SpaceX火箭试错史

图片
人类从未比在太空行走时显得更为渺小
或更为伟大

语宙

+


星舰十飞成功之际

回顾SpaceX火箭失败历程

 

美国SpaceX公司通过创新的可复用火箭技术和低成本运营,改变了全球航天产业格局。在其发展过程中,虽然多次经历火箭发射失利,但在快速迭代策略的指引下反而成为推动技术进步的重要动力,为全球航天领域提供了有价值的经验。


一、引言

SpaceX公司由埃隆·马斯克于2002314日创立,现总部位于德克萨斯州的星舰基地(Starbase)。通过可复用运载火箭、高密度发射能力和低成本运营模式,SpaceX公司已成为世界上发射次数最多、任务类型最为丰富的企业之一,显著降低了进入空间的成本,深刻重塑了国际航天发射行业格局。截至202412月,SpaceX公司估值达到3500亿,成为全球最有价值的私营初创公司之一。

图片

 SpaceX火箭家族


然而,SpaceX公司的高速发展伴随着一系列发射失利。这些失利虽然导致经济损失,却提高了其商业信誉、产业安全与国际航天合作的影响力,既是技术挑战的体现,更是其“快速迭代、从失利中学习”研发哲学的直接产物。


本研究以20257月视角全面回顾并总结SpaceX公司近二十年的“试错史”,对其主要火箭型号历次发射失利(猎鹰1号、猎鹰9号、星舰)进行系统性剖析与总结,阐述SpaceX公司的故障调查流程、工程修复对策与验证过程,揭示航天技术研发的内在规律与风险点,为全球航天领域、特别是正处于快速发展期的中国航天提供宝贵经验与教训。


二、SpaceX公司火箭发射情况统计

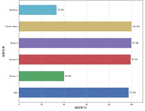
截至2025731日,根据SpaceX公司官方网站公布的关于发射成功率的统计数据,SpaceX公司共进行了535次发射任务,成功523次,失利12次,成功率97.76%。历史上,SpaceX公司曾达成连续335次发射全部成功记录,目前最近连续成功发射次数为156次。其中猎鹰9Block 5的发射次数也包含在猎鹰9号中。

SpaceX公司发射火箭成功率统计

图片


SpaceX公司不同型号火箭发射成功率情况

图片

SpaceX公司预计2025年发射180次,目前已发射95次,完成率52.78%;成功92次,失利3次,成功率96.84%


SpaceX公司发射成功率随年份变化(20102025.7

图片


SpaceX公司每年发射次数成功率统计

图片


从发射场的成功率来看,卡角天军基地发射次数最多,成功率也最高,已发射269次,成功率99.26%


SpaceX公司在不同发射场的成功率对比图

图片


SpaceX公司发射场成功率统计

图片


从着陆场的成功率来看,LZ-1型(着陆区 1)着陆次数最多,仅有一次失利,成功率98.11%


SpaceX公司在各着陆地点成功率的对比

图片


SpaceX公司着陆地点成功率统计

图片


三、典型发射失利案例实证与失利根因剖析

SpaceX公司在商业航天领域的技术突破始终伴随试验试错,其火箭型号的迭代进程中,各阶段飞行任务的成败案例与技术故障都具有重要分析价值。图表10梳理了2002年公司成立后,猎鹰1号、猎鹰9号及星舰系列火箭的关键发展节点,涵盖典型飞行事件的时间、故障诱因及任务结果,为理解其技术演进路径提供了直观的时间维度参考。


 Falcon 1Falcon 9 Starship系列火箭

失利情况脉络图

图片


(一)猎鹰1号(20062009)失利情况梳理与根因剖析

猎鹰1号为两级构型运载火箭,以RP-1煤油与液氧作为推进剂。其一级为一台梅林发动机,二级为一台游隼发动机。两款发动机均由SpaceX公司独立完成设计与制造。所有发射均在太平洋的夸贾林环礁发射场实施。。

1、失利次数:3次(全部为飞行失利)

2、成功次数:2

3、具体失利事件、失利原因剖析


l  猎鹰1第一次失利详述

时间:2006.3.24

失利类型:完全失利(飞行失利)

任务描述:发射FalconSAT-2

失利原因:一级发动机的一根铝制燃料管路因腐蚀和振动而破裂,导致燃料泄漏和火灾。


l  猎鹰1第二次失利详述

时间:2007.3.21

失利类型:完全失利(飞行失利)

任务描述:发射DemoSat

失利原因:级间分离后,二级发动机喷嘴与级间段发生碰撞,导致火箭失稳。


l  猎鹰1第三次失利详述

时间:2008.8.3

失利类型:完全失利(飞行失利)

任务描述:发射TrailblazerPRESatNanoSail-DExplorers

失利原因:因新换装的梅林1C发动机推力衰减时间长于旧款,导致级间分离时一级追尾碰撞二级。


(二)猎鹰9号系列火箭(2010-2025)失利情况梳理与根因剖析

猎鹰9号为两级式运载火箭。其两级均采用RP-1煤油与液氧作为推进燃料。火箭一级配备了九台梅林发动机,二级则搭载了一台经过特殊改装的梅林发动机

猎鹰9号经历了五次重大修订:v1.0、v1.1、Full Thrust(也称为Block 3v1.2)、Block 4和Block 5

1、失利次数:飞行失利2次,部分失利1次,飞行前失利1

2、成功次数:511

3、具体失利事件、失利原因剖析


l  猎鹰9号第一次失利详述

时间:2012.10.8

失利类型:部分失利(主有效载荷成功,辅助有效载荷失败)

任务描述:SpaceX公司执行首次国际空间站货运补给任务(CRS-1)。发射过程中,九台发动机中的一台在飞行79秒后突然失压,火箭命令关闭。由于一级发动机故障,与国际空间站交会的安全协议阻止了辅助有效载荷Orbcomm-G2卫星被放置在正确的轨道上。

失利原因:NASASpaceX公司成立了CRS-1调查委员会。调查发现,发动机1的燃料穹顶破裂,泄漏的燃烧燃料导致整流罩破裂。进一步调查指出,发动机燃烧室护套存在未检测到的材料缺陷,可能是生产时引入的。该缺陷导致燃烧室穿孔,喷射出热气体和燃料,引发二次泄漏并使发动机压力急剧下降


l  猎鹰9号第二次失利详述

时间:2015.6.28

失利类型:完全失利(飞行失利)

任务描述:猎鹰9-1.1型火箭执行第7次国际空间站货运补给任务(CRS-7),在升空219秒后出现故障并爆炸。

失利原因:二级液氧箱超压解体,运往国际空间站的物资全损。调查结论是二级液氧箱内的一个高压氦气瓶轴向支撑杆在3.2G加速度下断裂,氦气大量泄漏致超压并最终导致箭体爆炸。


l  猎鹰9号第三次失利详述

时间:2016.9.1

失利类型:飞行前失利

任务描述:猎鹰9号原定于201693日执行以色列通信卫星AMOS-6)发射任务。但在91日,在发射台进行态点火测试时突发爆炸事故,卫星和火箭全损。

失利原因:多个复合材料缠绕压力容器(COPV)储罐中的衬里弯曲,导致穿孔,进一步导致液体和/或固体氧在衬里和复合材料缠绕层之间积聚,并被摩擦点燃。


l  猎鹰9号第四次失利详述

时间:2024.7.11

失利类型:完全失利(飞行失利)

任务描述:猎鹰9号在发射Starlink Group 9-3时,出现异常,较低的轨道加上大气阻力,使得卫星无法提升轨道高度,最终卫星再入大气层并丢失。

失利原因:火箭二级在二次点火期间出现异常,二级发动机出现低温液氧泄漏,致使发动机部件过冷失效,进而导致20颗星链卫星未能进入足够高的轨道,最终烧毁。


l  猎鹰9Block 5第一次(唯一,总计为猎鹰9号的第五次)失利详述

时间:2018.12.5

失利类型:部分失利

任务描述:猎鹰9Block 5成功发射“龙”货运飞船。火箭一级返回1号着陆区(LZ-1)时发生部分故障,导致着陆偏离中心,最终滚转落入距佛罗里达岸边不远的海中

失利原因:火箭一级液压泵故障,导致用于转向和姿态保持的四个钛合金栅格翼失控,致使火箭一级在最后下降阶段绕长轴快速旋转和倾斜,最终偏离目标着陆点。


(三)星舰系列火箭(2020-2025)失利情况梳理与根因剖析

星舰是SpaceX公司的新一代发射系统,旨在将人类、货物及有效载荷送至地球轨道、月球和火星。该飞行器部分采用反光不锈钢外壳,整体分为两部分:一是超重火箭,配备33台猛禽发动机,负责将星舰送入太空;二是星舰本体,可将人员与货物送至低地球轨道之外。其推力超越了阿波罗时代的土星五号火箭及NASA现役的太空发射系统(Space Launch System

1、失利次数:6

2、成功次数:3

3、具体失利事件、失利原因剖析


l  星舰S24第一次失利详述

时间:2023.4.20

失利类型:完全失利(飞行失利)

任务描述:首次星舰试验飞行。SpaceX公司计划让超重火箭在墨西哥湾进行动力溅落,星舰完成亚轨道飞行后溅落夏威夷以北的太平洋。

失利原因:飞行中多台发动机出现工作异常,速度、高度严重偏离飞行剖面,并且一、二级未能在飞行终止之前按预期执行分离动作,箭体爆炸解体。调查结果显示,超重火箭尾部发生推进剂泄漏,并引发火灾,火灾破坏了主飞控CPU与发动机之间的通信回路,导致CPU与火箭多台发动机的通信中断,并最终导致火箭失控


l  星舰S25第二次失利详述

时间:2023.11.18

失利类型:完全失利(超重火箭着陆失败)

任务描述:星舰的第二次试验飞行,与首次飞行有类似的试飞剖面,但更新了热分离系统,引入水淋系统作为发射台地面支持设备。

失利原因:在超重火箭上升阶段,所有33台发动机均全时长点火。超重火箭与星舰成功完成热分离。在启动翻转动作并开始返回燃烧后,多台一级发动机因过滤器堵塞而关火,其中一台发生剧烈故障,导致超重火箭爆炸。飞船正常上升约6分钟,在液氧排放过程中尾部出现泄漏,引发火灾,中断飞行计算机通信,触发发动机关机指令。随后飞行终止系统启动


l  星舰S28第三次失利详述

时间:2024.3.14

失利类型:部分失利(超重火箭着陆失败,飞船着陆失败)

任务描述:星舰第三次试验飞行。主要任务包括:二级发动机全时长燃烧、推进剂转移及星链分配器门测试。

失利原因:超重火箭与飞船分离后,由于向发动机供液氧的过滤器持续堵塞13台中央发动机中的6台提前关闭,后续着陆燃烧阶段仅2台发动机启动,推力不足导致箭体失控,于462米高度解体。飞船再入大气层时出现不受控翻滚,几分钟后飞船遥测被切断。


l  星舰S33第四次失利详述

时间:2025.1.16

失利类型:部分失利(超重火箭着陆成功);

任务描述:星舰第七次试验飞行。原计划在发射后约一小时在印度洋溅落。它是Block 2飞船的首飞,旨在对结构、航空电子设备和其他升级功能,以及对星链卫星质量模拟器的部署系统进行测试。

失利原因:超重火箭实现发射塔架回收。星舰飞船在加勒比上空爆炸解体,事故根本原因在于飞行中的谐振幅度比地面测试时强数倍,致使推进系统硬件破裂,随后推进剂泄漏超限并引发起火,导致发动机关闭。自主飞行安全系统在遥测数据丢失约3分钟后启动将飞船销毁


l  星舰S34第五次失利详述

时间:2025.3.6

失利类型:部分失利(超重火箭着陆成功,飞船爆炸解体)

任务描述:星舰第八次试验飞行。原计划在印度洋受控溅落,实现有效载荷部署和超重火箭发射塔架回收等目标

失利原因:星舰飞船一台中央发动机硬件故障,导致推进剂意外泄漏并起火,造成发动机过早关闭,致其旋转失控并在加勒比上空解体。尽管有两台发动机未能重新点燃以进行助推燃烧,但超重火箭仍成功返回发射场


l  星舰S35第六次失利详述

时间:2025.5.27

失利类型:完全失利(飞行失利)

任务描述:星舰第九次试验飞行。这是第三次使用Block 2飞船进行飞行,也是第一次使用重复使用的超重火箭Booster 14进行飞行。

失利原因:超重火箭再入与回收阶段姿态失控旋转再入大气层,随后遥测信号消失。星舰飞船进入预定亚轨道,但因舱门未能打开导致未正常部署星链卫星模拟器。飞船随后发生推进剂泄漏,姿态失控,在印度洋上空解体。


(四)SpaceX公司火箭失利原因统计汇总

以下是SpaceX公司历次火箭发射失利的主要原因及对应次数的系统总结:

1、猎鹰1号失利3

发动机燃料管路破裂(1次)

2006年:铝制燃料管路因腐蚀和振动破裂,引发燃料泄漏和火灾。

级间分离碰撞(2次)

2007年:二级发动机喷嘴与级间段碰撞导致火箭失稳。

2008年:一级发动机推力衰减时间过长,追尾碰撞二级。


2、猎鹰9号失利5

发动机材料缺陷(1次)

2012年:发动机燃烧室护套材料缺陷致燃料穹顶破裂。

结构部件断裂(1次)

2015年:二级液氧箱内复合材料高压氦气瓶支撑杆断裂,引发超压爆炸。

复合材料压力容器故障(1次)

2016年:静态点火测试中,COPV储罐衬里弯曲导致氧积聚点燃。

液压系统故障(1次)

2018年:一级液压泵单点故障导致栅格翼失控,着陆偏离。

液氧泄漏(1次)

2024年:二级发动机液氧泄漏致卫星未能入轨。


3、星舰失利6

发动机过滤器堵塞(2次)

2023年(S25):超重火箭发动机因过滤器堵塞爆炸。

2024年(S28):13台发动机中6台因过滤器堵塞故障。

推进剂泄漏与控制系统失效(4次)

2023年(S24):超重火箭尾部推进剂泄漏引发火灾。

2025年(S33):推进剂泄漏超限致发动机提前关机。

2025年(S34):中央发动机硬件故障导致推进剂泄漏,引发旋转失控。

2025年(S35):推进剂泄漏导致姿态失控。

通过对SpaceX公司历次火箭发射失利的系统分析,可以识别出5类反复出现的故障模式,下表汇总了各类典型故障类型、失利次数及涉及火箭型号。


SpaceX火箭典型失利故障类型统计汇总

图片


四、SpaceX公司发射失利的系统性对策与演化特征

(一)被动修复与主动试错

基于对猎鹰1号、猎鹰9号及星舰典型发射失利的分析可知:SpaceX公司早期反复出现的故障模式揭示了在开始阶段也经历过工程薄弱的环节。在故障发生的初期仅触发了SpaceX公司的被动修复(如猎鹰1号级间分离碰撞后强化推杆结构);但随着故障重复性的暴露也迫使SpaceX公司开展了技术管理范式变革,2015CRS-7任务氦气罐断裂等事件就成为该变革的转折点,SpaceX公司开始走向主动试错机制;至2020年后,该机制升级为失效场景主动构建阶段,例如,带有微裂纹的梅林发动机得到了飞行许可,这些代表SpaceX公司开启了预防性设计


这种机制在失利应对中体现显著:爆炸后立即启动响应,工程师调取遥测数据(含结构应力、发动机性能等)还原爆炸前状态,定位异常并追溯原因;若残骸可回收,则分析其结构状态(如发动机熔化提示过热、蒙皮断裂指向超压等),结合有限元分析增强有效性


最后进入根本原因调查阶段,通过结构化根本原因分析(RCA)剖析:采用故障树分析(FTA)自上而下拆卸失利事件,定位设计或运行参数薄弱点;运用故障模式与影响分析(FMEA)自下而上评估系统潜在故障模式,结合FMEA信息审查发动机可靠性等关键子系统,通过概率与严重性评分优先确定需深入调查的领域;借助数字孪生技术模拟爆炸条件验证假设;对回收碎片开展材料分析


(二)柔性组织与容错文化

SpaceX公司的技术突破不仅依赖工程层面的试错机制,更植根于其柔性化的组织架构与容错型文化基因,二者共同构成了“失败驱动创新”的制度基础。传统航天工业长期被刚性管理体系所主导:多层级的审批流程、繁复的质量控制节点、以及“零失败容忍”的文化构成了其核心特征。这种模式在阿波罗登月时代曾发挥重要作用,但在21世纪商业航天时代却成为创新的桎梏。2008年,SpaceX公司将总部迁至霍桑,在加州霍桑总部火箭设计区与制造车间仅一窗之隔,工程师可随时进入产线调整设计参数,最大限度地缩短“设计-制造-测试”周期时间。


美国联邦航空管理局(FAA)对星舰项目实施了渐进式的许可制度,采用“渐进放行”策略,允许在初期试飞中进行技术试错,同时确保公众安全。这种策略体现了FAA对创新和安全的平衡支持。例如,在20255月,FAA批准了SpaceX公司进行第九次星舰试飞,逐步增加试飞频率和复杂性,将年发射次数上限从五次增加到二十五次,同时扩大了飞行安全区域。


SpaceX公司的失败响应机制

图片

(三)敏捷迭代与垂直整合

传统的航空航天项目通常采用瀑布式方法,这种方法具有刚性的线性阶段,要求每一阶段必须在开始下一阶段之前完成。与此不同,SpaceX公司采用了敏捷开发原则,通过迭代开发、灵活性和快速原型设计来推动技术进步。敏捷方法允许团队在较短的冲刺周期内进行工作,不断测试并完善设计,这种快速的试错和迭代方式显著加速了技术开发和优化。在火箭的设计过程中,SpaceX公司从每次飞行失利中汲取教训,及时调整和改进设计,确保问题能够迅速得到解决,而不需要等待传统的漫长测试阶段。


 传统航天与SpaceX公司的航天模式对比

图片


另外,SpaceX公司还通过垂直整合实现全栈式自主研发,将设计、工程、生产及测试等开发流程收归内部,自主掌控全链条,这不仅提升了决策效率、强化了质量控制、增强了快速创新与适应能力,还能高效应对复杂系统性故障的快速诊断与修复。尤为关键的是,这种模式显著降低了单次试错的成本阈值(如下图所示,星舰的发射成本预计降至每公斤200美元),减少了外部协作的隐性成本,压缩了组件迭代的时间与资金投入,使得高频次试错与可控范围内的失利成为可能。


而每一次失利中积累的故障数据与改进经验,又通过自主研发的闭环快速反哺到设计优化中,进一步精简冗余成本、提升资源利用效率,形成“低成本支撑高频试错-试错失利驱动成本优化”的正向循环,既为持续试错提供了经济可行性,又让失利真正成为降低长期成本的催化剂


1960年以来全球太空发射的每公斤成本

(价格已根据通货膨胀调整)

图片


五、对中国商业航天的启示:构建“可控失败”的本土化路径

中国商业航天正从技术跟跑迈向局部创新,面对高投入高风险特性,SpaceX公司的失利经验提供了借鉴,但需结合国情构建适配路径,具体从三方面推进:


(一)建立失败分级监管框架,平衡创新与风险

在“失败分级”的容错机制框架下,可通过“红黄线边界管理”明确试错范围与风险底线,实现创新活力与安全可控的动态平衡。黄线区聚焦非载人核心技术验证领域,允许高频次试错以加速迭代:例如可回收火箭发动机、着陆系统等模块,可参照SpaceX公司星舰试飞模式,设置不失败配额,既减少资源浪费,又能获取更全面的失效边界数据。


红线区则针对载人安全等核心领域实施零容忍管理:载人舱生命保障系统、轨道控制软件等直接关联任务安全的模块,需沿用“归零文化”中的三重冗余设计原则,在坚守安全底线的前提下,通过技术升级提升容错能力。


(二)完善太空活动责任保险制度,建立多层次风险分担机制

SpaceX公司的持续试错能力,离不开风险分散机制的支撑:其每次发射均购买涵盖“第三方损害”“箭体损失”“任务失败”的组合保险。这为中国商业航天构建“可控失败”的风险缓冲体系提供了直接参照。


借鉴SpaceX公司组合保险经验:一是强制推行“基础责任保险”,要求所有发射任务投保第三方责任险,覆盖地面人员伤亡、财产损失及空间碎片赔偿等方面,二是推出“试验性任务专项保险”,针对可回收火箭验证、新型发动机试飞等高风险试验,允许企业按“失败概率”定制保费。三是设立“行业风险共担基金”,由政府、企业、保险机构共同出资,对超出保险赔付范围的重大失利提供补充补偿,参考SpaceX公司在星舰试飞中获得的政府背书风险补偿模式,降低企业“因一次失误而退出市场”的担忧。


(三)制定符合国际水平的航天飞行标准,构建科学安全认证体系

SpaceX公司试错虽以“快速迭代”为特征,但其技术演进始终嵌套于国际通用航天安全框架内。例如遵循国际航天联合会(IAF)的推进剂安全标准、FAA发射许可规范,有效规避了低级性、重复性失利(如接口兼容故障等)。


这提示中国商业航天在“可控失败”路径中,需同步构建与国际接轨的标准体系和安全认证机制,规范试错边界、提升技术可靠性。科学的标准与认证体系非“可控失败”的束缚,而是其有序推进的前提:既能通过统一技术基线减少低级错误,集中资源突破高价值技术;又能通过国际互认降低跨境任务合规成本,为中国商业航天参与全球竞争筑牢基础。


图片

航天科学传播平台

Powered by 爱太空

第 521期

合作:spaceflightforum@163.com