开启兑换!抗战胜利80周年纪念币济南线下兑换网点一览!

小伙伴们大家好呀

2025抗战胜利80周年普通纪念币

小伙伴们都有没有预约到呀

图片

今天就开启线下兑换工作

兑换所需材料?兑换网点?

小编都为大家整理好啦

快一起来看看

👇👇👇


图片

中国人民抗日战争

暨世界反法西斯战争胜利80周年普通纪念币


01
集中兑换期

10月30日至11月5日

公众可按照约定的时间,持在预约系统中登记的有效身份证件,前往约定的承办银行网点办理预约兑换业务。若本次预约未兑换,相关信息将被记录,并影响下一次普通纪念币兑换,请预约成功的公众按时办理兑换。


02
兑换限额


✅抗战胜利80周年币每人预约、兑换限额为20枚


03
兑换证件要求


✅公众凭有效期内第二代居民身份证原件预约、兑换、核实。


04
济南兑换网点


✅兑换网点一览:

✅交通银行:

下滑查看更多↓

图片


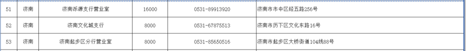
✅中国农业银行:

下滑查看更多↓

图片
图片
图片
图片
图片
图片

关注“济南本地宝”

在聊天对话框内回复【纪念币即可获取

抗战80周年纪念币兑换网点等信息

图片


图片图片图片

扫描下方海报二维码

即可快速获取

图片图片图片

▌来源:中国人民银行、交通银行山东分行、济南本地宝综合。

▌编辑:大胖(王浩仁)