戒烟的好处惊人!NEJM最新:戒烟10年及以上,死亡率几乎与从未吸烟者无差!
梅斯医学MedSci
2024-06-17 07:30
发布于上海
梅斯医学MedSci官方账号
“吸烟有害健康”是人人都懂的道理。不仅有害自己的健康,还会影响到身边被迫吸“二手烟”的亲朋好友。
我国统计数据显示,2023年我国烟民人数超过了3.5亿,而被动吸烟的人口高达7.4亿;而每年因烟草失去生命的高达100多万人,甚至超过了艾滋病、结核病、交通事故以及自杀死亡人数的总和。
当然,全球数据也不容乐观。长期吸烟会损害口腔和肺部健康,导致心脑血管疾病,以及诱发癌症等等;同时还是全球过早死亡的主要原因,造成每年500万-700万人死亡。
在沾染上烟瘾之后,相信烟民们或多或少有过这样的想法,“抽完这根,我就戒烟!”。但戒烟之难难于上青天,戒烟的过程真的太痛苦了,加上其好处无法在短期内直观地感受到,很多人最终放弃了。
但近日,
NEJM Evidence
上最新刊登的研究让戒烟的好处“具像化”——
第一,戒烟好于不戒烟,越早戒烟越好。数据显示,
如果40岁之前能成功戒烟并保持约3年时间,女性和男性的死亡风险将分别降低95%和90%。
第二,10年以上戒烟或能“逆转”吸烟危害。
无论烟民年纪多大,与持续吸烟的老烟枪相比,不到3年的戒烟就能避免5年的寿命损失;而10年及以上的戒烟则能避免大约10年的寿命损失,使其死亡率接近未吸烟者。
总结来说,戒烟好过不戒,早戒好过晚戒。
DOI: 10.1056/EVIDoa2300272
为了得到广泛适用的结果,研究者统计了1974年至2018年期间来自美国、英国、挪威和加拿大四国的148万成年人吸烟情况,年龄覆盖20至79岁。最终,在14.8年的随访期间记录到122,697个死亡案例。
全部受调查者中,男性为“老烟枪”的概率更高。在当前吸烟的男性中,有32.4%为重度吸烟者,每日吸烟根数达20根及以上;而该比例在女性中仅为19.8%。
“点燃香烟的那一刹那,你也点燃了死亡的导火索”。吸烟提升死亡率并非新闻,
与从不吸烟的相比,现在仍抽烟的女性参与者的全因死亡风险是前者的2.8倍,而男性约是2.7倍。
具体疾病来看,吸烟会大大增加死于呼吸系统疾病的风险,女性和男性的风险分别升高至7.6倍和6.3倍。其次为血管疾病和癌症,死亡风险约增加2.8-3.1倍。
但值得一提的是,吸烟对于女性的危害更大,女性重度吸烟者的总死亡风险略高于男性。
基础信息情况
既然吸烟会大大增加死亡率,那么“迷途知返”后的戒烟还能使健康“重回巅峰”吗?
考虑到“复吸”的情况,研究者以“戒烟小于3年”作为衡量戒烟短期益处的可靠指标。
结果显示,
40岁及以下短期戒烟,参与者的死亡率接近于从不吸烟者,女性和男性的超额死亡风险分别降低95%和90%。
而在50-59岁期间戒烟,女性和男性的超额死亡风险分别降低63%和54%;而到了60-79岁再戒烟,超额死亡风险则降低了40%和33%。
换言之,戒烟戒得早,益处更明显!如果能在40岁之前成功戒烟,仅需3年时间就能使健康回到“巅峰”。
当然,更长时间的戒烟,健康也能更好地“修复”。数据显示,在50-59岁的女性和男性中,戒烟3-9年后的超额死亡风险分别降低72%和64%,该数值高于3年戒烟者;
而如果能坚持戒烟10年及以上的话,超额死亡风险将分别降低95%和92%,几乎达到未吸烟者的水平。
男性/女性在不同年龄段戒烟的超额死亡风险差异
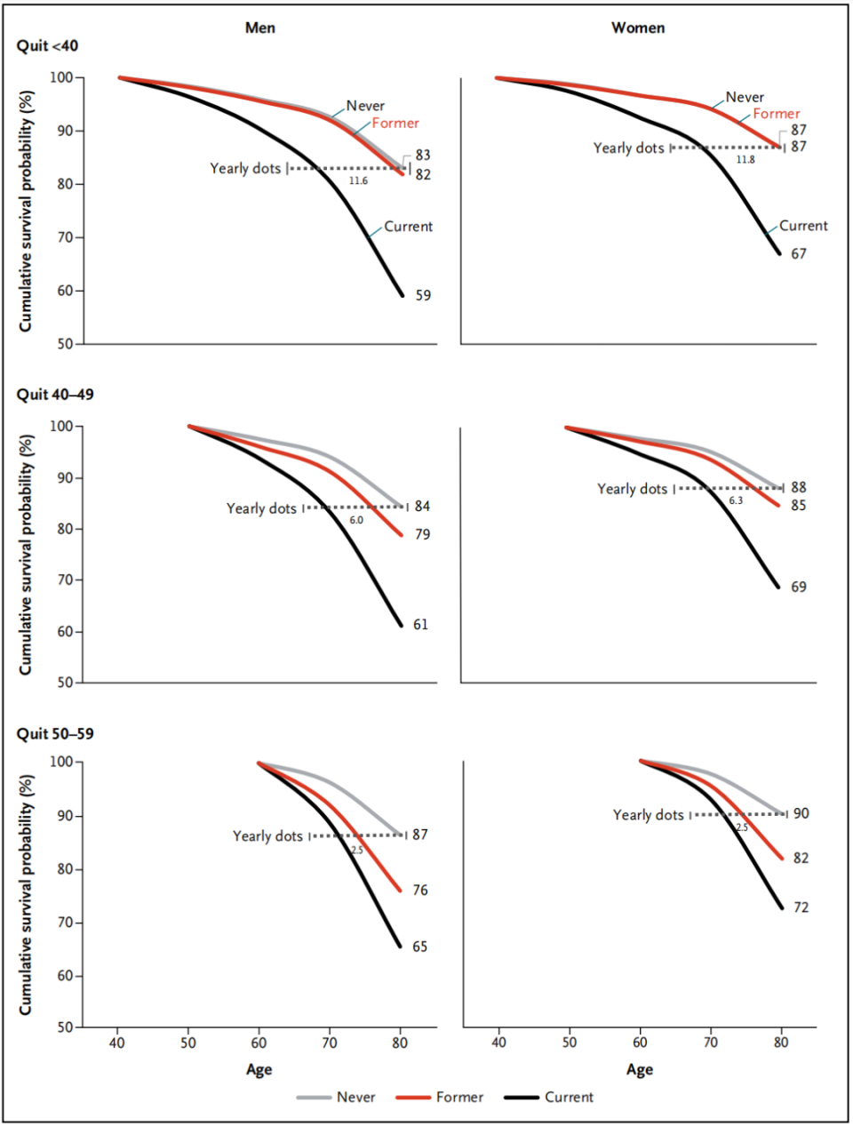
戒烟后的生存率数据则更为直观。
在40-79岁的人群中,男性和女性未吸烟者的累积存活率为83%和87%,而男性和女性当前吸烟者的累积存活率则降到59%和67%。这些死亡风险相当于吸烟使得男性和女性分别平均损失了13年和12年的潜在寿命。
从疾病角度来看,对于患有血管疾病的烟民来说,吸烟导致的平均潜在生命损失分别为男性14岁和女性10岁,癌症分别为12岁和12岁,呼吸系统疾病分别为18岁和20岁。
如果能实现短期戒烟(戒烟<3年),则可避免因持续吸烟而损失的约5年寿命;如果能戒烟长达10年及以上,则可以提高8到15年的生存率,接近于从不吸烟者。
与先前的研究结果一致,越早戒烟的效果越好。40岁之前戒烟的存活率最高,可使80岁前的存活率提高12岁;其次是40-49岁左右戒烟,大约提升6岁;在50-59岁戒烟的话,存活率仅能提高2.5岁。
戒烟时的岁数与存活率情况
综上所述,何时戒烟都不晚,在任何年龄段戒烟均能有效降低死亡率。但这并非不戒烟的借口,
越早、越长时间的戒烟自然越好
——如果能在40岁之前成功戒烟,则能使其死亡率接近不吸烟人群;同样,长达10年及以上的戒烟也能使健康状态“回归”。
毫不夸张地说,吸烟对健康是百害而无一利。今天交的烟草税,明天变成医疗费,戒烟应从当下开始!
参考资料:
[1]
Cho ER, Brill IK, Gram IT, Brown PE, Jha P. Smoking Cessation and Short- and Longer-Term Mortality. NEJM Evid. 2024 Mar;3(3):EVIDoa2300272. doi: 10.1056/EVIDoa2300272. Epub 2024 Feb 8. PMID: 38329816.
撰文 | Swagpp
编辑 | Swagpp
版权说明:梅斯医学(MedSci)是国内领先的医学科研与学术服务平台,致力于医疗质量的改进,为临床实践提供智慧、精准的决策支持,让医生与患者受益。欢迎个人转发至朋友圈,谢绝媒体或机构未经授权以任何形式转载至其他平台。