全球糖尿病报告出炉:5.6亿糖尿病患者,近一半“蒙在鼓里”,仅1/5管好了血糖!

糖尿病作为一种慢性代谢性疾病,全球患者数量在2023年已高达5.61亿,预计到2050年将突破13亿。糖尿病患者及时诊断、治疗并终身管理至关重要,可以预防致残性微血管并发症,如肾病、足部溃疡、下肢截肢和视力丧失,并降低罹患心血管疾病的风险。


每年11月14日是世界糖尿病日,值此之际,本期《柳叶刀-糖尿病与内分泌学》发表一项重要研究,系统描绘了2000年-2023年间全球糖尿病诊疗图景。这项由华盛顿大学健康指标与评估研究所(Institute for Health Metrics and Evaluation, University of Washington)领衔的研究,基于全球疾病负担(GDB)数据,揭示了糖尿病在诊断、治疗和血糖达标这一“诊疗级联”管理中尚存在的严峻缺口。


图片

截图来源:The Lancet Diabetes & Endocrinology


仅半患者获诊断,治疗普及但控糖效果不佳


研究显示,2023年全球15岁及以上糖尿病患者中,仅有55.8%(3.13亿)被诊断。这意味着,近一半的患者(2.48亿)对病情一无所知。

糖尿病定义为:个人自述目前正在接受降糖治疗,或空腹血糖(FPG)≥7 mmol/L,或糖化血红蛋白(HbA1c)≥6.5%


尽管在已诊断的患者中,治疗覆盖率高达91.4%(2.86亿),但接受治疗人群中真正实现血糖达标控制的患者比例仅为41.6%(1.19亿)若以全体糖尿病患者为基数,血糖达标控制的患者比例更是降至21.2%,即每五位患者中仅约有一人血糖达标。

血糖控制达标定义为:FPG<7.2 mmol/L


在进一步的敏感性分析中,研究团队采用FPG 8.6 mmol/L为最佳血糖阈值,则接受治疗的患者中血糖控制理想的比例在全球范围内提高至59.2%。


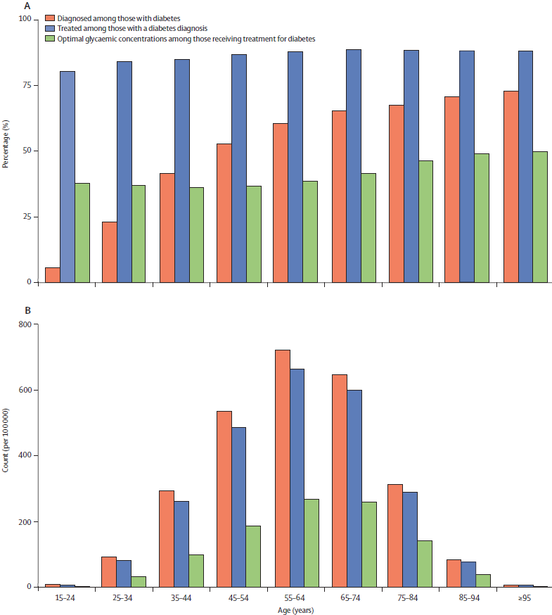
关注中青年人群及时诊断


从性别来看,男性和女性诊断患者中的治疗率和血糖达标率相似,但男性诊断率明显低于女性(51.8% vs 59.8%)。


年龄也是一个关键因素。糖尿病患者的诊断率随年龄增长而显著增加。年轻成人的糖尿病诊断率最低。然而,由于中年人群糖尿病患病率更高,未诊断患者的绝对数量在中年人群中达到峰值。这一发现提示,加强对中青年人群的早期筛查尤为迫切。


论文指出,相比晚年发病,40岁以下人群罹患2型糖尿病后并发症风险更高,部分原因是糖尿病病程更长,β细胞功能下降更快。2022年,美国糖尿病协会(ADA)已建议糖尿病筛查起始年龄从45岁降低至35岁,无论体重和风险因素如何。


所有年龄组中已诊断糖尿病患者的治疗率均较高。接受治疗的患者中,血糖控制达标率也随年龄增长而增加,但增幅明显小于诊断率。


图片

2023年全球不同年龄段糖尿病患者实现确诊(红色)、确诊患者实现治疗(蓝色)、治疗患者实现血糖达标(绿色)的比例 (A) 和数量 (B)(图片来源:参考资料[1])


20多年来,控糖改善滞后


从2000年到2023年,全球在糖尿病诊断率和已诊断人群的治疗覆盖率上分别提高了8.3%(47.5%到55.8%)和7.2%(84.2%到91.4%),但治疗人群中的血糖控制率仅提升1.3%(40.3%到41.6%)。


这表明,尽管更高比例的患者得到诊断并开始用药,血糖管理的质量并未同步提升。在创新疗法不断涌现的情况下,药物和医疗资源可及性、患者依从性等问题仍是实现有效控糖的重要挑战。


此外,随着糖尿病患病率增长,已患病但未被诊断的绝对人数还增加了73.1%(1.43亿到2.48亿)。


研究团队还警示,超重和肥胖的患病率在过去几十年中迅速增加,以目前的趋势发展,估计到2050年将有近三分之二的成年人超重或肥胖,这可能会进一步阻碍有效的血糖控制。


图片

图片来源:123RF


在世界糖尿病日这一节点,这项研究提醒我们:我们熟知的糖尿病仍在构成日益严重的健康威胁,医学界仍需不断提升筛查和诊断率,关注个体化治疗方案和长期血糖管理,及时发现患者并充分控制血糖水平。


题图来源:123RF

参考资料

[1] Lauryn K Stafford, et al., (2025). Global, regional, and national cascades of diabetes care, 2000–23: a systematic review and modelling analysis using findings from the Global Burden of Disease StudyThe Lancet Diabetes & Endocrinology, DOI: 10.1016/S2213-8587(25)00217-7


免责声明:本文仅作信息交流之目的,文中观点不代表药明康德立场,亦不代表药明康德支持或反对文中观点。本文也不是治疗方案推荐。如需获得治疗方案指导,请前往正规医院就诊。


版权说明:欢迎个人转发至朋友圈,谢绝媒体或机构未经授权以任何形式转载至其他平台。转载授权请在「医学新视点」微信公众号留言联系。

如有其他合作需求,请联系wuxi_media@wuxiapptec.com


分享在看,传递医学新知