《自然》:人类肿瘤图谱揭示癌症演化、幻听病人的“阿凡达”疗法、16厘米长的古老蝌蚪 | 一周论文新鲜读

关注+星标🌟,好搭档不错过


11.4

本周值得读

来自《自然》旗下期刊的新近发表,我们为您精选呈现。

1. 生成式AI产生的电子垃圾到2030年或增加近1000倍

2. 目前已知最古老的蝌蚪

3. 揭秘古代牛的遗传史

4. 虚拟形象或提升幻听病人的幸福感

5. 改进DNA数据存储的效率

6. 与野火烟雾有关的人类死亡率上升

7. 肿瘤图谱绘出癌症演化

人工智能 | 生成式AI产生的电子垃圾到2030年或增加近1000倍

E-waste challenges of generative artificial intelligence

Nature Computational Science

《自然-计算科学》发表的一项模型研究显示,生成式AI的日益流行预计将导致电子垃圾(e-waste)的快速增长。如果不采取减少垃圾的策略,作者推断2020-2030年的电子垃圾或累积达120万-500万公吨。


尽管生成式AI在许多科研应用和一些日常任务中非常实用——如生成文本或图像,但它也依赖于硬件架构和芯片技术的快速迭代。生成式AI近来的大量使用产生了更多的电子垃圾(即废弃电子设备的废物流),而这可能对环境有害。


中国科学院的汪鹏和同事通过计算预测了2020年至2030年生成式AI产生的电子垃圾的潜在数量,以大语言模型为主要关注点。这些预测考虑了不同生成式AI生产和应用程度的四种情景,从激进情景(更广泛的应用)到保守情景(更具体的应用)。研究团队预计,假设不采取任何减少垃圾的做法,2030年的电子垃圾流或多达每年250万吨。他们还发现,在AI增长更快 的情景下,生成式AI在2023至2030年产生的电子垃圾总量可能多达500万吨。汪鹏和同事还预计,在此情景下,产生的电子垃圾或包含150万吨印刷电路板和50万吨电池,这些可能含有铅和铬这类有害材料。作者认为,采取循环经济策略(延长现有架构的寿命以及/或在再生产过程中重复利用关键模件和材料)或让产生的电子垃圾减少86%。


研究结果表明,必须开展负责任的生成式AI使用和积极的电子垃圾管理策略,以减少污染的有害影响。


图片

我们的计算动力驱动物质流分析模型的分层框架,以及在不采取干预措施的情况下,与大语言模型相关的相应垃圾产生结果。来源:Wang, et al.

DOI:10.1038/s43588-024-00712-6

演化 | 目前已知最古老的蝌蚪

The oldest tadpole reveals evolutionary stability of the anuran life cycle

Nature

《自然》本周描述了一个1.61亿年前的蝌蚪化石,这是迄今已知最古老的蝌蚪,这一发现为蛙和蟾的演化带来了新见解。


蛙和蟾属于两栖动物无尾目。它们都有典型的二阶段生命周期,水生的蝌蚪幼体会经历变态成为成体。成体蛙化石记录可追溯至晚三叠纪(约2.17-2.13亿年前),但尚未发现过白垩纪前(1.45亿年前)的蝌蚪记录。


阿根廷迈蒙尼德大学的Mariana Chuliver和同事描述了一个保存完好的化石蝌蚪Notobatrachus degiustoi,它来自中侏罗纪(约1.68-1.61亿年前)的巴塔哥尼亚。头部、大部分身体和部分尾部可见,眼睛、神经和一个前肢亦清晰可见,表明这只蝌蚪已在变态的最后阶段。这些形态共同表明,今日蝌蚪的主要特征——如滤食系统——在约1.61亿年前的早期无尾目中就已经演化出来。这一蝌蚪体长据估近16厘米,非常巨大。过去在同一地点曾有记录的许多成年N. degiustoi 蛙也被认为体型巨大。大体型在无尾目历史中曾多次演化出来,但这项研究表明,这个物种是少数几种蝌蚪和成体都很大的蛙之一。


作者总结说,这一新样本的发现表明蝌蚪体型结构的关键特征在无尾目演化早期已经出现,意味着大约在1.61亿年前,无尾目已经出现了明显变态的二阶段生命周期。


图片

巴塔哥尼亚侏罗纪中期池塘中的 Notobatrachus degiustoi 的蝌蚪和成虫。作者Gabriel Lío

DOI:10.1038/s41586-024-08055-y


演化 | 揭秘古代牛的遗传史

The genomic natural history of the aurochs

Nature

原牛是家牛的野生祖先,原牛的遗传史揭示了它们的复杂祖先和在欧亚大陆及北非的迁徙。这项发表于《自然》的研究报道了四种有着独特遗传轨迹的原牛种群,帮助我们进一步了解牛的驯化。


原牛是一种在野外生活的大型牛科动物,早期出现在65万年前,但已经灭绝了400年。他们对史前欧亚大陆和北非生态系统十分重要,它们的后代数千年来一直在为人类提供食物和劳动力。牛目前占到地球哺乳动物生物量的约三分之一。不过,关于它们古代祖先的基因组历史仍不确定。


爱尔兰都柏林圣三一大学的Daniel Bradley和同事分析了38个古代原牛基因组,以追溯欧洲、西南亚、北亚和南亚种群的演化路径,时间跨度为4.7万年。他们发现,这些祖先对气候变化和人类压力的反应各有不同。比如,欧洲的原牛在约2万至2.6万年前的末次盛冰期出现了严重种群瓶颈,在重新定居到伊比利亚以西的欧洲大陆之前,一直局限在欧洲南部。西南亚的原牛在早期新石器时代的驯化后对家牛品种的遗传贡献更大


研究结果帮助我们了解这些古代动物的遗传祖先。作者认为,进一步研究可以探索它们的基因遗传如何影响了现代牛的性状以及韧性。


图片

72个古老原牛基因组的时间、地理和遗传位置。来源:Bradley, et al.

DOI:10.1038/s41586-024-08112-6


精神健康 | 虚拟形象或提升幻听病人的幸福感

Digital AVATAR therapy for distressing voices in psychosis: the phase 2/3 AVATAR2 trial

Nature Medicine

对于能听见令人痛苦的声音的精神病患者来说,一种名为AVATAR的新型干预疗法能让他们与所听到声音的一个虚拟化身互动,或可在短期内改善与声音相关的痛苦感受。研究结果基于一项对345名受试者开展的随机对照试验,发表于《自然-医学》。


能听见令人痛苦的声音是一种精神病症状,会影响个人生活质量,但药物治疗和认知行为疗法这类传统手段有时并没有效果。


英国伦敦国王学院的Philippa Garety和同事对能听见痛苦声音的英国成年精神病患者开展了试验,测试在常规疗法之外结合两种形式的AVATAR疗法的有效性。接受AVATAR疗法的受试者或被分配接受短期版本(AVATAR-Brief)——面对的虚拟化身能增强他们的自信和自尊,或被分配接受长期版本(AVATAR-Extended)——基于受试者生活史的一组更个性化的对话。定制软件能让受试者对虚拟化身的外表和声音进行自定义。


作者发现,与只接受常规疗法的人相比,接受AVATAR-Extended疗法的患者报告在16周而不是28周时出现了声音相关痛苦和声音严重程度的改善,在16周和28周时都出现了声音频率的下降。AVATAR-Brief也与痛苦和声音严重程度改善相关,但改善程度略低于预先设定的临床显著性。接受AVATAR-Brief疗法的人的完成率(82%)高于接受AVATAR-Extended(58%)的患者。这两种AVATAR疗法形式都与16周时的情绪和焦虑改善以及幸福感持续提升和康复有关。整体上,AVATAR-Extended能产生更大范围的积极效果,而且这些效果似乎更强,持续时间更长。


研究结果表明,AVATAR疗法与标准疗法相结合,或让能听见痛苦声音的精神病患者的声音相关症状得到好转。


DOI:10.1038/s41591-024-03252-8

本论文开放获取

纳米技术 | 改进DNA数据存储的效率

Parallel molecular data storage by printing epigenetic bits on DNA

Nature

《自然》近期发表的一篇论文描述了一种基于DNA的数据存储新方法,或可提高将数据写入DNA的速度和成本效益。在该技术的演示中,将一张中国拓片的图像(16833比特)和一张熊猫照片(252504比特)存储进了DNA,可以被准确地印刷和检索出来。这个技术有望为可持续、高密度数据存储技术不断增长的需求提供可规模化的解决方案。


传统硅基材料存储难以满足日益增长的数据存储需求,推动了人们寻求新的存储解决方案。DNA因其超高存储密度和耐用性,显示出作为颇有前景的存储介质的潜力。但传统DNA数据存储方法依赖于从头合成DNA序列,这个过程十分费时、昂贵且易于出错。


美国亚利桑那州立大学的颜颢和同事从自然发生的甲基化(DNA的表观遗传修饰)得到灵感,提出了一种无需合成的方法,用通用DNA模板中碱基的选择性甲基化来编码数据。这种称为“表观比特(epi-bits)”的方法,类似于传统的比特,以两个二进制值中的一个(0或1)来存储信息,对应碱基是否甲基化。作者报告每个反应的写入输出为350比特,远远超过依赖DNA从头合成的数据存储系统每个反应约1比特的输出量。


这一方法可用于存储图像和文本。此外,作者报告说,60位没有专业生物实验室经验的志愿者用这个方法成功地编码了文本数据,展现出它的可靠性和可用性。


图片

表位DNA存储示意图。来源:Zhang,et al.

DOI:10.1038/s41586-024-08040-5

本论文开放获取

气候变化 | 与野火烟雾有关的人类死亡率上升

Attributing human mortality from fire PM2.5 to climate change

Nature

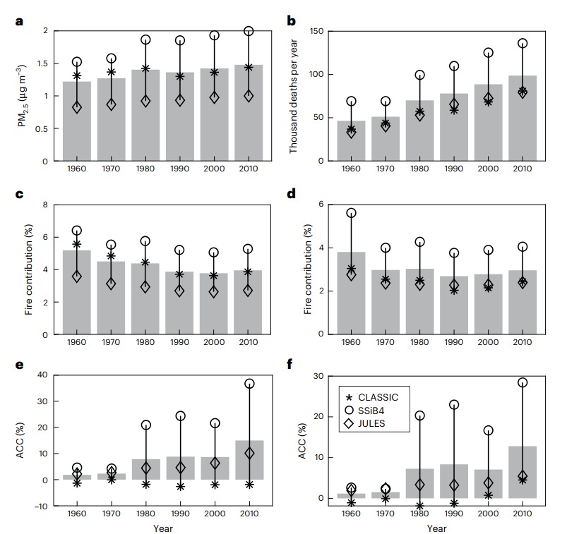
《自然-气候变化》发表的一项建模研究认为,从20世纪60年代到21世纪10年代,气候变化可能使野火烟雾相关的人类死亡比例增加了约十倍。南美洲、澳大利亚、欧洲和亚洲北方森林是死亡率水平更高的地区。


森林火灾烟雾和其中的微小颗粒物(称为PM2.5,即小于或等于 2.5 微米的颗粒物)”已知会对人类健康造成威胁,新兴估计认为,全球每年约有多达98748人死于与火灾有关的烟雾。在过去数十年间,积极的火灾管理和灭火活动减少了火灾;但气候变化延长了火灾多发季节,增加了全球的燃烧面积。


日本国立环境研究所的Chae Yeon Park和同事用三种火灾-植被模型研究了全球在1960年至2019年间的危险火灾排放变化。他们比较了重现历史观测数据的模拟结果和排除历史气候变化、作为对照的假设模型。Park和同事发现,在20世纪60年代,大约1-3%的火灾死亡人数可归因于气候变化,而到了21世纪10年代,这一数字约为5-28%,具体数字取决于所使用的模型。这使得气候变化导致的超额死亡预计从20世纪60年代的不到669例增加到21世纪10年代的12566例。可归因于气候变化的火灾增加大多发生在热带森林和草原、北美温带森林、欧洲地中海森林以及北方森林附近。由于大气运输和人口暴露的影响,可归因的死亡主要发生在南美洲、北半球非洲、欧洲,以及亚洲北方森林附近。


作者承认,由于包括燃料供应和气候模式等一些变量的存在,要在全球范围内找到气候变化和火灾(及从中产生的颗粒物)的直接关联很难。但他们认为,他们在某些区域建立起了气候变化和火灾死亡间的明确关联。同样,Park和同事提出,研究中用到的三个模型尽管在颗粒物与死亡率关系中体现出不同归因水平,但所有三个模型在特定地区都显示出一致的趋势。


图片

全球火灾相关PM2.5,其死亡率和ACC(气候变化归因)。来源:Park, et al.

DOI:10.1038/s41558-024-02149-1

本论文开放获取

癌症 | 肿瘤图谱绘出癌症演化

Human Tumor Atlas Network

Nature Portfolio

自然系列期刊发表了人类肿瘤图谱网络计划(HTAN)的论文合集,呈现了肿瘤及其周边环境的图谱,其中包括乳腺癌、结肠癌和胰腺癌,为肿瘤生物学带来了新见解。这一合集涵盖各种肿瘤类型,有助于分析肿瘤的产生和演变。


图片


DOI:immersive/d42859-024-00059-y


HTAN于2018年启动,旨在构建人类肿瘤演变中细胞、结构和分子特征的三维图谱。这些图谱有助于识别肿瘤发生、进展和耐药的基本生物过程。


这一前沿论文合集分析了近2000名患者的超过20种肿瘤起源,为肿瘤结构和细胞相互作用提供了全面的分析。研究对象包括乳腺癌、结肠癌、胰腺癌、肾脏癌和子宫癌症。合集中提出了多项新发现。例如,研究提出证据支持了由多个细胞共同引发结直肠肿瘤的模型,推翻了过去认为这类癌症起源于结肠粘膜单个细胞的观点。此外研究人员还发现了转移性微环境在促进肿瘤演变和产生治疗抗性中的作用。这些工作还带来了用于深入分析这些图谱的新工具和新方法的开发,有助于未来继续深入研究癌症。

Tumour evolution and microenvironment interactions in 2D and 3D space

DOI:10.1038/s41586-024-08087-4

本论文开放获取

Temporal recording of mammalian development and precancer

DOI:10.1038/s41586-024-07954-4

本论文开放获取

Polyclonality overcomes fitness barriers in Apc-driven tumorigenesis

DOI:10.1038/s41586-024-08053-0

本论文开放获取

Polyclonal-to-monoclonal transition in colorectal precancerous evolution

DOI:10.1038/s41586-024-08133-1

A multi-modal single-cell and spatial expression map of metastatic breast cancer biopsies across clinicopathological features

DOI:10.1038/s41591-024-03215-z

本论文开放获取

转发

点赞

在看


本周论文哪篇启发了你?评论区pick你印象深刻的一篇论文以及原因吧!


截止下周一(11月11日)12:00,我们将选出更有诚意的评论寄出小礼品哦~🌟


2025年浙江大学医学院附属邵逸夫医院全球人才招聘,诚邀海内外才俊!| 推广


版权声明: