中国艾滋病的“传播-防控”之争,谁更胜一筹?基于2019年GBD研究的预测与G20国家比较



自1980年代被发现以来,艾滋病(HIV/AIDS)已成为全球公共卫生领域最严峻的挑战之一。在中国,艾滋病自2000年代初开始流行,并在2019年成为最严重的法定传染病。根据世界卫生组织(WHO)数据,全球约有3800万人感染HIV,其中每年新增感染病例约150万,死亡病例约68万。


在中国,尽管政府持续投入资源开展防治工作,但艾滋病的流行趋势仍令人担忧。2019年全球疾病负担研究(GBD)数据显示,中国艾滋病的残疾调整生命年(DALY)在过去30年间增长了近8倍,且预测到2040年仍将增长57.66%


这一趋势不仅威胁公共健康,也对医疗资源和社会经济造成巨大压力。


近期,中南大学湘雅二院牵头发起了一项研究,通过对比中国与G20国家(全球最具代表性的20个经济体)的艾滋病流行趋势,揭示中国在发病率、死亡率、疾病负担及性别/年龄差异上的特征,为制定精准防控策略提供科学依据,结果发表于Journal of Global Health期刊。


图片

DOI: 10.7189/jogh.14.04029.


方 法


本研究基于GBD 2019数据库,采用纵向分析与预测模型,覆盖1990-2019年的流行病学数据,并预测至2040年。


1.数据来源



GBD 2019:包含全球204个国家和地区的HIV/AIDS发病率、死亡率、DALY(残疾调整生命年)等指标。

年龄标准化率(ASR):用于消除人口结构差异的影响,确保国际比较的公平性。

平均年百分比变化(AAPC):评估长期趋势的动态变化。


2.分析工具



Joinpoint回归分析:识别关键年份的流行趋势拐点。

ARIMA模型:预测2020-2040年的发病率、死亡率及DALY。

Pearson相关性分析:探索社会经济指标(如社会发展指数SDI、医疗质量HAQ)与艾滋病趋势的关联。


3.核心指标



DALY:综合衡量死亡与残疾的疾病负担,计算公式为:DALY = YLL(寿命损失年) + YLD(健康寿命损失年)。

年龄标准化发病率(ASIR)、年龄标准化死亡率(ASMR)、年龄标准化DALY率(ASDR)。

死亡-发病率比(MIR):评估疾病严重程度,MIR = 死亡率 / 发病率。


结 果


2019年,G20国家DALY为1505万,ASDR为309.49(95%不确定区间(UI)=284.69,350.58)。从1990年到2019年,DALY增长了340.42%,AAPC为4.30(95%UI =3.60,5.00)(表1、图1、图2和图3)。


表1. 1990年至2019年中国和G20艾滋病DALY病例数、ASDR和时间趋势

图片

AAPC-年百分比变化,ASDR -年龄标准化DALY率,DALY -残疾调整生命年,G20 -二十国集团,UI -不确定性区间


图片

图1.二十国集团(G20)国家和社会发展指数(SDI)地区不同年龄组和性别的残疾调整生命年(DALY)分布


1990年ASDR最低的是印度尼西亚,值为0.62(95%UI =0.00,1.08),但2019年增加至161.64(95%UI =130.76,201.89),成为ASDR增幅最大的国家。印度尼西亚ASDR的AAPC为17.00(95% UI=13.50,20.50)(图3)。


图片

图2.中国和二十国集团(G20)国家不同年龄段艾滋病的年龄标准化发病率(ASIR)、年龄标准化死亡率(ASIR)、年龄标准化DALY率(ASDR)和死亡率-发病率(MIR)年龄标准化率(ASR)的趋势

面板A 1990年至2019年中国不同年龄段男性、女性和性别MIR的ASIR、ASIR、ASDR和ASR趋势。

面板B为G20中MIR的ASIR、ASIR、ASDR和ASR趋势。


在此期间,南非的ASDR一直很高。南非的AAPC为11.70(95% UI=10.30,13.10),仅低于印度尼西亚(表1、图1)。美国在1990年获得了最高的ASDR,但2019年ASDR跌幅排名第三,为126.63(95% UI=105.65,155.02)。AAPC为-5.60(95% UI=-6.50,-4.60),紧随法国和澳大利亚(表1、图1和图3)。


图片

图3.二十国集团(G20)国家和社会发展指数地区的年龄标准化发病率(ASIR)、年龄标准化死亡率(ASIR)、年龄标准化DALY率(ASDR)和年龄标准化死亡率-发病率(MIR)的总体平均年百分比变化(AAPC)


而中国,一直在进步。


1990年,中国ASDR为13.18(95%UI =4.52,18.00),2019年增加至98.15(95%UI =78.78,119.58)!中国在ASDR变化中排名第5,AAPC为6.80(95%UI =5.80,7.90)(表1、图1、图2、面板A、图3)。


下文是基于GBD 2019数据及预测模型分析的详细结果,其中重点呈现中国与G20国家的对比:


(一)

全球与中国的艾滋病趋势:增长与挑战


1.G20国家整体趋势



1990-2019年,G20国家的DALY增长340.42%,但2007年后因防控措施加强,ASDR开始下降。


美国:1990年ASDR最高(126.63),但通过“四免一关怀”政策,2019年ASDR下降至126.63,降幅达5.6%。


南非:ASDR持续高位(2019年为最高),与贫困、教育水平低及性传播风险高相关。


印度尼西亚:ASDR增长最快(AAPC 17%),主要因高危人群(如性工作者、吸毒者)覆盖不足。


2.中国的现状与挑战



DALY增长794.50%(1990-2019),ASDR从13.18上升至98.15

增速为G20国家的1.76倍。


关键增长期:

1990-1995年:缺乏系统防控措施,疫情初期快速蔓延。

2013-2016年:因抗逆转录病毒治疗(ART)覆盖率不足及高危行为(如男男性行为MSM比例激增),ASDR再次飙升。


预测至2040年:

中国ASDR将达154.74,较2019年增长57.66%,远超G20国家(预测ASDR下降至153.77)。


(二)

性别差异:男性负担加重,性别差距扩大


1.全球趋势



男性发病率、死亡率、DALY始终高于女性,但G20国家性别差距缩小(如南非女性感染率因交易性行为上升)。


2.中国特异性



男性DALY是女性的2.85倍(2019年),性别差距较1990年(1.76倍)显著扩大。


驱动因素:

性行为模式:95%新发感染为性传播,男男性行为(MSM)比例从2006年0.3%激增至2015年28.4%。

社会文化:男性对HIV检测的回避、性健康教育不足。


表2. 1990年至2019年中国和G20的MIR和时间趋势

图片

AAPC-年百分比变化,G20 -二十国集团,MIR -死亡率-发病率,UI -不确定性区间


(三)

年龄分布:30-49岁成高危人群


1.G20国家



50-69岁人群DALY占比上升,反映老龄化社会中HIV感染者的长期存活问题。


2.中国



30-49岁组ASDR最高(2019年),且增速最快(2013-2016年增长显著)。


驱动因素:

该年龄段为性活跃及吸毒高发期,但健康意识薄弱、流动性高、社会支持不足。

2019年数据显示,30-44岁组ASDR年增长达6.8%,远超其他年龄组。


图片

图4.对1990年至2019年中国(A组)和二十国集团(G20)国家(B组)男性、女性和男女艾滋病的年龄标准化发病率(ASIR)、年龄标准化死亡率(ASIR)、年龄标准化DALY率(ASDR)和年龄标准化死亡率(MIR)进行了联合点回归分析


(四)

社会经济与医疗资源的影响


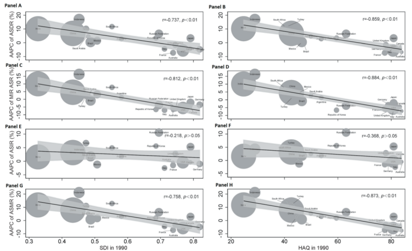
社会发展指数(SDI)与HAQ分析:

负相关性:ASDR增长与SDI(社会发展水平)及HAQ(医疗质量)呈负相关(r=-0.737和r=-0.859)。

例外案例:

日本:高SDI但ASDR因老龄化导致检测延迟而上升。

中国:低HAQ地区(如西部农村)ASDR增速达8.2%,远超东部(3.1%)。


图片

图5.二十国集团(G20)国家艾滋病平均年百分比变化(AAPC)与社会发展指数(SDI)或医疗保健可及性和质量(HAQ)之间的相关性

面板A年龄标准化残疾调整生命年(DALY)率(ASDR)的AAPC与SDI呈负相关。

面板B为ASDR的AAPC与HAQ呈负相关。

面板C和D死亡率-发病率(MIR)年龄标准化率(ASR)的AAPC也与SDI和HAQ呈负相关。

面板E和F。年龄标准化发病率(ASIR)的AAPC与SDI和HAQ没有表现出任何明显的相关性。

面板G和H。年龄标准化死亡率(ASIR)的AAPC与SDI和HAQ呈负相关。


(五)

未来预测:2020-2040年的挑战与警示


1.全球趋势



高SDI国家(如美国、法国)ASDR将稳定或下降,低SDI国家(如印度、南非)持续上升。


2.中国预测



DALY持续增长:2040年DALY将达154.74,主要因:

MSM群体扩大:2019年MSM占新发感染28.4%,预计2040年将达40%以上。

检测覆盖率不足:目前30%感染者未确诊,导致传播链延长。

性别与年龄差异加剧:

男性ASDR增速(4.6%)远超女性(1.2%),30-49岁组ASDR将占总负担的60%以上。


表3.中国和G20未来20年DALY预测

图片

ASDR -年龄标准化DALY率,DALY -残疾调整生命年,G20 -二十国集团,UI -不确定性区间


DALY的预测表明,高空间指标国家预计将呈现稳定或下降的趋势,而低空间指标国家则呈现上升趋势。2040年,中国艾滋病感染人数可能较2019年增长57.66%。


图片

图6.预测中国(A组)和二十国集团(G20)国家(B组)男性、女性和男女艾滋病的年龄标准化发病率(ASIR)、年龄标准化残疾调整生命年(DALY)率(ASDR)和年龄标准化死亡率-发病比(MIR)


表4.中国和G20未来20年MIR预测

图片

G20 -二十国集团,MIR -死亡率-发病率


图片


G20 DALY增长340.42%,中国DALY增长794.50%。2019年,G20的年龄标准化DALY率(ASDR)为309.49(95%不确定区间(UI)=284.69,350.58),AAPC为4.30。在G20中,美国在1990年的DALY最高,但经历了明显下降。在中国,ASDR为98.15(95% UI=78.78,119.58),AAPC排名第五。从性别来看,中国和G20的发病率、死亡率、DALY和ASR均以男性较高。此外,中国的性别差距一直在扩大。中国ASDR增长最显著的时期是1990-1995年和2013-2016年,以及G20的1990-1994年。


讨 论


艾滋病不仅对全球人类健康构成重大挑战,也给经济带来沉重负担。在中国,艾滋病仍然是一个重大负担。ASIR在某些年龄段呈下降趋势,而ASIR和ASDR继续上升,性别差距扩大。预测结果显示,一些国家无法实现联合国艾滋病规划署制定的2030年可持续发展议程。因此,有必要制定更有效、更有针对性的措施,并积极探索新的治疗方法。


本研究中,团队首先考察了中国和G20艾滋病的DALY趋势,比较并预测了未来20年的趋势。通过研究艾滋病的负担,评估了艾滋病对不同国家、性别、年龄段人群的影响程度,为制定艾滋病预防控制措施提供科学证据和建议。


分国家来看,过去30年,G20国家艾滋病的DALY趋势各不相同。1990年,美国的艾滋病DALY和ASDR是G20国家中最高的。然而,通过全面的艾滋病毒预防措施取得了重大进展,包括促进安全性行为、提供避孕套和针头,以及加强对艾滋病毒感染者的监测和治疗,例如建立STARHS监测系统。完善艾滋病病例报告制度,建立艾滋病全国委员会,加强艾滋病毒知识传播和教育活动,例如将相关课程纳入学校教育体系、制作宣传材料、利用社交媒体进行知识传播。此外,加强艾滋病毒知识传播和教育活动,例如将相关课程纳入学校课程,在控制艾滋病流行和减少ASDR方面发挥了关键作用。


与此同时,东南亚和非洲的艾滋病ASDR明显增加,其中南非的ASDR尤其高且持续。这两个地区艾滋病疫情不断升级可归因于多种因素,包括缺乏相关知识、获得抗逆转录病毒治疗的机会有限、社会保障不足以及缺乏社会支持和服务。此外,印度尼西亚的艾滋病DALY和ASDR明显增加,这可能归因于对高危人群缺乏护理以及艾滋病预防和控制的资金有限。








中国在艾滋病预防和控制方面做出了重大努力,包括完善政策和制度、扩大预防和治疗队伍、加强公众意识和教育。尽管中国在防控中取得了一定成就,但DALY和ASDR仍在增长,1990-1995年和2013-2016年期间增长尤为可怕。


1994年之前,中国缺乏针对HIV/AIDS的具体预防和控制措施,导致疾病负担最初大幅增加。自1995年以来,中国建立了艾滋病毒哨点监测体系,到2006年监测点已扩大到393个,覆盖重点人群。


2004年,《国务院关于加强艾滋病毒/艾滋病预防控制的通知》的发布,标志着中国抗击艾滋病的重大转折。通知推出的“四免一关怀”政策有效改变了艾滋病预防的被动局面,减轻了疾病负担。


此外,2010年提出的“五扩大、六加强”措施进一步放缓了中国ASIR和ASDR的增长。然而,2013年至2016年间ASIR和ASDR的明显增加可能与人群中抗逆转录病毒疗法的不当使用和不完整覆盖有关。


研究着重讨论了以下这些问题:



中国艾滋病增长的深层原因



①防控策略滞后

1990-1995年缺乏系统性干预,HIV传播初期失控。

2013年后,虽推行“四免一关怀”政策,但MSM群体覆盖不足,部分人群因社会歧视拒绝检测。


②社会文化因素

性行为教育不足,MSM群体面临污名化,导致高危行为隐蔽化。

农村地区医疗资源匮乏,检测与治疗可及性低。



全球视野:中国与G20差异与启示



①成功经验

美国:通过媒体宣传、学校课程整合及社区动员,成功降低青年感染率。

南非:推行“普遍检测+治疗”(Treat All)策略,2019年死亡率下降40%。


②精准防控

针对MSM、吸毒者等高危群体,推广“同伴教育”与“自我检测试剂”。

医疗资源下沉:在农村地区建立HIV快速检测点,缩短诊断窗口期。



本预测的意义



预测提出,我国艾滋病防控在2040年面临的挑战有:


①DALY持续增长

2040年DALY将达154.74,主要因为:

MSM群体扩大:2019年MSM占新发感染28.4%,预计2040年将达40%以上。

检测覆盖率不足:目前30%感染者未确诊,导致传播链延长。


②医疗支出压力

HIV相关医疗支出将占GDP的0.5%-1%,需提前规划长期资金投入。


③老龄化社会问题

HIV感染者合并慢性病(如结核病)将增加管理复杂性。



研究提出以下建议



①筛查与治疗

加强高危人群(MSM、吸毒者)的主动筛查,推广“检测-治疗-随访”一体化服务。

对30-49岁患者,需关注合并感染(如结核病)及长期用药副作用。


②未来的研究实践

开展“精准防控”研究,探索基于大数据的高危人群定位模型;评估新型药物(如长效抗逆转录病毒药)在降低传播中的作用等。


③政策倡导

呼吁政府扩大医保覆盖范围,降低MSM群体治疗费用。

推动社会反歧视立法,减少高危人群就医障碍。


中国艾滋病的DALY与ASDR增长速度远超G20国家,且性别与年龄差异显著。30-49岁男性、MSM群体是防控关键,需针对性干预。艾滋病防控是一场与时间赛跑的持久战。2040年预测显示,若不采取强化措施,疾病负担将持续加重。中国需以G20国家的经验为“镜”,结合本土化策略,将“预防-检测-治疗”链条无缝衔接,方能在2040年前扭转增长趋势,为全球公共卫生贡献中国智慧。



参考文献:Zhai M, Lei X, Li Y, et al. The trend of AIDS in China: A prediction and comparative analysis with G20 countries based on the Global Burden of Disease Study 2019. J Glob Health. 2024;14(4):04029. DOI: 10.7189/jogh.14.04029.


点分享
点收藏
点点赞