好事变坏事?PD-L1高表达肺癌容易出现奥希替尼耐药,一线用奥希替尼的疾病进展或死亡风险增加两倍!

目前来说,EGFR基因突变的肺腺癌的一线标准治疗方案是奥希替尼为代表的三代靶向药。奥希替尼具有非常不错的入脑能力和疗效,很多患者通过确诊后的靶向药治疗措施获得了长期生存。


然而在临床的具体实践中,临床医生们观察到一个现象,并非所有EGFR突变肺腺癌患者都能从奥希替尼的治疗里获得长期的益处,有一部分患者很容易就发生了耐药。近期一项名为AURORA25的研究结合全球数据,指出了一个潜在的“风向标”,这个就是大家并不陌生的PD-L1表达水平。EGFR突变的肺腺癌患者如果PD-L1表达高则容易发生靶向药耐药!下面图示是本文的信息和内容出处。


图片

本文参考文献刊例示意图


一、奥希替尼的疗效存在差异


三代靶向药奥希替尼的成功是肺癌靶向治疗领域的里程碑。但是如上面所说奥希替尼治疗的获益时间患者存在差异。尽管中位无进展生存时间是18.9个月,但是有的患者往往是几个月就出现了耐药。可能很多患者或家属不会想到PD-L1表达,因为大家往往希望自己的PD-L1是高表达的。因为PD-L1高表达意味着使用免疫治疗效果会更好一些,或者是说使用免疫治疗起效的概率会更大一些。


在EGFR突变的肺癌患者中PD-L1表达的作用非常复杂。此前的一些研究发现当患者使用第一、二代靶向药时,如果肿瘤的PD-L1表达很高可能靶向药的疗效就比较差。对于奥希替尼为代表的三代靶向药来说,这个规律是否依然成立或者还只是一个猜想?由于此前的研究纳入的患者数量少,特别是PD-L1表达水平极高的患者非常少,所以结论并不能不明确或是说让人信服。为了解答这个问题AURORA25研究就出现了。


二、PD-L1表达越是高则奥希替尼疗效越差


这个代号为AURORA25的研究纳入了200多名肺腺癌患者,这些患者确诊病情之后首次使用的药物就是三代靶向药奥希替尼(一线治疗)。而且还创新性地合并了此前的多项类似研究的结果,进行了一次全面的汇总分析,这也使得研究的结论更加可靠。


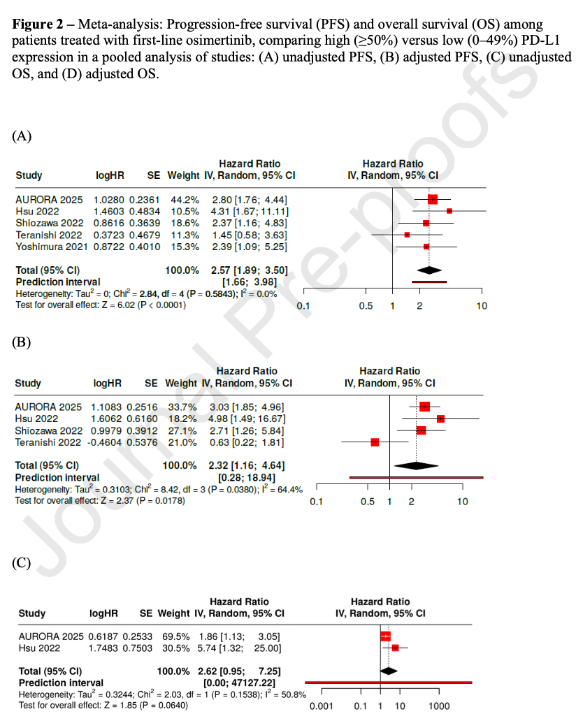
这个研究发现PD-L1的TPS评分≥50%(高表达)的肺腺癌患者,则患者使用奥希替尼的疾病进展风险会激增。也就是说研究给出了一个清晰的信号:PD-L1表达是影响三代靶向药奥希替尼疗效的一个负向预测因素


图片


我们看上面的图示,可以看出PD-L1高表达的患者使用奥希替尼的疾病控制时间大幅度缩短。在全部患者中奥希替尼的中位现实世界的无进展生存期(rwPFS)为24.8个月(比临床试验中的18.9个月还要好一些)。但当研究人员按PD-L1的表达水平进行分组后就发现了显著差异:PD-L1≥50%的患者中位无进展生存期仅为14.8个月;而PD-L1<50%的患者中位无进展生存期则达到了29.5个月。14.8个月和29.5个月相差了接近1倍了。


经过对年龄、脑转移等因素调整后,研究分析的结果显示,PD-L1≥50%的患者一线使用奥希替尼,其疾病进展风险是PD-L1<50%患者的3.03倍! 也就是说高PD-L1表达患者疾病进展的风险增加了两倍多。


尽管这个研究的总生存期数据尚不完全成熟,但趋势已经显现了。PD-L1高表达患者组(≥50%)的中位总生存期(40.4个月)低于PD-L1低表达组(57.0个月)。尤其当PD-L1表达水平提高到≥75%时,患者一线使用奥希替尼的死亡风险依然是低表达患者的两倍。


为了确保上面的这个结果不是偶然事件,研究者整合了全球的6项相关研究的数据,共涉及643名患者。这项汇总分析最终证实:对于PD-L1≥50%的患者,一线使用奥希替尼的疾病进展风险是低表达患者的2.32倍,死亡风险是2.38倍。 这一强有力的证据也就坐实了PD-L1对靶向药疗效的负面预后价值。


图片


三、这个发现对大家意味着什么?


几乎每周看最新发布的肿瘤相关文献,也写了这么多年的公众号文章,这个结论也是笔者的首次发现。在将这个文献编译写成稿件之前我跟大家的知识是一样的。PD-L1表达影响靶向药的治疗效果,这怎么能扯到一块去了?但是上面的研究数据我们还是要接受,因为肿瘤的治疗是循证医学。既然结论是这样的那就是看看给到我们什么样的启发。


1

PD-L1表达水平的检测价值提升

PD-L1表达水平的检测价值提升了,基于上面的研究结果,对于所有新确诊的EGFR突变晚期肺癌患者,建议在进行基因检测的同时也应进行PD-L1表达水平的检测。PD-L1表达不再是一个仅用于考虑免疫治疗的“可选指标”,而是可以评估奥希替尼等三代靶向药的潜在疗效、进行预后判断的重要参考。


2

识别出靶向药容易耐药的群体

识别出靶向药容易耐药的群体,这项研究最重要的意义在于帮助医生和患者识别出那些仅使用奥希替尼单药治疗可能效果会打折扣的人群,也就是PD-L1高表达(尤其是≥50%)的肺癌患者。


对于EGFR突变且PD-L1高表达的肺腺癌患者,在制定一线治疗方案时就不应该满足于奥希替尼单药治疗,而是可以考虑“强化治疗”。比如一线治疗使用奥希替尼联合化疗,或参加奥希替尼联合新型双抗药物的临床试验等等,虽然将靶向药与其他治疗联合有一些副作用,但如果能显著延长生存期也是值得的。如果您是EGFR基因突变且存在PD-L1高表达,也可以不着急用药治疗,可以联系癌度申请新药临床试验,最近一线抗体偶联药联合奥希替尼的临床试验可能就是为了应对本文的这些问题而设计的。


11月份福利

参考文献:

M. Alexander, M. Itchins, et al., Impact of PD-L1 on first-line osimertinib outcomes in EGFR-mutant NSCLC: real-world data from the AURORA25 study and meta-analysis, Lung Cancer (2025).