科研进展 | 打破玻色-费米二分法:科学家首次在实验室实现仲粒子振荡器

在量子物理的宏大图景中,粒子世界长期被玻色子和费米子两大阵营主导。玻色子遵循玻色-爱因斯坦统计,可不受限制地占据同一量子态,构成了激光、超流体等奇妙现象的基础;费米子则恪守泡利不相容原理,每个量子态最多容纳一个粒子,塑造了原子的壳层结构与固体的导电性。这一分类似乎是量子世界的基本法则,直到近70年前,理论物理学家提出了一种“跨界”粒子——仲粒子(para-particle),它们既非玻色子也非费米子,遵循着全新的统计规律。

半个多世纪以来,仲粒子始终停留在理论层面,从未在自然界中被发现,也未在实验室中被真正实现。然而,近期的一项突破性研究,终于打破了这一僵局。

11月24日,美国马里兰大学、美国洛斯阿拉莫斯国家实验室、墨西哥帕丘卡理工大学、美国杜克大学组成的团队在《Scientific reports》发表题为“Experimental realization of para-particle oscillators”(仲粒子振荡器的实验实现)的研究论文,C. Huerta Alderete为论文第一作者兼通讯作者。该研究利用被困离子系统,首次成功模拟了仲玻色子和仲费米子振荡器,实现了对仲粒子动力学的完全控制。这一成果不仅验证了理论预测,更为探索exotic量子现象开辟了全新的实验平台。

图片

仲粒子:量子世界的“第三类存在”

要理解仲粒子的特殊性,我们首先要回顾量子统计的基本框架。1924-1925年,玻色和爱因斯坦提出了玻色-爱因斯坦统计,适用于光子、胶子等自旋为整数的粒子;1926年,费米和狄拉克提出费米-狄拉克统计,适用于电子、质子等自旋为半整数的粒子。这两种统计规律构成了量子力学的核心基础,解释了从微观粒子行为到宏观物质特性的诸多现象。

但在1953年,物理学家H. S. Green提出了一个大胆的设想:是否存在一种更广义的量子统计,玻色统计和费米统计只是其中的特殊情况?基于这一思路,仲粒子的概念应运而生。仲粒子分为两类——仲玻色子和仲费米子,它们由一个关键参数“仲量子化阶数”(p≥1)定义。当p=1时,仲玻色子就退化为普通玻色子,仲费米子退化为普通费米子;而当p>1时,它们展现出完全不同的量子特性。

仲玻色子具有整数自旋和无限维的希尔伯特空间表示,这意味着它们的量子态可以无限叠加;仲费米子则具有半整数自旋和有限维希尔伯特空间,其量子态数量被限制在p+1个。理论上,仲粒子可以解释许多常规粒子无法解释的现象:它们曾被提议作为暗物质/暗能量的候选者,用于描述固体中的激发态,甚至在色模型提出前,夸克曾被认为是p=3的仲费米子。

图片

图:仲粒子态的梯子结构

尽管理论前景广阔,但仲粒子的实验探索却屡屡受挫。1969年,物理学家J. B. Hartle和J. R. Taylor证明,通过常规测量无法区分仲粒子与普通粒子的集合,这使得自然界中的仲粒子难以被识别。此后,仲粒子研究一度陷入纯理论阶段,直到量子模拟技术的兴起,才为其提供了新的突破口既然无法在自然界中寻找,或许可以在实验室中“创造”出模拟仲粒子行为的量子系统。

图片

理论突破:用自旋-玻色子系统“复刻”仲粒子

要在实验室中模拟仲粒子,核心挑战在于实现其独特的代数结构。仲粒子的本质特征由三线性对易关系决定,这一关系控制着粒子的产生、湮灭过程,进而塑造了它们的统计行为。常规量子系统并不天然具备这种关系,因此需要通过人工设计的相互作用来构建。

2017-2018年,该研究团队的核心成员在理论上提出了关键方案:利用自旋-1/2系统与两个玻色模式的耦合,通过组合杰恩斯-卡明斯相互作用和反杰恩斯-卡明斯相互作用,可以构建出等效的仲粒子算符。这一理论框架的核心是“宇称形变表示”,它能让常规量子系统满足仲粒子的三线性对易关系,从而模拟出仲粒子的动力学特性。

简单来说,研究团队将仲粒子的“升降算符”(控制粒子激发和退激的核心算符)分解为自旋算符和声子算符的组合:仲费米子的算符由离子的自旋升降算符与两个振动模式的声子湮灭/产生算符组合而成,仲玻色子的算符则通过类似的组合但改变符号实现。这种分解的巧妙之处在于,它将抽象的仲粒子特性转化为可实验操控的物理量——离子的自旋状态和声子数(振动模式的能量量子数)。

此外,仲粒子的阶数p由系统的“真空态”(能量最低的量子态)定义。对于偶数阶仲费米子,真空态由特定的自旋状态和固定的声子数构成,其希尔伯特空间维度为p+1;对于偶数阶仲玻色子,真空态有两种可能的形式,每种都能生成无限维的量子态阶梯。这一设计使得研究团队可以通过制备不同的初始真空态,灵活调控模拟的仲粒子阶数。

图片

实验方案:被困离子——理想的量子模拟平台

要实现上述理论设计,需要一个高度可控的量子系统。研究团队选择了被困离子系统,这一平台在量子模拟领域被誉为“黄金标准”,其优势在于:自旋状态和声子模式的操控精度极高,相互作用可精确定制,且能实现高保真度的状态制备与测量。

实验的核心系统是单个171Yb+离子,被囚禁在线性保罗阱中。这个离子具有两个关键的物理自由度:一是自旋-1/2系统,编码在其超精细能级中(|↓⟩和|↑⟩两个状态),频率差高达12.64GHz,对磁场波动不敏感,保证了自旋状态的稳定性;二是两个正交的横向振动模式(x和y方向),其频率分别为3.05MHz和2.88MHz,这两个模式作为模拟所需的玻色自由度,声子数(振动能量量子数)可精确调控。

整个实验过程分为三个关键步骤:状态制备、相互作用驱动、状态测量

图片

图:实验方案

(一)状态制备

实验首先通过多普勒冷却和拉曼边带冷却,将离子的两个振动模式冷却至接近基态(声子数≈0),同时通过光泵浦将自旋初始化到|↓⟩态。随后,研究团队通过一系列精准的激光脉冲(蓝边带、红边带和载波π脉冲),制备出特定的初始真空态。例如,模拟p=2的仲费米子时,初始真空态为|↓,0,1⟩(自旋为|↓⟩,x模式声子数为0,y模式声子数为1);模拟p=2的仲玻色子时,初始真空态为|↓,0,0⟩。这些初始态的选择直接决定了模拟的仲粒子阶数,是实验成功的基础。

(二)相互作用驱动

为了实现仲粒子的动力学,研究团队需要同时驱动两个振动模式与自旋的耦合。对于仲费米子,通过同时驱动x和y模式的红边带(JC相互作用),实现了仲费米子算符的等效作用;对于仲玻色子,则通过驱动x模式的蓝边带(反JC相互作用)和y模式的红边带(JC相互作用),构建出仲玻色子的耦合形式。

这里的关键技术是“双色激光束”的精准操控:激光的失谐量、强度和相位被精确控制,确保两个振动模式与自旋的耦合强度相等,从而满足仲粒子算符的对称性要求。实验在Lamb-Dicke regime下进行,这一条件保证了激光与离子振动的耦合是线性的,避免了复杂的高阶效应,同时通过旋转波近似忽略了快速振荡的非共振项,简化了相互作用形式。

(三)状态测量

实验测量的核心物理量是自旋极化率和声子数平均值,这些量可以通过特定的公式转换为仲粒子数算符的期望值,直接反映仲粒子的动力学特性。

自旋状态的测量通过状态依赖荧光检测实现:当自旋处于|↑⟩态时,离子会吸收特定频率的激光并发出荧光;处于|↓⟩态时则不会,通过探测荧光强度可确定自旋的布居数。声子数的测量则更为巧妙:首先通过光泵浦将自旋重置为|↓⟩态(不影响振动模式的声子分布),然后施加不同时长的蓝边带脉冲,使自旋状态与声子数耦合,通过测量自旋布居数随脉冲时长的振荡(拉比振荡),拟合出声子数的分布。每个数据点都通过300次实验重复平均得到,以降低统计误差。

图片

实验结果:粒子的独特动力学首次显现

通过上述实验方案,研究团队成功模拟了偶数阶仲费米子和仲玻色子的振荡器,观察到了与理论预测完全一致的动力学行为,验证了实验的成功。

(一)仲费米子:有限空间中的振荡行为

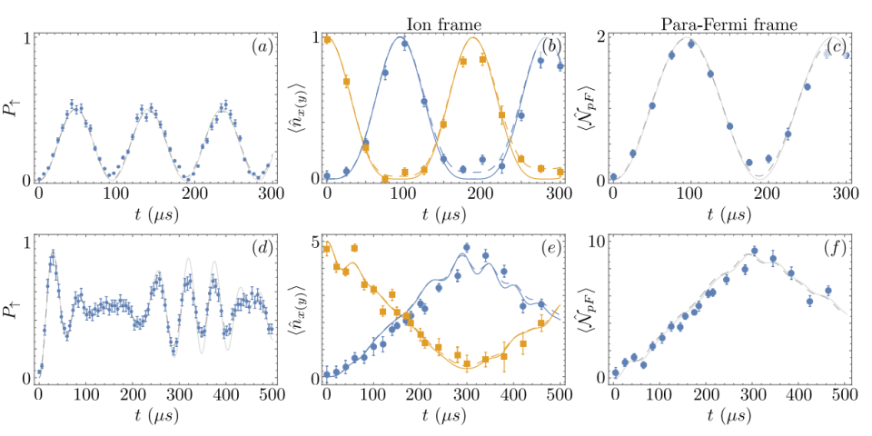
仲费米子的核心特性是有限维希尔伯特空间,这导致其动力学呈现出有界的振荡行为。研究团队首先模拟了p=2的仲费米子,初始真空态为|↓,0,1⟩。实验观察到,自旋布居数(P_↑)以0.5的振幅周期性振荡,x模式和y模式的声子数则呈现出互补的交换行为。当x模式声子数增加时,y模式声子数减少,反之亦然。经过一个完整的自旋振荡周期后,y模式的声子数会相干地转移到x模式,这正是仲费米子数算符的振荡特性的直接体现。

为了验证阶数p对动力学的影响,研究团队还模拟了p=10的仲费米子(初始真空态为|↓,0,5⟩)。此时,系统的希尔伯特空间维度达到11(p+1=11),动力学变得更为复杂:自旋振荡出现了“崩塌-部分复苏”的现象,声子数的交换也呈现出多频率的拍频特性。这一现象源于多个激发路径之间的干涉,是高维希尔伯特空间中仲粒子的典型行为,也首次实验证实了理论预言的“广义二项式态”的相干演化。

图片

图:仲费米子动力学

实验数据与数值模拟(考虑了振动加热的影响)高度吻合,误差主要来自激光强度的微小波动和离子阱的射频驱动不稳定性,但整体影响较小,尤其是在短时间演化内,动力学行为几乎完全符合理论预测。

(二)仲玻色子:无限空间中的单调增长

与仲费米子不同,仲玻色子具有无限维希尔伯特空间,其动力学呈现出无界的激发增长。研究团队模拟了p=2的仲玻色子,初始真空态为|↓,0,0⟩。实验观察到,自旋布居数呈现阻尼振荡并逐渐趋于稳定,而x和y模式的声子数则持续单调增长——这是因为仲玻色子可以不断吸收能量,沿着无限的福克态阶梯向上激发,没有维度限制。

图片

图:仲玻色子动力学

仲玻色子的模拟对驱动场的各向异性更为敏感,研究团队通过校准红边带和蓝边带的拉比频率,确定了动力学的上下边界,实验数据恰好落在这一范围内,进一步验证了模拟的准确性。值得注意的是,仲玻色子的激发态具有独特的非经典特性,其统计行为(亚泊松分布或超泊松分布)可以通过驱动场的拉比频率和仲粒子阶数调控,这为量子光学领域的非经典光制备提供了新的思路。

图片

研究成果:量子模拟的里程碑与未来展望

这项研究的核心成果的是首次在任何物理系统中实现了仲粒子振荡器的实验模拟,完成了从理论到实验的跨越。在此之前,仲粒子的动力学仅存在于理论推导中,没有任何实验证据支持;而该研究通过被困离子系统,不仅再现了仲费米子的有限维振荡动力学和仲玻色子的无限维增长动力学,还实现了对仲粒子阶数的灵活调控,证明了人类对这类exotic量子系统的完全控制。

这一成果的意义远超实验本身,它为量子物理的研究打开了多个新方向:

首先,它验证了“宇称形变表示”这一理论框架的有效性,为后续仲粒子相关的理论研究提供了实验支撑。长期以来,仲粒子的代数结构是否能在物理系统中实现一直存在争议,而该实验的成功证明了这一理论的可行性,为更多exotic量子代数的实验实现提供了范例。

其次,它拓展了量子模拟的应用范围。被困离子系统此前已被用于模拟自旋链、量子相变等现象,而该研究将其应用于“统计规律超越玻色-费米二分法”的量子系统,展示了量子模拟在探索未知量子现象方面的强大能力。未来,通过增加离子数量或振动模式,有望实现多体仲粒子系统的模拟,研究仲粒子之间的相互作用及其形成的exotic量子相(如拓扑相)。

此外,该研究还为量子技术的发展提供了新的灵感。仲粒子的非经典特性可能被用于制备新型量子态,应用于量子通信或量子计算;其独特的频率转换特性也可能在非线性量子光学领域找到应用,例如实现高效的多频率光转换。

展望未来,研究团队计划进一步拓展实验规模,模拟更高阶的仲粒子系统,并探索仲粒子与其他exotic量子系统的耦合(如拓扑超导系统)。同时,他们也希望将这一平台用于检验更多基础物理问题,例如仲粒子在引力场中的行为、仲统计与量子引力的关联等。

1953年仲粒子的理论提出,到2025年实验实现,这一跨越70余年的探索历程,彰显了基础科学研究的坚韧与魅力。它再次证明,量子世界的边界远未被穷尽,那些看似“不存在”于自然界的exotic粒子,或许能通过人类的智慧在实验室中“诞生”,并为我们揭示宇宙的深层规律。对于量子领域的研究者而言,仲粒子振荡器的实现,不仅是一个里程碑,更是一个全新的起点——一个探索玻色-费米二分法之外未知世界的起点。

参考链接

https://www.nature.com/articles/s41598-025-25271-2

图片