初中几何:三角形部分,学生需要学什么、题目如何考察?(一)

我总结一下,希望您转发或者收藏给身边的中学生。


放心,肯定有帮助。



01

三边关系


说到三边关系,我们首先想到的是勾股定理,那咱就先说勾股定理。


  • 勾股定理


勾股定理是初中几何的一个重要定理,无论在做题中还是数学史上,都很有意义。


数学史上的意义咱就不说了,自己去查。


这里主要说怎么学和题目中的考察方式。


怎么学


记住推理方式。


最好多了解几种,因为每一种方式都代表一种数学方法,将来在题目中你可能会用到。


比如最经典的两个小正方形的面积等于一个大正方形的面积——这就是经典的构造思想。


而构造思想,很重要。


图片


记住这个公式


对,记住,有用。


你知道吗,竟然有学生不知道——那他们等于退出中考竞争了。


记住由勾股定理推导出来的公式


  • 比如,射影定理。


射影定理是由勾股定理来回代换推导出来的,记住这个公式在某些计算中可以实现秒杀。


图片


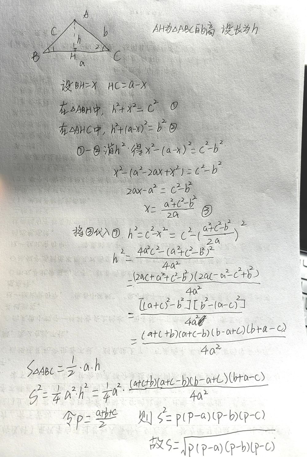
  • 海伦公式。


三角形面积公式之一,跟其他面积公式搭配,用等积变换方法来求一些值,挺好用。


它也是由勾股定理推导而来。


图片


  • 还有一个延伸出来的做题方法,无论高中还是初中都很实用。


那就是在坐标系内,往坐标轴方向作垂线,这样可以利用勾股定理算线段长度。


比如,下图。


图片


图片


到这儿小结一下:


勾股定理是三角形三边关系的重要定理,学的时候要知道证明方法、公式本身、延伸公式。


接下来说考察方式。


  • 考察方式


直接考察。


既然是三边关系,直角三角形中知道其他两边,就可以算出第三边——这是比较直接的应用。


练习的时候常见,但中考时并不会出这么简单的题目。


中考时,通常融合在更综合的题目中,作为其中一环。


比如下面这道简单的大题。


图片


还有一些填空题,也会直接考察勾股定理,比如勾股数、如何证明勾股定理、勾股定理的延伸推演等等。


这类题目通常出的有趣,还很有水平,属于“新素材”考察方法。


——在这里,勾股定理是数学材料,读新材料,以期学生在其中运用数学知识。


比如下面这道题。


图片


间接考察。


间接考察没有那么直白,是通过勾股定理让你得出点什么。


通常有两种方式:


  • 判断出一个三角形是直角三角形,从而利用直角三角形的性质。

  • 2 构造方程,算线段长度。


第一种情况,应用比较少,题型也比较少,但也有。


这是利用勾股定理的逆定理——如果一个三角形的三边长度符合勾股定理,那么它就是直角三角形。


这一条往往属于隐含条件,看出这个隐含条件,就会“曲径通幽”。


比如下面这道简单的大题。

图片


第二种情况极为常见。


我们在计算线段长度时,通常把未知的线段长度设成未知数x,然后放到直角三角形中,利用勾股定理构建一个等式(也就是方程)。


这样的例子非常多,比如下面这道几何压轴题。


第二、第三问,就在反复利用勾股定理来构建等式,来求线段长度。


图片


图片


即便到高中,在几何题、圆锥曲线大题中,还是要用到勾股定理来求线段——用法也是设未知数构造等式。


这一点要非常熟练,很有用!


勾股定理的考察方式就这么多了,它的存在感很强,是初中几何大厦的必要一环。


  • 接下来我们说另外一种三边关系——两边之和大于第三边,两边之差小于第三边。


这是小学我们就学过的,很基础,是构成三角形的必要条件。


在初中就不学这个了,但它的考察还是有的,主要是在最值类题型里。


如下图|PA-PB|的值最大,无论同侧还是异侧,我们假设直线上有一点P,跟AB构成了三角形。


那么PA-PB,就是两边之差,两边之差小于第三边。


要使|PA-PB|的值最大,那就是两边之差等于第三边,最大。


图片
图片


这种求最值的方式,配合上动点,在高中依然会用到。


但它不是求最值的唯一方式,只是你素材库里的一种,注意收集。


另外,还有绝对值的考察,在初一绝对值题目中会有


比如,已知a,b是三角形两边,第三边c的取值范围。


|a-b|<c<a+b


这是个简单的例子,当然还有其他例子。


但总体上,难度不高。



02

角度


学的时候要把这些知识点弄熟:


  • 三角形内角和180°,外角和360°,三角形的外角等于另个内角之和。

  • 多边形内角和是通过三角形内角和推导出来的,如何推导,公式是什么。


图片


内角和,外角和,包括外角等于另外两个内角的和,这些知识点在中考数学中不会出专门的题,但会作为基础知识,在综合题目中出现。


比如下面这道大题,就是利用三角形内角和外角关系来回倒腾出来的。


看第二问和第三问。

图片
图片

还有一些小题——每年填空或者选择题都会来一道。


但总会融合其他知识点,总体难度不高。


比如下图。


图片


多边形内角和推导,其实就是把多边形划分成多个三角形,然后通过三角形的内角和来计算。


图片


这个知识点主要是帮我们理解——三角形是平面图形中最简单的图形,它是许多图形的锚定点。


也就是说很多复杂图形的问题可以划分三角形来解决——


这就是为什么初中数学里的几何题,无论求什么最终都要放到三角形里来解决,学好三角形知识,就学好了几何。


还有一点


  • 考试的时候不会让你算多边形内角——默认你会算,然后让你算正多边形的一个内角是多少度,比如正六边形。


  • 或者作为综合题的一环,你必须算出多边形一个内角才能往下走,这时候这个知识点就有用武之地了。


好,角度就这么多,接下来说跟角度相关的,三角函数。



03

三角函数


在初中,三角函数的主要知识点是:


  • 正弦、余弦、正切、余切在一个直角三角形中如何表示;

  • 一些特殊角的三角函数值,以及它们带来的三边比。


图片


针对这些知识点没有单独的考察方式,都隐含在综合题目中。


比如在综合度很高的几何题中,需要求一些线段的值,那么我们可以利用三角函数。


  • 最简单的是给了正弦(正切……)值,算边长。

  • 复杂一些是用边长表达三角函数值,然后再通过推理演算,求其他线段。


这种题目在中考数学卷里分值还不小。


有如下面这种,也有实际问题结合——与实际问题结合,是道大题,难度不高,可以说是对三角函数知识的直接考察。


图片
图片
图片


  • 更复杂的是角的正切、余切、正弦、余弦值是不变的,我们可以利用这一点,在同角的不同三角形中,来回求边长,来回推理以配合我们走向最终答案。


比如下面这道题的第一问。

图片
图片

一些特殊的三角函数值我们记住的同时,要记得用它们参与演算。


这里主要涉及45°角,30°角,把它们放到直角三角形中,就是一副我们常用的三角尺。


这副三角尺,从小学就要开始【盘】。


记住三边比,可以快速用来算边长。


边长比我就不说了,但是在综合题目中,要知道这两个三角形是很容易刷存在感的。


记好,练熟,可以帮我们快速做题。


别的例子我就不举了,看一个特殊的。


图片




04

等积变换


三角形面积计算公式我们小学就知道——不难,主要是记得它的应用。


通常情况下,有计算三角形的面积+利用三角形的面积,两种应用场景。


  • 计算三角形的面积,对初中生来说从来都不是单纯的


大概需要在一个复杂的几何图形中,算出边长和高,再计算面积;

或者在一个求阴影面积的题目中,通过计算三角形面积来间接计算阴影面积;

更难的有二次函数大题中,通过坐标点表达三角形的边长和高,来求面积的最值;

当然,还有为了考察反比例函数的性质,让计算坐标点形成的三角形面积。


后两种在其他文章中有介绍,贴个链接,不再细说。


图片

反比例函数的几何意义:小考点,大学问

二次函数大题,关于面积,都如何求解?


  • 利用三角形的面积,倒是初中题目中经常考察的点。


主要是等积变换。


两个三角形面积相等,或者面积成比例,我们可以利用这一点算它们的高或者边长,还可以进行一些推理演算。


这种方式的考察,不仅在几何题里,在二次函数大题里,也有。


图片
图片
图片


或者同一个三角形,不同的面积计算方式,我们能算出想要的边长或者其他参数。


计算三角形面积的公式很多,公式之间还可以互相演算转换。


图片


等积变换在小学的重要度要大于初中,小学会花更长的时间来练习。


到初中之后,会作为一个知识点融合在其他题目中,我们要知道,要会。




三千多字了,写累了,下篇接着来。