贵州省直近三年省考笔试/面试/总成绩及排名一览表(2022-2024年)

贵州2025年省考笔试成绩已出

查完笔试成绩之后

还要关注最低合格分数线

定是否能进入下一环节(资格复审、面试)

未完成笔试所有科目

或未达到笔试环节成绩最低合格分数线的

不得进入下一环节

此前小编也给大家汇总了

贵州省考笔试历年最低合格分数线

错过的小伙伴点击下方链接补课

👇👇👇


小编还给大家找到了

贵州省直考区2022年-2024年

省考笔试、面试、总成绩及排名数据

一起来看看吧图片图片


贵州省直考区2024年省考笔试/面试/总成绩及排名一览表


图片
图片
图片
图片
图片
图片
图片
图片
图片
图片
图片
图片
图片
图片
图片
图片
图片


贵州省直考区2023年省考笔试/面试/总成绩及排名一览表


图片
图片
图片
图片
图片
图片
图片
图片


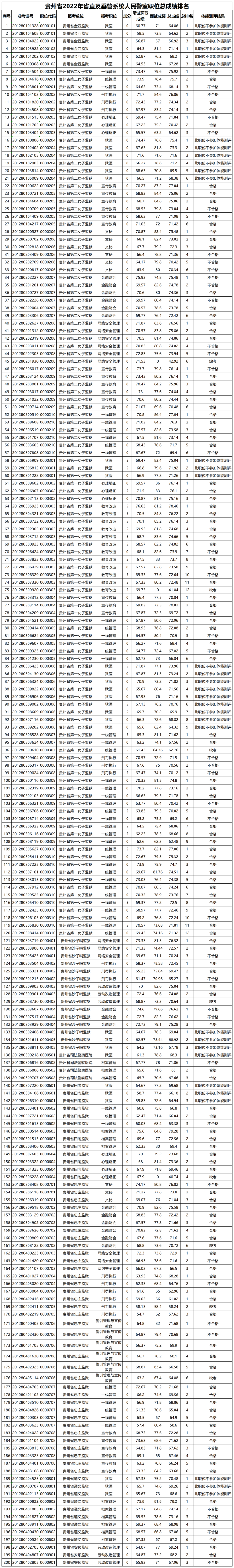
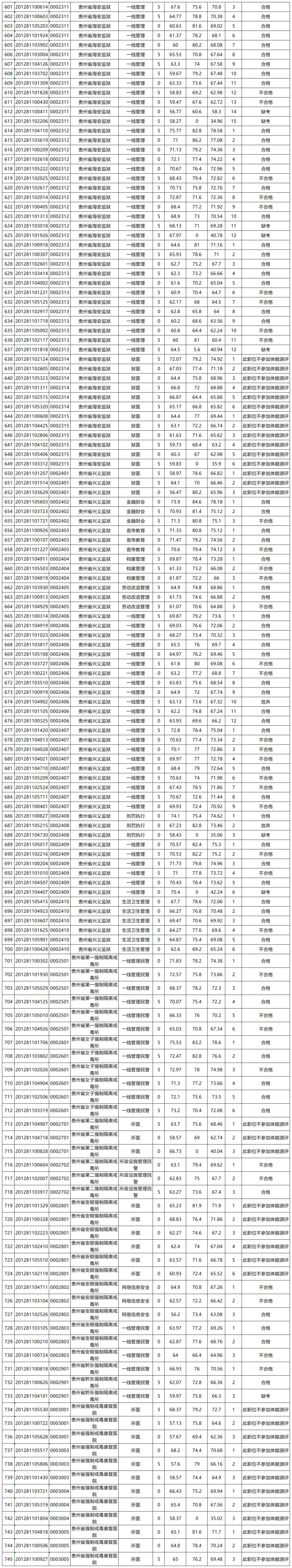
贵州省直考区2022年省考笔试/面试/总成绩及排名一览表


图片
图片
图片
图片
图片
图片


省直及其他市州2023-2024年的

省考进面分数、总成绩排名

小编也给大家做了汇总

关注“贵阳本地宝

在微信聊天对话框

输入并发送省考

即可获取

2025贵州省考笔试成绩查询入口

后续资格复审、进面名单、总成绩及排名

往年进面分数及总成绩排名等


图片



▌声明:本文由贵阳本地宝编辑整理发布,转载请注明

▌编辑:覃秋燕