手机天气预报,为什么只有 15 天?

巴黎奥运会的开幕式,小伙伴们都看了吧。
给老狐印象最深的,不是把央视解说干沉默的大胆画面,也不是辣眼睛的蓝精灵,而是影响了现场演出效果的雨。
图片
可能很多人不知道,在 16 年前的北京奥运会,原来天气预报有雨,通过人工消雨,保证了北京奥运会精彩的表演。
天气预报对人类生产生活的影响毋庸置疑。
往大了说,它影响着农业、工业的生产、活动的组织,农民安排农事、企业安排生产,包括像奥运会开幕式这样重要的活动,天气预报都有非常重要的指导意义。
图片
往小了说,天气预报决定了老狐上班穿的是足力健还是洞洞鞋。
正因为天气如此重要,电视上的天气预报就成了许多人每天必看的电视栏目,《渔舟唱晚》的 BGM,是很多人共同的回忆。
不知道大家注意到没,央视天气预报,预测的天气只有明后两天的信息。
图片
在手机上,天气预报更长,不管是手机自带插件还是第三方 App 上,都提供了 15 天内的信息,iOS 是个例外,只有 10 天。
而如果想要把预测时间再往上提升,受到混沌理论的限制,想要精确就比较难了,安卓手机虽然有 90 天的预测,但也是以十天为单位,没有更详细的天气变化。
图片
难道气象学家就没有办法更长时间地精准预测天气吗?
去年,华为盘古气象大模型预测天气准确率更高的论文登上《自然》杂志,前段时间,谷歌的天气预报模型 Neural GCMs 也登上《自然》杂志,用 AI 预报天气目前是一个很火的赛道。
图片
准确预测天气变化的需求,古人就有,他们没有精密仪器测量,而是搞玄学。
在出土的商朝甲骨文上,记录了古人通过占卜来预测天气,这是目前关于天气预报最早的文字记载。
图片
可以想象这肯定不靠谱。后来,古人通过观察各种现象,总结经验,找出天气变化规律。
老祖宗们还留下了不少谚语,帮助人们预测天气,像是天上钩钩云,地上雨淋淋;或者雨后东风大,来日雨还下;喜鹊枝头叫,出门晴天报等。
通过大量观察,由经验得出规律,在某种程度上也可以称为统计预测法,但是这种方式缺乏理论依据,难以满足科学发展需要。
这就好比人建造房子,如果缺少科学的数据,凭着感觉造,建造两三层楼可能没问题,但建造高楼大厦就可能是危房。
现代气象学发展的关键人物,是挪威的物理学家威廉·皮叶克尼斯,他在 1905 年提出了用数学思想来描述大气的运动状态,给出了大气运动的方程组,开启了现代气象研究的大门。
1910年,威廉·皮叶克尼斯开始在天气图上绘制流线,通过收集到的地面与高空观测资料,他提出了中纬度气旋发展的气旋模型和极锋理论,也就是下图这个。由此形成了包括天气学理论、天气图分析和预报方法的完整体系。
图片
这里有个重要的天气预报方法就是天气图预测法,这种方法通过预报员利用天气图等各种图表,基于天气系统的演变历史,再结合物理学、气象学和个人经验,来预测天气接下来的变化。
不过现在的天气预报没有采用天气图预测法,而是采用了数值天气预报。
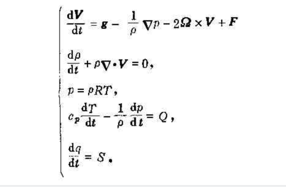
前面提到,威廉·皮叶克尼斯给出了大气运动的原始方程组,这也成为了数值天气预报的基础。
大气运动方程组包括运动方程、连续方程、热力学方程、水汽方程和状态方程。
图片
所谓数值天气预报,就是依据已知的大气温度、湿度、压力等初始条件,解方程组,求出未来大气的温度、湿度、压力等数据。
大家别慌,老狐不是想教会大家解这个方程,只要知道有这个方程就行了。
解这组方程有多难呢?英国科学家理查森在 1910 年曾试图用这个方程组计算 6 小时内某个地点的气压变化,因为当时对数据处理不对,导致结果错误。
如果想要预报全球的天气变化,按照理查森的设想,在一个模仿地球的巨大球形建筑里,把地球划分成许多小的区域,每个人负责计算一个区域的天气变化,一共需要 64000 人。
图片
后来有人指出理查森又搞错了,并且更正了真正需要的计算人数—— 204800 人。
直到 1950 年,气象学家查尼用世界第一台计算机 ENIAC 成功模拟出第一个与实际相符的数值预测结果,他预测的是 24 小时后的天气预报,计算过程刚好也花了 24 个小时。
听着像是做了无用功,但这意味着数值天气预测可以业务化,意义重大。这就好比你毕业刚工作,每个月工资刚好够付房租和伙食,但对自己来说,这是真正独立的开始。
如今的数值天气预报,气象数据更加精细,也更加全面,以我国为例,一年前,我国一共有 7 个大气本底站、27 个气候观象台、近 7 万个地面自动气象观测观察站,120 个高空气象观察站,242 部新一代天气雷达,还有 7 颗在轨运行风云气象卫星。
图片
*风云卫星全球影像
所以,现在的天气预报不仅是温度、压力、湿度这些数据,还能预测能见度、雷电、台风走向,甚至包括冰雹、龙卷风这样的局部极端天气。
海量的数据,只能依靠最先进的超级计算机。像我国之前的天河一号,现在的神威计算机都在气象研究上发挥了重要作用。
数值天气预报目前最领先的机构是欧洲中期天气预报中心,也就是华为盘古气象大模型那篇论文里频繁提到的 ECMWF。
图片
*ECMWF天气预报图
先解释一下这里的“中期”: 0-12 小时内的天气预报被称为短时天气预报、3 天以内的叫短期天气预报,4-10 天是中期天气预报。
下图是 ECMWF 在半个标准大气压高度(海拔约5500m)上预报水平的演变,粗线是北半球,细线是南半球。3 天、5 天和 7 天的预测水平都有显著提高,而 10 天以上的天气预报,目前只能说有一定的参考价值。
图片
所以手机上的天气预报 App,最长只提供了 15 天的天气数据,数值天气预测的有效性,被限制在中期这个时间尺度里。
数值天气预报的核心思想可以说是“机械论”,机械论认为,只要掌握大自然所有组成部分的相对位置,就能通过计算概括所有物质的运动。
但是,后来的气象学家洛伦兹发现,大气运动存在混沌现象,限制了天气预报的准确性。
图片
大气系统是一个非常复杂的线性系统,对各种误差极为敏感,观察的数据、模式初始化以及计算精度的细小误差,都会在计算过程中被不断放大。
洛伦兹关于混沌现象更知名的解释是“蝴蝶效应”——一只南美洲的蝴蝶扇动翅膀,结果可能引发美国德克萨斯州的一场龙卷风。
而如今正如火如荼发展的 AI 天气预报,能消除混沌现象的干扰吗?AI 并没有消除,而是想办法绕过这个坑。
与数值天气预测的基础是物理模型不一样,AI 天气预报是一种统计预测法,通过对过去大量全面充分的气象数据样本进行分类归纳,总结出规律。逻辑上来说,其实跟古人总结天气经验十分相像。
图片
只不过想要归纳海量数据,把这个工作交给了 AI,数据越多,预测结果越准确。
比如盘古大模型,利用欧洲中期天气预报中心在 1979 到 2017 这 39 年间测得的气象数据进行训练,再用 2019 年气象数据进行验证,并用 2018 年的气象数据进行测试。
测试结果显示,在七天内,盘古气象大模型预报的每一个天气变量的均方根误差,比中期欧洲天气预报中心的综合预报系统低 10%,比高通的 AI 模型 FourCastNet 要低 30%。
图片
在台风轨迹预报方面,论文用 2018 年 25 号和 26 号台风进行了比较,结果显示,盘古气象大模型具有明显优势。
图片
欧洲中期天气预报中心在官网一篇文章为自己进行了辩论,拿了另一个台风举例,意思就是咱两预测轨迹都接近,但是你中心风速预测没有我准确。
图片
这篇文章也对 AI 天气预测进行了肯定,但是这里你会发现,FourCastNet 又出现了,然后,它的表现直接被忽视。
FourCastNet 作为 AI 天气预测的前辈,被后浪拍死在沙滩上。
与华为盘古气象大模型不同,谷歌最新的 Nueral GCMs 是一个混合模型,核心分为两部分,一部分是像数值天气预测那样,由动力学方程模拟大气运动过程中的流体动力学和热力学;另一部分是机器学习,由神经网络解决一些无法用数理原理模拟的过程。
不过,在更长时间范围,比如 10-15 天的天气预测效果上,盘古大模型没有提及,另外一个国产的伏羲气象大模型在论文中提及 15 天的预测性能,与欧洲中期天气预测中心接近。
图片
AI 天气预报,尤其是大模型天气预报的另一个优势是节能。
经过大量训练后的盘古气象大模型,能在 10 秒内完成全球 7 天重要气象要素的预报,计算速度比数值天气预报快 10000 倍以上。
数值天气预报要用到的超级计算机,每小时的耗电量超过 2 万度,相当于一座小城镇的耗电量。
图片
人工智能已经显示出在天气预报方面巨大的潜力,但并非要淘汰传统的数值天气预报,未来更可能是两种模式共存,像谷歌的 Nueral GCMs 那样,两种模式合作,互为补充。
如果未来,天气预报的精度和预测水平能进一步提高,精准预测暴雨、龙卷风、冰雹等破坏力强的天气,人们有足够时间为灾害做足准备,那么生命和财产的损失将会大大降低,这也是无数气象科学家努力奋斗的目标。
老狐期待这一天的到来。
参考资料
河南日报:3000多年前的“天气预报”,商人如何“占卜”?
浙江天气网:浅谈天气谚语
科创中国:天气预报竟然是这样“算”出来的
徐小峰:从物理模型到智能分析——降低天气预报不确定性的新探索
杜钧,钱维宏:天气预报的三次跃进
《nature》:Accurate medium-range global weather forecasting with 3D neural networks
《nature》:Neural general circulation models for weather and climate
ECMWF:The rise of machine learning in weather forecasting
中国国防报:超级计算机性能知多少
编辑:饿羊羊
图片