希尔伯特第15问题与代数几何学之起源

图片
1900年,希尔伯特 (David Hilbert) 在题为《数学问题》的讲演中,提出了23个公开问题[18]。其中的第15问题,专注于19世纪计数几何与相交理论,题目是“为舒伯特计数演算法建立严格基础”。
Springer数学百科全书[28]中回顾到:“澄清舒伯特演算是20世纪代数几何学的重要主题”。本文旨在寻根溯源,以几何学拓荒者们的故事为掠影,第15问题的解答为脉络,重现代数几何学诞生历程。
撰文 | 段海豹(中国科学院数学与系统科学研究院研究员)、赵学志(首都师范大学数学科学学院教授)
01 相交理论简史
公元前3世纪,希腊几何学家阿波罗尼斯 (Apollonius, 262-190 B.C.) 在“Tangencies”一文中,证明了下述结果。是计数几何学的第一个范例:
定理 1.1:对于平面中处于一般位置的3个圆,恰有8个圆与它们相切。
图片
阿波罗尼斯定理的示意图
这个定理的最初证明已遗失在历史的尘埃中,后人仅能从帕普斯 (Pappus) 在公元4世纪的一篇记述中得知这个结果。在文艺复兴时期,众多几何学家致力于寻求该定理的证明,其中韦达 (Viete),阿德里安 (Adriaan van Roomen), 热尔冈 (Joseph Diaz Gergonne) 和牛顿 (Newton) 取得了成功。上面的插图是剑桥大学2016年出版的代数几何教程《3264 及相关故事》[15]的封面故事,其中的数目3264,系指复射影平面中与5条处于一般位置的圆锥曲线相切的圆锥曲线的条数,由Chasles在1864年得到[2]
笛卡尔 (Descartes, 1627) 空间坐标系的发现,使得几何学家们 (如Maclaurin (1720),Euler(1748),Bezout(1764)) 能够利用多项式方程组,来刻画满足特定几何条件的几何对象。于是,许多计数几何问题有了如下表述:
多项式问题:对于复数域上一个自变量的个数等于方程的个数的多项式方程组:
图片
图片
相交理论示意图
相交数问题的提出可归功于法国力学家、数学家庞斯列 (Jean-Victor Poncelet, 1788-1867)。他于1811年毕业于巴黎理工大学,作为工程兵上尉参加了拿破仑侵俄战争。在莫斯科附件的克拉斯诺耶战役中,被误认为阵亡而被遗弃在战场,被俘后囚禁在西伯利亚 Saratow战俘营。庞斯列通过研究几何学,度过战俘营中的艰难岁月。他仅靠大学期间蒙日 (Monge) 所教授的画法几何学的基础,在对17世纪射影几何一无所知的情形下,独立发现并建立了高维射影几何学的系统理论。他提出并研究了图形经过中心射影的不变性质;引入了“交比”的和“无穷远”元素的概念;建立了二次曲线和曲面的配极理论,并由此得到一般的对偶原理。此外,他还研究了图形在一定范围内连续变动时所保持的性质,提出了“连续性原理 (the principle of continuity) ”,这是今天拓扑学中的“相交数同伦不变性”以及代数几何中的“Chow's moving lemma” 的雏形。庞斯列将他在战俘营期间的工作整理为《论图形的射影性质, 1816》一文,这是近代射影几何以及相交理论奠基性工作。但柯西对庞斯列参加法国大革命的经历十分不满,以文章会导致“严重错误”为由,拒绝发表该文。
1900年,庞加莱在3维流形的分类工作中,创造性地引入了流形M的同调群H*(M),使得人们能够应用群中的运算,来解析M的几何结构。在研究相交数问题的过程中,莱夫舍茨 (Lefschetze) 进一步建立了流形M的上同调理论H*(M)[21,1926]。从链复形的层次看,后者只是前者的对偶,但与同调论相比较, 上同调具有一个突出优势:对角映射d:M→MxM诱导了上同调群中一个称为“杯积”的乘法运算
图片
至此,我们回顾了历史上解答计数问题(或相交数问题)的三个设想,以及它们之间一脉相承的关系。一个自然地问题是,哪种方案具备有效可算性?这不仅是计数几何问题的核心要求,也是推动20世纪代数几何学发展的动力。
02 希尔伯特第15问题
舒伯特 (Hermann Schubert, 1848-1911) 于1870年在德国哈勒大学 (the University of Halle) 获得博士学位。他的博士论文《特征数理论》[22]的主题是计数几何学。此前,他已发表过相关文章,证明了空间中与4个处于一般位置的球面相切的球面有16个,是阿波罗尼斯定理在空间情形的直接推广。
1879 年,舒伯特发表了19世纪相交理论的巅峰之作《计数几何演算》[23]
图片
舒伯特与《计数几何演算》
在该书中,他发展了 Chasles 关于圆锥曲线的工作[2],并通过一系列示例, 展示了相交理论的几何魅力。例如:
例2.1: 给定空间中处于一般位置的8张二次曲面,恰有4,407,296条圆锥曲线与它们相切;
例2.2: 给定空间中处于一般位置的9张二次曲面,恰有666, 841, 088张二次曲面与它们相切;
例2.3: 给定空间中处于一般位置的12张二次曲面,恰有5,819,539,783,680条三次立体曲线与它们相切。
由于舒伯特的工作广泛应用了柯西所反对的“连续性原理”,广受非议。为了回避批评,他在1874年将该原理更名为“特殊位置原理 (the principle of special position) ”,两年后又更名为“数的守恒原理 (the principle of conservation of numbers) ”;仍然受到Study和Kohn的攻击[19]。最为中肯的评论来自范·德·瓦尔登 (van der Waerden),他在文献[32]中回顾道,舒伯特的论证如此之概略,以至于“没有给出相交数的定义,没有办法找到它,也没有办法计算它”。
希尔伯特在第15问题中要求,“为舒伯特计数演算法建立严格基础”。同时,希尔伯特肯定了舒伯特的方法能够预见到多项式问题的解的优势:
“这个问题是:对于计数几何中的那些几何数目,在准确界定其适用范围的前提下,严格地证明其正确性。特别需要研究的是,舒伯特在他的书中,基于所谓特殊位置原理(或相交数的守恒原理)所建立的一套计数演算法,并据此算出的那些几何数目。
虽然今天的代数学在原则上保证了实施消元法可能性,但要证明计数几何中的那些定理,对于代数学提出了更高要求。因为,它要求在对那些特定的方程 (组) 实施消元法之前,事先就能预见到最终所得方程的次数及其解的重数。”
图片
希尔伯特与第15问题
03 舒伯特演算的基本问题: 特征数问题
为深入到舒伯特演算的核心内容,我们引用原著[23]中一个计数表格:
图片
表1. 空间圆锥截线的特征数方程
其中,符号ρ, μ, ν依次表示空间中通过一个定点、相交于一条定直线、相切与一张定平面的圆锥截线所构成的三个代数簇。舒伯特本人将表格中的等式称为“特征数方程”,而早期的研究者也称它们为“舒伯特符号方程”。舒伯特在他的工作[22-24]中多次强调,特征数问题是计数几何的主要理论问题[20]。然而,为了得到“特征数问题"的严格表述,数学家们用了60多年时间,本节回顾相关故事。
3.1意大利学派 (The Italian school)
首先研究第15问题的数学团体,是以恩里克斯 (Enriques) 和塞韦里 (Severi) 为代表的意大利学派。他们的代表性著作是塞韦里的文章《(特征)数的守恒原理》和《计数几何基础与特征数理论》[26, 27]。根据范·德·瓦尔登[28]的记述,“他们建立了令人钦佩的结构,但逻辑基础不稳定,概念定义不明确,证据也欠充分”。
图片
意大利学派关于相交理论进行辩论的场景
3.2 哥廷根学派 (The Gottingen School)}
1930年,范·德·瓦尔登发表了“计数几何演算的拓扑基础”[29]一文,是代数几何发展史中的一个重要里程碑。他在文章中首次提出,在莱夫谢茨所建立的上同调理论的框架中,解答第15问题的设想。他在文章中敏锐指出:
a) 每个舒伯特符号方程应是某个射影类流形上同调群中的一个关系式;
b) 解答特征数问题的前提,是确定该射影流形上同调群的一个加法基底;
c) 所有计数问题的共同目标,是计算射影类流形中代数簇的相交数,成功地引领了第15问题的后续研究。
图片
范·德·瓦尔登与《计数几何学的拓扑基础》
3.3 布尔巴基学派 (Bourbaki)
设G是一个紧致连通李群,P是G的一个抛物子群。通过G到它的李代数的伴随表示,齐性空间G/P得以实现为一个光滑复射影代数簇,称为李群G的一个旗流形。下面,我们依从文献[1],用W(G)表示李群G的外尔群 (Weyl group),并用W(G;P) 表示子群W(P) 的左陪集W(G)/W(P)。埃里斯曼 (C. Ehresmann ) 在1934年首度发现[14]
a) 舒伯特演算所关心的几何对象的参数空间,本质上是旗流形 G/P 的一些特例;
b) 对于复格拉斯曼类流形 Gn,k(C) 这个特殊情形,经典的舒伯特符号,恰好是其上同调群的一个加法基底。
随着研究的深入,早期文献中的含糊术语“舒伯特符号”,逐步被“舒伯特胞腔”或“舒伯特簇”此类严谨的几何对象所替代。尤其是,切瓦利 (Chevalley)[3, 1958],盖尔芳德等人 (Bernstein - Gel'fand - Gel'fand) [1, 1973] 相继证明,每个旗流形G/P具有一个胞腔分解:
图片
图片
令人惊奇的是,在上同调理论正式诞生的前50年,舒伯特就已经在应用该理论,从事计数几何演算工作。作为例证,我们援引柯立芝[4]的一段记述:“舒伯特所面临的基本问题,是将这些符号的乘积用其他符号线性表出。他仅取得了部分成功。”
04 代数几何学的诞生
范·德·瓦尔登在文章[30]的开篇中指出:“第15问题的核心问题在于给出相交重数 (intersection multiplicities) 的定义 (或计算公式),借助于该公式,我们能够有效计算出舒伯特的那些计数几何问题的解,同时使得相交数的守恒原理得以保持”。随之,他开始了构建代数几何学基础的规划。他在《Mathematische Annalen》上发表了系列文章《ZurAl- gebraische Geometrie(#1~#20)》,并在1939 年出版了名著《Introduction to Algeberaic Geometry》,首要任务是寻求“相交重数”的严谨定义。
安德烈·韦伊 (Weil.A) 是布尔巴基学派的灵魂。1946年,他发表了里程碑式的名著《代数几何基础》[31],其中第一次系统且完整地对于代数闭域上的代数簇,给出了“相交重数”的定义。随后,他根据切瓦利所发现的舒伯特演算的基底定理 (定理3.1),在该书的第二版中,将希尔伯特第15问题的解答,等价于“决定所有旗流形G/P的上同调环” 的问题[31, p.331]。下称为“韦伊问题”。
图片
韦伊与《代数几何学基础》
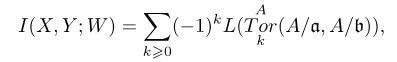
在韦伊工作[31]的基础上,对于不可约代数簇W中两个维数互补子簇X, Y, 塞尔 (Serre J.P.) 得到了相交重数的“优美公式” [25, 1965]:
图片
其中A表示局部环O(X,W),a和b依次是代数簇X和Y的理想,L是A模的长度。随后,富尔顿 (Fulton W) 和麦克弗森 (MacPherson R.D.) 一道,将公式推广到带奇点的代数簇[16]。遗憾的是,此类公式无法从事有效计算,尤其是第15问题所关切的特征数的计算。
第15问题是当代数学中一个影响深远的问题,它推动19世纪的计数几何与相交理论,成长为20世纪数学大师范·德·瓦尔登和安德烈·韦伊所建立的代数几何学[29-31],使得舒伯特演算深度融入微分几何学、代数拓扑学、李群表示论等领域,深刻地影响着这些领域的发展轨迹。这一切,既是希尔伯特对于数学发展的宽阔视野和前瞻性的有力见证,也对探索舒伯特演算行之有效的演算法则,尤其是特征数问题和韦伊问题的解答,提出迫切要求。
1931年,周炜良 (Wei-Liang Chow, 1011-1995) 在芝加哥大学获博士学位。出于对范·德·瓦尔登《代数学》的欣赏,他在1933年赴德国莱比锡大学,跟随范·德·瓦尔登研究代数几何学。1958年,他在切瓦利 (C. Chevalley) 的讨论班上宣布了以他的姓氏所命名的周环 (Chow Ring) [4],是当代相交理论的一个基础平台。
周炜良在构建周环的工作中,证明了所有旗流形周环A*(G/P)和上同调环H*(G/P)之间,存在一个典范同构。利用这个同构,段海豹、赵学志在他们的系列工作[6-11]中,发展了微分拓扑、代数拓扑、以及符号计算的技术,从理论到计算两个角度,解决了“特征数问题”和“韦伊问题”。据此,他们已在文章[12, 13]中阐明,第15问题已获解答。
参考文献
[1] Bernstein I N, Gel'fand I M, Gel'fand S I., Schubert cells and cohomology of the spaces G/P, Russian Math. Surveys, 28: 3 (1973), 1--26.
[2] Chasles M., Construction des coniques qui satisfont à cinque conditions, C. R. Acad. Sci. Paris, 58(1864), 297--308.
[3] Chevalley C., Sur les Decompositions Celluaires des Espaces G/B, Proc. Symp. in Pure Math. 56 (part 1) (1994), 1--26.
[4] Coolidge J.L., A history of geometrical methods, Oxford Univ. press,1940.
[5] Chow W. L., Anneaux de Chow et applications, Sem. Chevalley (1958).
[6] Duan H., The degree of a Schubert variety, Adv. in Math., 180(2003), 112--133.
[7] Duan H, Zhao X., Multiplicative rule of Schubert classes, Invent. Math. 159(2005), no. 2, 407--436; 177(2009), no.3, 683--684.
[8] Duan H., Multiplicative rule in the Grothendieck cohomology of a flag variety, J. Reine Angew. Math. 600 (2006), 157--176.
[9] Duan H., Zhao X., A unified formula for Steenrod operations in flag manifolds. Compos. Math. 143(1), (2007), 257--270.
[10] Duan H, Zhao X. The Chow rings of generalized Grassmannians, Found. Math. Comput. 10(2010), no.3, 245--274.
[11] Duan H, Zhao X., Schubert presentation of the cohomology ring of flag manifolds G/T, LMS J. Comput. Math. 18(2015), no.1, 489--506.
[12] Duan H, Zhao X., On Schubert's Problem of Characteristics, in Schubert calculus and its applications in Combinatorics and representation theory, Springer proceedings in Mathematics and Statistics, Vol. 332(2020), 43--71.
[13] Duan H, Zhao X., Schubert calculus and interesection theory of flag manifolds, Russian Math. Surveys (Uspekhi Matematicheskikh Nauk), 77(2022), 729--751.
[14] Ehresmann C. Sur la topologie de certains espaces homogenes, Ann. of Math. (2) 35 (1934), 396--443.
[15] Eisenbud D, Harries J., 3264 and all that: A Second Course in Algebraic Geometry, Cambridge University Press, 2016.
[16] Fulton W,. MacPherson R.D., "Defining algebraic intersections", LNM. 687, 1978.
[17] Fulton W., Intersection theory, Springer-Verlag, 1998.
[18] Hilbert D., Mathematische Probleme, Bull. AMS. 8(1902), 437--479.
[19] Kleiman S., Problem 15: Rigorous foundation of Schubert's enumerative calculus, Proc. Symp. Pure Math., 28, Amer. Math. Soc. (1976), 445--482.
[20] Kleiman S., Book review on ``Intersection Theory by W. Fulton'', Bull. AMS, 12(1985), no.1, 137--143.
[21] Lefschetz S., Intersections and transformations of complexes and manifolds, Trans. AMS, Vol.28, no.1 (1926), 1--49.
[22] Schubert H., Zur Theorie der Charakteristike, Celles Journ. 71(1870), 366--386.
[23] Schubert H., Kalkul der abzahlenden Geometrie, Berlin, Heidelberg, New York: Springer-Verlag (1979).
[24] Schubert H., A Losung des Characteristiken-Problems fur lineare Raume beliebiger Dimension, Mitteilungen der Mathematischen Gesellschaft in Hamburg, t. I (1886), pp. 134–155.
[25] Serre J.P., Algebre Locale, Multiplicites, LNM, 11, 1965.
[26] Severi F., Il Principio della Conservazione del Numero. Rendiconti Circolo Mat. Palermo 33, 313 (1912).
[27] Severi F., Sui fondamenti della geometria numerativa e sulla teoria delle caratteristiche,
Atti 1st. Veneto, 75 (1916), 1121-1162.
[28] Sottile, F., Schubert calculus, Springer Encyclopedia of Mathematics, 2001.
[29] van der Waerden B L., The foundation of algebraic geometry from Severi to Andre Weil, Archive for History of Exact Sciences, 1971.
[30] van der Waerden B L., Topologische Begrundung des Kalkuls der abzhlenden Geometrie, Math. Ann. 102(1930), no. 1, 337--362.
[31] Weil A., Foundations of algebraic geometry, American Mathematical Society, Providence, R. I. 1962.
[32] Yvonne, D. S., Interview with Bartel Leendert van der Aaerden, Notice of the AMS, Vol.44, No.3 (1997), 313--321.
出品:科普中国
图片