中科大爸爸:这套热门奥数教材真是混账书!

橘子:花友 @归巢鸟 是一名真“学霸”——高考以省十几名的成绩进入中科大,之后又去美国著名学府约翰·霍普金斯大学(John Hopkins)攻读应用数学专业的硕博学位。


他曾经在小花生社区发表过很多热门文章,讲娃的学习能力进阶,讲如何构建数学的整体思维……这次的文章,他准备吐槽一本销量一千多万的热门奥数教材。


图片

本文由@归巢鸟 发布于小花生App(花友阅读打卡和经验交流园地)


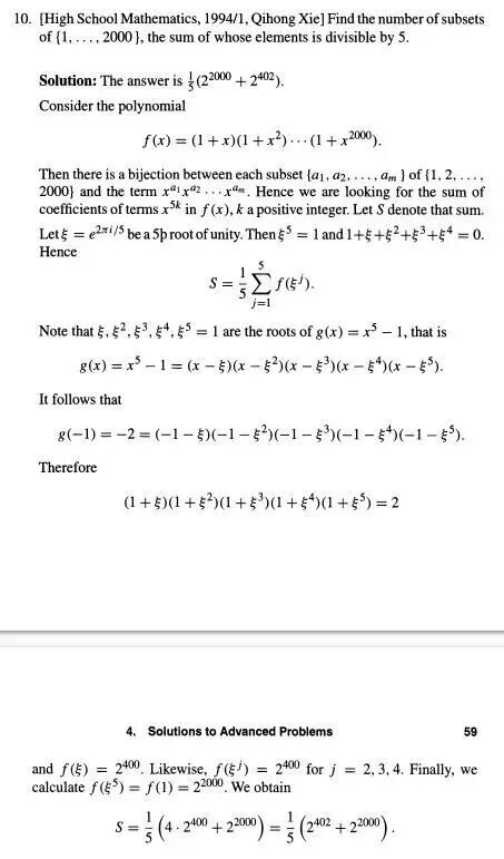
前几天在知乎刷到一道组合计数题:求集合 {1,2,…,2000} 中,元素和能被5整除的子集有多少个?


图片


熟悉竞赛的朋友知道,这道题的标准解法之一是用生成函数。看到评论区有些人的解答实在不清晰,又有人指出这道题它出自国外经典竞赛书《102 Combinatorial Problems》,我有这本书的电子版,翻出电子版一看,它给的答案,思路清晰得不像话(答案附在文末)


图片


这让我好奇:国内的奥数辅导书是怎么讲生成函数的?


正好手头有套俗称 “小蓝书” 的《数学奥林匹克小丛书》,翻到高中卷的组合数学章节,一看目录,也有母函数,但一看目录我就惊掉了下巴 —— 生成函数部分居然只有五六页!


图片


打开一看,开头半页介绍背景和常用公式,第二页就急吼吼开始做题,连个原理铺垫都没有👇。


图片









公式倒能看懂,但例题解法中的第二项就让人费解,不知怎么想出的技巧,既没说为什么这么想,也没讲背后的逻辑。


后面再几道题,然后第四题还是一道奥赛真题,例题就结束了,最后几道习题。


图片


这部分内容我忘得差不多了,但反复看这几页天书,还是没让我回忆起更多东西,而且我预期要搞懂这些东西,我自己得做大量研究推导,效果还未可知。我忿忿骂了一句:混账书!(最近火气比较大,见谅!) 


不是说我看不懂的书就是混账书,而是这本书就是故意让不懂的人继续看不懂甚至再也不想碰这些内容。要看懂这些内容,必须要查阅别的书籍,或者由会的人来讲解补充。


同样是讲生成函数,其他教材如何讲?


1、中科大教材:循序渐进,把逻辑说透


我翻开在大学用的组合数学课本,中科大的,其中一个编者是以前同实验室的老师,北大毕业的,教过我图论和这门组合数学课。 


图片

《组合数学引论》(孙淑玲、许胤龙著)


目录显示,生成函数这一章占五十多页,内容循序渐进,非常详实。


我粗翻了一下,发现内容编排特别合理:前面三小节讲生成函数的例子和数学原理,让你明白 “为什么能这么用”;到第四小节才开始出现递推数列通项求和,而且细致总结了通用步骤,分齐次、非齐次情况详细讨论。👇


图片

更贴心的是,该章内容探讨了前面几章的一些题目用生成函数如何求解,对比不同解法的优劣,对学生复习巩固加深理解非常有帮助。


图片
图片放大查看














习题由易到难,没有突兀的难题,以前我做完一遍习题,没有遇到什么阻碍,所有内容都消化得差不多了。


图片









现在我粗粗翻看十分钟,基本脉络也就全部清晰,细节虽然模糊,但很容易找到并理解。应该说这本书并不算写的很出彩很经典,但该有的内容逻辑清晰例子充分,大大减轻了学生负担。 


2、国外竞赛书:掰碎了教,让初学者能跟上


再回到前述那边国外竞赛辅导书,解题技巧里的组合部分。这本书,果然一如既往的老外风格,例子部分是把你当小学生来教的,理论部分没有中科大的详细,但对中学生更友好。


稍微翻翻,不到半小时就看完了,虽然有三十多页,但比蓝本四五页爽快多了。 


老外的书最大特点就是掰碎了喂。这里为了验证生成函数的正确性,一项项比较,把草稿纸上的和脑袋里想的,都写下来了👇


图片


大量简单例题,让每一步的学习台阶很小


图片


总体上难度不大,求解递推通项就是最复杂的了,难度略低是唯一缺点


图片

习题多且层层递进,出得很有水平


我手头还有一本老版的外文组合数学入门书,《Introductory Combinatorics》也一样,用生活化的例子讲生成函数原理,习题量大且梯度分明,从基础题到挑战题层层递进,能让你慢慢提升。


图片


内容比较浅显,但同样讲解细致,而且习题由易到难,梯度分明且量足。 


图片


同样把生成函数的原理掰碎了讲


图片


总体上也不难,偏原理介绍,习题异常丰富


图片


我为什么说 “小蓝书”是混账书


回头再看小蓝本。开头理论部分直接列定义,初学者也不知道怎么突然掉下这么个方法。例子中的技巧也不知怎么来的,每次技巧不一样,咋学?只能背技巧套公式。


图片


但竞赛题是活的,每次技巧不一样。后面的习题,很多又不能套例子中的技巧了,于是学生得傻眼,最后只能感叹数学纯靠天赋,技巧是我永远掌握不了的。


但是如果学生学国外竞赛那本,跟着它的例子独立思考,一步步下来,顺藤摸瓜,问题自然就弄明白了。即便还是很多难题不会做,至少也扎实掌握了一个新方法,并且大致知道来龙去脉。往远说,如果将来从事这方面的数学研究,他大概也会有些想法,往哪个方向继续深化发展生成函数。


我向来不愿以最大恶意揣度别人,但至少这本书的这一章,我得说:混账!


这是典型的防自学书籍,其目的就是让小地方的学生学不懂,而师资雄厚的高中名校有通晓大学知识的老师辅导,书的问题也就不是问题了,但这本书也就没有存在的必要了。这本书别的章节,这套书里别的书,不知道怎样,我也懒得看了,估摸也是一个德行。


我以前中学自学竞赛内容,多少也吃了这些亏。大部分书上来就是题目,直接给出标准答案,没有思考过程,也没有体系化的理论,结果学习效率低下,时间浪费很多。


其实当时还是有些好书的,只是我不知道。这次看到这本蓝皮书的内容,真是个活生生的反例。如果都是这种书拿来自学,赶紧把学生打晕了别学了。

真是误人子弟!!!


最后,附上开头那道题的答案:


图片

支持小花生持续分享真实教育好经验
不要忘记点赞、转发、收藏哦!