针灸改善帕金森病患者睡眠质量:广州中医药大学团队取得突破

01

帕金森病,作为一种常见的神经退行性疾病,不仅影响患者的运动能力,还常常伴随着睡眠障碍等问题。而今,广州中医药大学的研究团队在改善帕金森病患者的睡眠质量上取得了显著进展。

帕金森病患者常常遭受睡眠障碍的困扰,这不仅与疾病本身有关,也可能是药物治疗的副作用。睡眠问题严重影响了患者的生活质量和疾病进展。

由广州中医药大学第一附属医院庄礼兴教授带领的研究团队,在《JAMA Network Open》上发表了一项重要的临床研究成果。这项研究基于随机对照试验,证实了为期四周的针灸治疗能显著提升帕金森病患者的睡眠质量,并且这种效果至少可以持续到治疗后的第八周。

图片

02

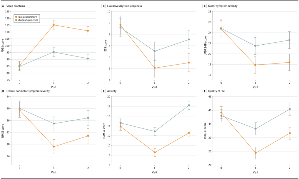
该研究招募了83名帕金森病患者,他们被随机分配到接受真针灸(RA)或假针灸(SA)治疗的组别,疗程均为四周。研究的主要终点是帕金森病睡眠量表(PDSS)评分的变化。结果显示,在治疗的第四周,接受真针灸的患者的PDSS评分较基线提升了29.65,而接受假针灸的患者仅提升了10.47。在随访的第八周,真针灸组的改善效果仍然显著优于假针灸组。

具体来说,研究最终包括了78名完成治疗并参与分析的患者,平均年龄为64.1岁,其中男性41名(占52.6%),女性37名(占47.4%)。在治疗开始时,RA组和SA组的PDSS评分相近,分别为85.6分和85分。

图片

治疗4周后以及8周随访时,两组患者的睡眠质量都显示出了显著的改善。具体来看,在治疗结束后的第4周,RA组的PDSS评分较基线提高了29.65分(P<0.001),而SA组提高了10.47分(P<0.001);到了随访的第8周,RA组的评分较基线提高了25.35分(P<0.001),而SA组的提高幅度仅为5.68分(P<0.001)。

结果清楚地表明,真正的针灸治疗具有长期的疗效,而模拟针灸的疗效则不具备持久性。简而言之,尽管针灸治疗可能在短期内产生安慰剂效应,但真正的针灸在提升帕金森病患者的睡眠质量方面,确实展现出了长期且显著的效果。

这项研究结果强有力地表明,针灸可以作为治疗帕金森病患者睡眠相关问题的有效辅助手段。这对于当前治疗方案有限且存在副作用的情况来说,无疑是一大福音。

03

期待这项临床研究成果能早日在临床治疗中得到广泛应用,帮助改善帕金森病患者的睡眠质量和整体生活质量。同时,我们也期待未来能有更多关于针灸治疗的长期随访数据,以进一步验证其疗效和安全性。

参考

Yan M, et al. (2024). Acupuncture and Sleep Quality Among Patients With Parkinson Disease: A Randomized Clinical Trial. JAMA Netw Open. doi:10.1001/jamanetworkopen.2024.17862