AI百科全书新思路:科学家用第一性原理重构知识体系

无论是渴望洞悉前沿科技的爱好者,困惑于理论与应用脱节的学生,还是探寻长尾知识的科研工作者,都日益感受到一个共同的困境:在信息洪流中,要找到系统、可靠且深入浅出的中文知识解读,正变得愈发艰难。

大模型看似提供了捷径,但其固有的“幻觉”与内容的碎片化,使其难以成为可供信赖与沉淀的知识基石。正因如此,系统性地构建一套高质量的 AI 时代中文科学百科全书——致力于打通领域知识壁垒、将高深科学通俗化、并有效覆盖被忽略的长尾领域——已是当务之急,更是时代所需。

就在不久前,马斯克号称要用其 AI 百科 Grokipedia 挑战维基百科。实际上,在马斯克提出 Grokipedia 概念之前的一个月,有一支由高校和企业组成的中国团队已经意识到了构建 AI 时代的百科全书的重要性,并打造了科学百科 SciencePedia,但其核心思路与前者存在本质不同,旨在突破人类知识的瓶颈。

该团队构建了一个相对可靠和全面的基础科学知识库,该知识库创新性的利用大语言模型的长思维链(LCoT,Long Chain-of-Thought)的推理能力,从第一性原理出发,系统地推演了基础科学的知识体系,从而形成了一个以 LCoT 为主体的新型语料库,奠定了系统生成科学百科全书的基础。

该团队表示,通过此前的统计物理的理论研究,大语言模型通过强化学习获得的 LCoT 的能力是涌现出来的。通过系统的制备 LCoT 的语料库,试图弥补互联网语料重结果而轻推理步骤的不足。

“经校验的 LCoT 语料不仅在大幅减少了 AI 的幻觉问题,还极大地提升了推理语料的丰富程度。”该论文共同通讯作者、中国科学院理论物理研究所陈锟副研究员对 DeepTech 表示。

图片图丨从左至右分别是:李钰、黄远、张林峰、么志远、陈锟(来源:陈锟)

据介绍,目前 SciencePedia 包含约 20 万个细粒度的条目,涵盖了包括数学、物理、化学、生物、工程、计算科学与天文七大领域的客观知识,已构建 300 万条科学推理网络思维链并提供了超过 10 万的练习题。

在底层 LCoT 知识库的支持下,SciencePedia 正试图不仅可查到知识的“终点”,也能探索知识形成的“路径”,为科学研究、教育和跨学科创新提供了一种新的工具。

如果说传统知识系统提供的是一个点,那么,LCoT 知识库是将这些点串联起来的“网”。更重要的是,它揭示了很多知识点在跨学科之间的潜在联系。在此基础上,除了构建学习工具帮助用户学习复杂的概念、推荐最优学习方案之外,还可以成为探索跨领域研究方向的探索引擎。项目团队认为,AI 生成 SciencePedia 有望高效解决百科全书构建的“冷启动”难题,为进一步的开放的社区共建与人机协同提供基础。

图片(来源:https://sciencepedia.bohrium.com/)

相关论文以《基于可验证长链条思维的逆向知识搜索:构建跨领域科学百科全书》(Inverse Knowledge Search over Verifiable Long Chain of Thoughts: Building a Cross-Domain Scientific Encyclopedia)为题发表在预印本网站 arXiv[1]。

联合团队来自于中国科学院理论物理研究所、深势科技、兰州大学、北京科学智能研究院、上海交通大学北京大学等单位。兰州大学与中国科学院理论物理研究所联合培养博士生李钰和深势科技资深 AI 算法研究员黄远是共同第一作者;深势科技创始人兼首席科学家张林峰、兰州大学么志远青年研究员和中国科学院理论物理研究所陈锟副研究员担任共同通讯作者。

图片图丨相关论文(来源:arXiv)

能追溯、能验证的第一性原理科学知识库:“知其然知其所以然”

如何广泛覆盖长尾知识、保证高质量的内容同时揭示学科之间的交叉是 SciencePedia 的三大技术难点。这项研究的核心价值是通过基于还原论的推理方法,从头构建一套基于 LCoT 语料科学知识库;在此基础上构建的 SciencePedia 便能同时克服上述难点。

与传统的论文库或教科书知识的不同在于,SciencePedia 所基于的知识库在形式上更像一套由科学知识的问答对构成的《十万个为什么》。其构建的基本思路是使用“苏格拉底诘问法”对一系列的科学知识点做“打破砂锅问到底”的质问,从而将高层次知识点解构成更加底层的知识点。这就是科学上著名的第一性原理方法,对应了“还原论”的科学方法论。

为通过这一方法系统的制备 LCoT 知识库,研究团队设计了一套由“苏格拉底问答智能体”驱动的自动化流程,它基于约 200 门学科课程,生成了近 300 万个高质量的科学问题的问答对。每个问题都是通过多个独立的大模型分别生成详细的 LCoT,再经过严格的答案交叉验证筛选过程,最终只保留可被验证的内容,进而形成一个覆盖了七大学科领域的可验证的科学知识库。

图片图丨问题生成与交叉验证的三阶段流程(来源:arXiv)

在此基础上,团队还开发了名为头脑风暴搜索引擎(Brainstorm)的新型工具,实现了逆向知识搜索:用户输入一个概念,引擎将返回所有以输入概念为终点的、来自不同学科的第一性原理推导路径。这些路径不仅揭示了概念的来源,更展现了其在不同领域中的交叉应用。

传统的知识体系检索体系(例如基于谷歌搜索的信息获取方式)搜索的是人类语料。由于人类语料本身存在重结论而轻过程的问题,它的搜索结果也主要是关于知识点本身,而缺乏知识点之间关联的信息。

而作为基于 LCoT 语料库的搜索引擎,头脑风暴搜索引擎尝试通过查询引用到知识点的 LCoT,来探索与其他知识点长程关联的搜索,成为一个领域交叉应用的发现引擎。

图片图丨头脑风暴搜索引擎与柏拉图写作智能体架构(来源:arXiv)

SciencePedia 的知识点文本,正是通过头脑风暴搜索引擎通过发掘知识点之间的跨领域关联而构建起来的。为了让高深的科学概念传递给更多的读者,研究人员还在输出层构建了“柏拉图写作智能体”,并将写作风格设置为贴近生活的的费曼风格的高级科普模式,这样就可以把头脑风暴搜索引擎找到的抽象难懂的推理链,改写为通俗易懂且可信度高的科学文章。

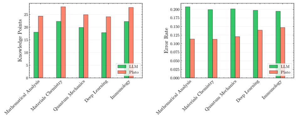
图片图丨左右图分别是知识点密度和事实错误率的比较(来源:arXiv)

据团队介绍,由于“柏拉图写作智能体”基于 LCoT 知识库与头脑风暴搜索引擎进行写作,它在发散思维的同时还致力于减少 AI 的幻觉问题。相比于大模型直接写作,“柏拉图”创作的文本相对大幅度地提升了知识点密度和事实准确性方面表现,有助于提高科学知识的传播质量。

得益于上述底层原理的创新,SciencePedia 覆盖了七大科学领域中的近 20 万不同粒度的知识点,初步实现了中英双语与长尾知识点的较均衡覆盖。这一点对于科学内容稀缺的中文互联网社区具有重要的意义。

需要了解的是,维基百科的中文词条比英文词条少两个数量级,并且质量严重劣化。而在科学前沿领域,词条知识多为长尾,由于人类专家精力有限,即使对于英文词条亦难保证质量与数量。

陈锟指出,“尽管 SciencePedia 还没有覆盖社会学、历史等科目,词条总量不如维基百科,但在科学领域范围,我们的词条覆盖了维基百科缺乏的很多长尾知识。即使是一些小众知识点,也能提供较为丰富和高质量的文本。典型例子是 SciencePedia 对 Transmon 等部分前沿概念提供了比维基百科更详尽的信息。此外,中文维基远不及英文版,但我们的 SciencePedia 力求做到中英文质量一致。”

值得关注的是,SciencePedia 据称并未借助人类语料从头构建。相比于马斯克的 Grokipedia 因抄袭维基百科所涉及的版权问题,SciencePedia 在设计方面有助于规避部分潜在的类似问题。

突破人类语料压缩推理局限,架起知识点之间的“桥梁”

SciencePedia 除了贡献了相对高质量的词条之外,还通过头脑风暴搜索引擎批量挖掘出了大量人类互联网此前没能覆盖的学科交叉知识。

由于人类专家精力的限制,包括论文、维基百科、教科书和互联网数据等在内人类语料普遍重结果而轻过程。因此这些语料中的现有知识体系更像是一座座“孤岛”。知识岛之间至关重要的“桥梁”,也就是知识点之间的逻辑推理过程被显著压缩了,成为了无法被谷歌等传统搜索引擎发现的知识“暗物质”。

因此,传统的搜索引擎传统只会告诉你知识“是什么”,而对于“为什么”、知识“由何而来”,以及在“哪里有用”等问题提供的信息往往有限。这些知识间桥梁的缺失,导致了现有人类知识语料固有的局限性:知识点难验证、难理解、难交叉。

如果人类语料中的知识“桥梁”如此匮乏,那么基于人类知识训练的大模型是否也对此无能为力呢?

此前,研究团队对于大模型中长思维链推理能力的本质做了系列研究,提出大模型通过强化学习突破人类语料限制的核心机理:通过构建最小复杂网络模型 CoNet,并与模型的强化学习训练进行对比研究。

研究团队认为,通过强化学习诱导的相变物理,大模型长推理涌现出长程关联,正好提供了将一座知识“岛”与另一座知识“岛”连接的“桥梁”(DeepTech 此前报道:大模型深度思考竟与物理相变“异曲同工”:科学家揭示“临界学习”奥秘,助力 80 亿参数模型攻克量子场论核心计算)[3]。因此,在强化学习后训练之后的新一代大模型,有潜力突破人类语料在推理链上的局限。

图片(来源:https://www.bohrium.com/sciencepedia/Backpropagation_Algorithm/677409?keyword=反向传播算法)

下面我们通过从蓝天联系到量子力学的例子,来说明知识点之间“桥梁”连接的重要性。

“天空是蓝色的”形成的原因在于电子和光子的相互作用时散射最强,对于空气分子来说,散射最强的是紫色部分。但由于太阳光中蓝光的能量比紫光强,并且人眼对蓝光更敏感,因此我们看到的天空是蓝色。

那它和量子力学有什么关系呢?其推理过程中散射最强的是蓝色,正是百年前经典物理的“两朵乌云”之一的紫外发散难题。这一朵乌云最终诞生了量子力学。由于其中的技术细节繁杂,人类语料很难展开所有的细节,导致类似的推理过程的语料非常欠缺。让这些关键的桥梁编程了知识的“暗物质”。

陈锟表示:“从蓝天联想到量子力学是非常有意义的知识,如果我们只了解结论而摒弃推理过程,相当于拆掉了知识点之间的‘桥梁’,丢失了知识之间的关联信息。”

据了解,SciencePedia 通过构造底层 LCoT 知识库很大程度上解压缩了人类的科学知识库。进一步地,通过头脑风暴搜索引擎,通过搜索这个知识库挖掘不同知识点之间的交叉领域的关联,SciencePedia 为更好地揭示知识点之间的应用关联提供了一种新的路径。

图片图丨关键字图的层次结构(来源:arXiv)

目前,研究团队正在进行上下文协议(MCP,Model Context Protocol)服务的测试,未来会逐步向用户开放。届时,用户可基于该服务来基于 LCoT 科学知识库来创作科普文章、科幻小说等多方面的高质量内容。

例如,当新一届诺贝尔奖颁发时,基于 SciencePedia 有望快速生成一篇高质量的诺奖的深度分析新闻稿。或者,用户提供一些灵感和想法,SciencePedia 在短时间内生成科幻文章。

因为人类的知识非常庞杂,这项工作从某种意义上来看只是一个起点。目前,SciencePedia 仅包括七门学科,未来研究团队还将进一步覆盖更广泛的学科和领域范围,包括历史、天文、地理、经济学和医药等。其未来发展重心将转向开放的社区共建与人机协同。团队希望未来与全球专家学者组建“SciencePedia 社区委员会”,并协力开发在线课程、教育工具等应用。

陈锟表示:“我们相当于培育了一颗更系统化的客观知识体系的种子,最终还需要靠与社区更多互动,共同探索知识形态,通过共同灌溉让它长成枝繁叶茂的大树。”

正如很多科学探索一样,答案并非知识的“终点”,它从哪里来又用到哪里去本身也是重要的、容易被忽视的知识。SciencePedia 项目向我们展示了如何通过大模型系统地解决这一问题。

这一横向解决不同领域通用问题的研究范式,是大模型时代的 AGI for Science 与传统的专注于领域专用问题的 AI for Science 的纵向范式的最大不同。SciencePedia 的出现让我们看到了一个新的希望:或许,在被海量信息淹没的时代,它为重新找到对客观知识的深度理解提供了新的可能性。

参考资料:

1.arXiv相关论文:https://arxiv.org/abs/2510.26854

2.SciencePedia 体验网址:https://sciencepedia.bohrium.com/

3.CoNet 相关论文:https://arxiv.org/pdf/2509.23629

运营/排版:何晨龙