DNF韧性系统评测,GPS耳环该带吗?

作者:绝唱唱
本文基于韩服视角下测试与解读,如有观点与事实不符、翻译错误,欢迎捉虫!
虽然这个赛季的装备系统已经完结,但是作为贯穿整个版本的韧性条系统预计在下个重泉版本中继续保留,特此分享!
省流结论:
1、对于辅助角色的控制设置,建议将每秒韧性条减少量 (GPS) 设定为35以上
2、控制类异常状态的削韧能产生与其他四类合并后的相当的破韧能力,因此要确保触发控制类异常状态
3、除非战斗中需要触发两次以上的虚弱,否则不建议使用GPS耳环。
韧性条减少方法与计算公式介绍
图片
图片
官方目前给出的削韧方式如下:
图片
★ 根据角色技能面板攻击力的比例来增加/减少韧性条的减少量
共有5种方法,通常情况下,增益职业(Buffer)会使用除了“伤害型异常状态”之外的其他4种。
图片
韧性条减少量是加算叠加的,会影响所有类型的破韧数值。
1. 所有攻击
图片
对于增益职业来说,会根据角色技能的面板攻击力改变韧性条的减少量。
图片
增益职业的核心增益会增加自身的技能攻击力,并影响“所有攻击”类的韧性条减少。
图片
虽然特定物品的技能攻击力百分比增加会影响无力化槽减少,但物品和装备特性中增加的最终伤害和攻击力对韧性条减少没有影响。
可以通过装备特定物品时,技能面板伤害的变化来确认这一点。
以阿修罗的三绝(4级视角)技能测试为例
图片
图片
2. 对应弱点的伤害型异常状态如果怪物存在出血、中毒、灼伤、感电等伤害型异常状态弱点,使用这些异常状态攻击时会减少韧性条。
通过对韧性条为100的怪物使用相同技能(战斗法师的4级三绝)确认以下结果:
图片
图片
3. 控制型异常状态
图片
这包括除了出血、中毒、灼伤、感电之外的异常状态。
总共有9种异常状态:冰冻、减速、眩晕、诅咒、黑暗、石化、睡眠、混乱、束缚。
无论类型如何,都会减少0.9的无力化槽。
冰冻、眩晕、石化、睡眠属于硬控(Hard Control),虽然它们不能同时生效,但这里无需关心。
当控制型异常状态触发成功时(无论免疫与否,状态异常概率达到100%为基准),会减少韧性条。
因此,即使控制型异常状态的触发条件(如多个装备的冰冻效果)重复触发,也没有问题。
部分角色的技能自带控制型异常状态的触发判定(如小魔女的“痛苦庭院”),同样可以减少韧性条。
图片
图片
4. 控制型异常状态弱点
图片
如果特定控制型异常状态是该怪物的弱点,那么韧性条会额外减少。
这与9种控制型异常状态相同,无论类型,都会减少0.9的无力化槽。
如果装备下装的对应弱点韧性条减少量+200%的词条,则韧性条的减少量会提升至3倍。
怪物通常只会有部分控制型异常状态作为弱点,或者根本没有控制型异常状态弱点。
因此,“雾之意志追随者”的[弱点攻略]选项是必不可少的。
图片
5. 控制技能
图片
仅针对控制技能,下装的“控制韧性条减少量 +n%”选项可以生效。
但控制技能分为控制部分和所有攻击部分,该选项仅影响控制部分。
通过圣骑士的二次觉醒救赎彼岸:惩戒圣枪可以确认这一点。
图片
此技能的控制部分(技能释放即刻)与所有攻击部分(投掷枪后爆炸的时刻)完全分开。
通过对韧性条为100的怪物使用相同技能(救赎彼岸:惩戒圣枪Lv7)确认以下结果:
图片
6、番外篇
怪物机制(如白云溪谷的收集器)等减少的韧性条的效果独立生效,不受减少量增加词条影响,始终以固定数值减少。
韧性秒伤预期计算
每秒韧性条减少预期值计算
仅计算控制类型的异常状态和弱点类型异常状态所减少的数值。
所有攻击、伤害型异常状态、控制等,无论是增益职业还是输出职业都会受到影响,由于变量太多,暂不计算。
反正最终都要叠加,因此计算最小值即可。如果韧性条过高,可以自行调整。
图片
图片
图片
图片
图片
组合A
图片
效果很差,最好不要使用这种配置。
组合B
图片
图片
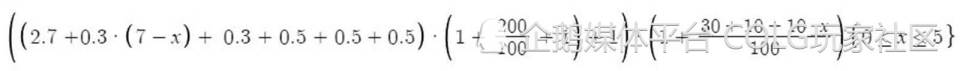
x = 辅助装备和魔法石上破韧减少量 +10% 选项的数量
推荐根据自身冷却减少情况调整辅助装备/魔法石的选项。
GPS:38.3 ~ 40.8
只要不是某些特定的组队类型,基本上可以实现破韧,是一个冷却减少和增益效果平衡的配置,即使没有太初套装也能用,强烈推荐。
组合C
图片
图片
x = 辅助装备和魔法石上破韧减少量 +10% 选项的数量
极限无力化配置。
GPS:66.9 ~ 68.1
如果不需要进行第二次破韧,必须控制破韧效果。虽然装备了超小型GPS,但损失了大量增益量效果,这样的装备配置是否有必要,还需要进一步考虑。
各怪物韧性条信息
整理了各个怪物的韧性条数值。
基于GPS计算,可以预测战斗开始后大约在几秒钟内能触发无力化效果。
但是,GPS数值中并未考虑增益(buff)或队友的技能及控制等导致的韧性条减少,阅读时需注意这一点。
图片
测量采用了通常已知的测量方法——“熔丝项链”。
当“-10效果”触发10次导致破韧时,认为韧性条为100。
在训练场中根据1人和2人不同的条件进行了测试。根据1人、4人平衡(如军团等)以及1人、2人、3人、4人平衡(如普通地下城、高级地下城)韧性条随着人数存在变化。
然而,在某些副本中只应有4人平衡,但仍存在部分1人平衡怪物(如雾神、洛佩斯等)。
在后半部分,某些怪物的韧性条太大,因此使用了稻草人。(每次召唤时在30秒内减少27点无力化槽)
另外,由于冒险图鉴收藏不足,无法召唤部分怪物,或是训练场未提供相关怪物,导致无法确认准确数值的怪物已经省略或以推测值记录,请参考。
图片
方法在上面已经详细说明了,有兴趣的可以自行测量。
此外值得说明的是
图片
测试结果4种拉尔戈韧性条是相同的
特别说明,战斗法师的三次觉醒1次破韧量 > 其他所有技能1次使用的破韧量。
图片
测量破韧能力时,选择了一个技能能极大削减韧性条的职业。
但是,旅人即使使用三次觉醒,削减的韧性条也不足10,不清楚为什么不同技能的攻击力系数差异如此之大。
图片
以上就是本次评测的全部内容,勇士们的辅助职业会换破韧流吗?
图片