ESI驱动的跨数据集导联对齐以增强运动解码

当前脑机接口(Brain–Computer Interface, BCI)系统在应用中往往受到脑电(EEG)数据量不足的困扰,限制了数据驱动型解码算法的性能提升。尽管公开数据集可作为潜在补充,但由于外部数据在实验范式、电极数量及布局等方面存在明显差异,这些数据难以直接用于现有解码模型的训练。针对上述问题,本文提出一种基于脑电源成像(Electroencephalogram Source Imaging, ESI)的电极布局对齐的算法——E-MAP(ESI-based Montage Alignment Project algorithm)。该方法可将外部数据集映射至统一的标准电极布局,充分利用具有相似实验范式的外部数据以扩大训练数据规模。在此基础上,本文验证了包含外部数据集预训练、目标数据集适配及被试个性化微调的“两阶段迁移学习”框架。在多个公开数据集的实验结果表明,采用该框架的五种典型脑电解码算法均获得了显著的分类准确率提升。这些结果说明了通过E-MAP利用外部数据集,缓解脑电数据不足的局限性,以提高解码器的准确率。

图片

01

研究背景及主要内容


非侵入式脑电信号因其安全性与易用性被广泛应用,其中运动想象是最常见的范式之一。然而,在实际应用中,单个数据集的样本规模往往有限,且不同数据集之间在实验范式、电极数量及电极布局上也存在一定差异。这些因素使得传统深度学习解码器难以直接整合外部数据进行联合训练,从而影响模型的识别准确率。

图片

图1跨数据集训练中存在的问题


现有研究中,跨数据集脑电对齐通常采用通道交集、空间插值或基于独立编码器的特征映射等策略。然而,通道交集方法往往舍弃部分电极通道,导致空间分辨率降低;空间插值依赖近似计算,可能引入噪声与偏差;多编码器结构虽然能够适配异构输入,但会显著增加模型复杂度,并对训练数据量提出更高要求。此外,这些方法普遍难以显式保留源级生理信息,跨数据集迁移效果仍受限制。

为解决上述问题,本文提出一种基于脑电源成像的电极布局对齐算法。该方法利用人脑MRI数据构建头部解剖模型,并结合电场传播的物理约束,建立头皮电极电位与大脑皮层偶极子活动之间的数学映射关系。在此基础上,算法通过逆向求解将不同数据集的头皮电位反演到皮层偶极子源空间,获得能够反映脑活动本质的统一源级表示。随后,再基于目标数据集的电极布局,从源空间执行正向映射,将皮层偶极子活动投影回目标电极布局,从而生成统一布局的脑电数据,实现跨数据集的电极布局对齐与统一。

在完成电极布局标准化后,本文进一步构建了“两阶段迁移学习”框架,以提升解码模型在拓展数据集与目标被试上的适配能力。该框架首先利用经 E-MAP 对齐后的外部数据集对解码网络进行预训练,以充分学习跨个体、跨数据集的共享运动想象表征;随后,在目标数据集上执行逐步微调,使网络参数适应特定采集条件与信号分布;最后,使用目标被试的少量样本进行个性化再微调,以进一步缓解个体差异对模型性能的影响。

图片

图2 E-MAP方案和“二阶段迁移学习”框架


为验证本文所提出的方法和框架的可行性与通用性,本文选取多组公开 EEG 数据集,并在多种典型深度学习模型架构下进行了系统对比实验。同时,通过特征可分性分析与可视化手段,对统一布局后特征的判别能力进行了定量验证。

02

研究结果


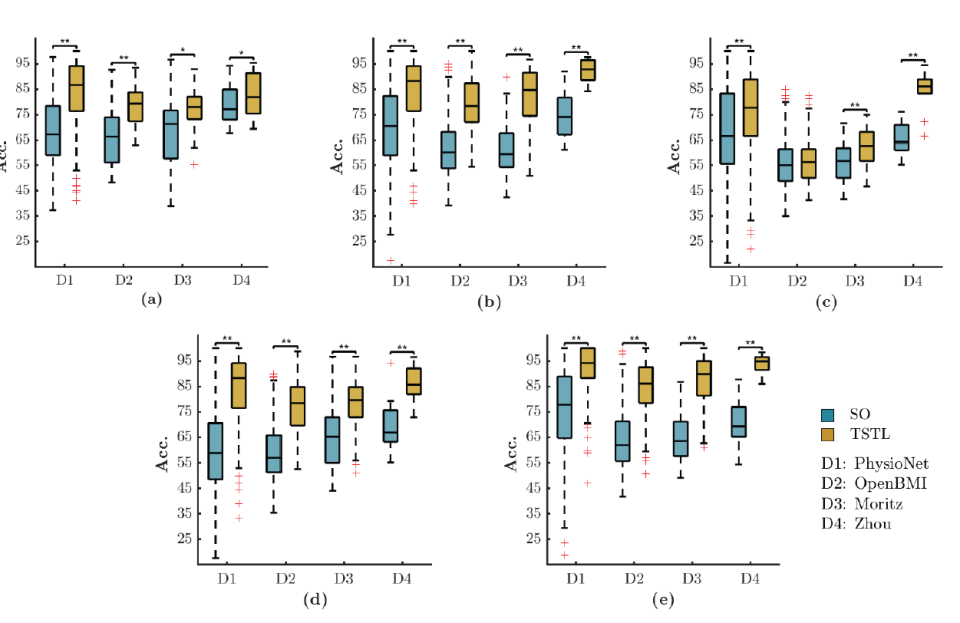
实验结果表明,基于 E-MAP 标准化后的跨数据集训练方案能够在多个公开 EEG 数据集中显著提升运动想象解码性能。如表所示,在 PhysioNet、OpenBMI、Moritz以及 Zhou 四个常见的公共数据集上,采用“两阶段迁移学习”策略(TSTL)在准确率、精确率和召回率上均取得最高表现,相比SO(仅使用单一被试数据预训练)获得 15% 以上的平均准确率增益。相比其他迁移方案TTL(仅使用单一数据集预训练)、ETL(仅使用外部数据集预训练)、OSTL(所有数据集预训练),TSTL 在四个数据集上均实现稳定且领先的指标,展现出更强的跨被试泛化能力。整体而言,多模型、多数据集验证结果充分证明了所提出的电极布局对齐和层级式迁移策略在缓解个体差异和提升跨数据集解码性能方面的有效性与通用性。

图片

图3 SO与TSTL框架在公开数据上的准确率


表1各框架在公开数据集上的分类准确率对比

图片

03

研究贡献和前景


本研究提出了基于脑电源成像的电极布局对齐方法与“两阶段迁移学习”框架,突破了跨数据集电极异构和样本规模有限带来的性能瓶颈,为构建更稳定性的运动想象解码模型提供了有效路径。通过在统一布局下整合多源脑电数据,并结合层级式参数适配策略,显著提升了跨被试的识别准确率与特征可分性。研究成果为跨数据集脑机接口系统的训练范式提供了新的技术思路,为高可靠性、可扩展的脑机解码应用奠定了方法基础。

论文链接:

https://ieeexplore.ieee.org/abstract/document/11218006


仅用于学术分享,若侵权请留言,即时删侵!