临床研究成果|北京协和医院眼科牵头全国多中心开发AI模型,有望无创筛查慢性肾脏病


近日,北京协和医院眼科陈有信教授团队牵头全国多中心研究,开发了基于深度学习通过超广角眼底图像预测慢性肾脏病的人工智能模型(UWF-CKDS)。这一研究成果发表在 Nature子刊Npj Digital Medicine 上(中科院1区,IF=12.4),为无创CKD筛查提供了新思路。本研究得到了中央高水平医院临床科研专项等项目的支持。

图片



眼睛被称为“心灵的窗户”,但实际上,眼睛更是观测全身健康的关键“窗口”。现有研究表明,眼部视网膜血管与肾脏、心脏以及脑血管具有解剖、发育和功能上的相似性,不仅能反映全身血管的状态,甚至可以反映肾脏的健康水平。慢性肾脏病已逐渐成为全球重大公共卫生问题,但患者的知晓率仅为12.5%,早期筛查仍面临巨大挑战。目前常规的慢性肾脏病筛查主要依赖抽取血液样本来估测肾小球滤过率,或留取尿液检测尿蛋白,有时甚至需要更具侵入性的肾脏活检,大范围筛查仍面临一定困难。因此,临床上亟需开发无创、便捷且准确的筛查方法和生物标志物。


在既往研究中,陈有信教授团队开发了基于深度学习的NFN+血管分割模型,实现了全自动的视网膜血管识别与参数测量,并发现这些参数与肾功能指标的改变存在显著相关性,这也为依据眼底影像预测肾功能创立了理论依据。在此基础上,团队启动了全国多中心研究,涵盖全国19个省的23家三级医院。研究收集了患者的基线特征、病史、200°超广角眼底图像及肾功能指标。团队还开发了仅覆盖常规55°眼底区域的后极部模型(CTR-CKDS),用以评价200°的超广角眼底图像的预测价值。

图片

▲研究总体技术路线图

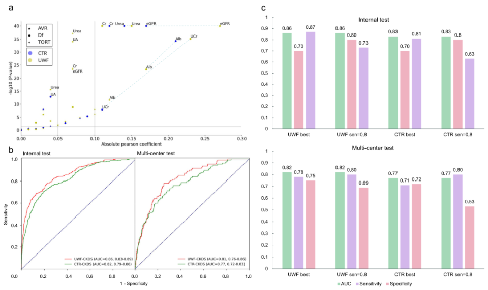
研究结果表明,团队开发的Unet++模块能够全自动且精准地识别测量超广角眼底图像的各种全自动视网膜血管参数,该参数与部分肾功能指标之间存在显著的定量相关性。对比55°后极部图像,200°的超广角眼底图像的相关性更好。


本次多中心测试结果验证了人工智能模型UWF-CKDS用于慢性肾脏病筛查的可靠性,为基于眼底影像进行全身疾病筛查这一新兴领域打下了坚实的基础,并为人群层面的慢性肾脏病无创筛查提供了新思路。

图片

超广角视网膜血管参数与肾功能指标的相关性更强;多中心测试显示UWF-CKDS的效能稳定



图片

共同第一作者:赵欣宇

北京协和医院眼科主治医师,医学博士,临床博士后。近年聚焦息肉状脉络膜血管病变的基础与临床研究,以及人工智能在眼底疾病诊疗中的应用探索。主持开展4项全国多中心研究。以第一作者或通讯作者在Npj Digital Medicine、IOVS、JAMA Ophthalmol、Retina、Am J Ophthalmol等杂志发表论文40余篇,累计影响因子超过200分。作为第二完成人获华夏科技进步二等奖。主持国家自然科学基金青年项目等课题6项。

图片

共同第一作者:古兴旺

北京协和医院2024级眼科专业型博士,师从陈有信教授,课题聚焦人工智能技术在眼底疾病中的应用及息肉状脉络膜血管病变的基础与临床研究。以第一作者身份在Npj Digital Medicine等期刊发表SCI论文4篇,中文核心期刊2篇。

图片

通讯作者:陈有信

北京协和医院眼科主任医师,博士生导师,中华眼科学会常委,北京医师协会眼科专委会会长,国家防盲技术指导组副组长,《中华眼底病杂志》副主编。长期致力于眼底黄斑疾病的临床与基础研究。近年来,聚焦眼科人工智能研究和远程5G眼底激光治疗,任国家药监局医疗人工智能推进平台真实世界研究组组长。发表各类研究论文300多篇,在Nature子刊Npj Digital MedicineLancet Digital Health,BJO等期刊发表AI领域文章近40篇。相关科研成果获国家科技进步奖二等奖、北京市科技进步一等奖、华夏科技进步二等奖等。

图片/眼科提供

编辑/王敬霞

主编/段文利

监制/吴沛新