省教育厅网站

编辑:王李婧