用实例来讲解人口生命表

生命表是人口学中的一个重要概念,是对一定数量的人口从出生开始,直到这些人口全部去世为止的生存与死亡记录。人均预期寿命,就是从生命表中计算得来的。要真正了解生命表,有一定的难度。本文尽量用通俗易懂的语言来讲解人口生命表的主要内容。但由于数字比较多,本文阅读起来可能有些枯燥无味。如果不打算深入了解人口问题,也不需要学生命表。
按照年龄组组距的不同,生命表分为完全生命表和简略生命表。完全生命表是一岁一组,简略生命表通常是五岁一组。
按照性别的不同,生命表分为男性生命表、女性生命表、男女平均生命表。
下表是2021年世界人口完全生命表(男女平均),数据来源是联合国发布的《世界人口展望2022版》。需要注意的是,下表以及本文中的有些数字在计算过程中作了四舍五入处理。
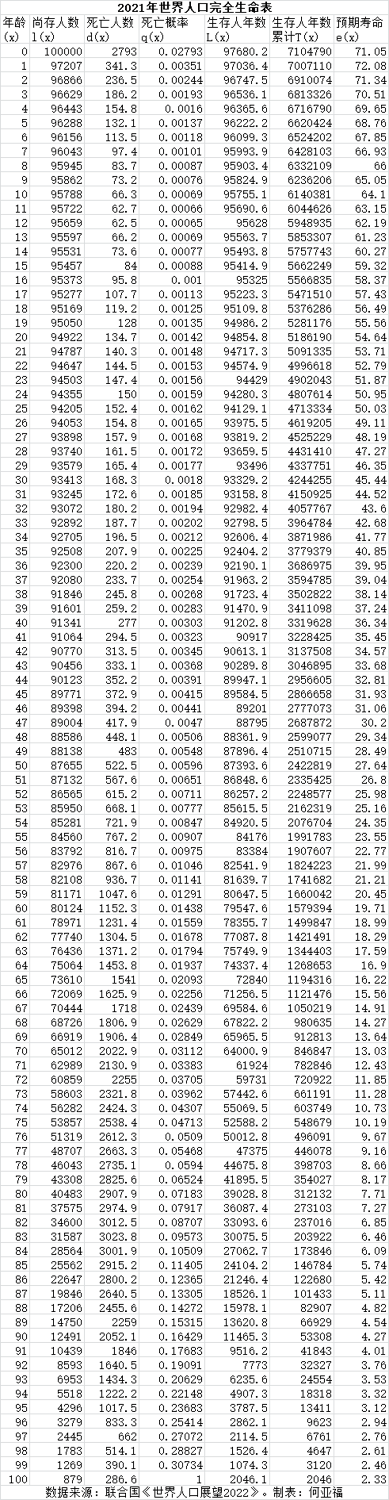
图片
上表有七列,下面就详细说明每一列的意思。
第一列是年龄(x),在上表中,最低年龄组是0岁,最高年龄组是100岁。
第二列是尚存人数l(x)【请注意:此处的l是英文字母L的小写字母,不是数字1,也不是字母i的大写】,是指某一确切年龄x的初始人数,例如l(0)表示0岁人数,l(1)表示1岁人数。在生命表中,通常假定l(0)=100000(即10万人)。从上表来看,0岁人数是10万人,1岁人数是97207人,2岁人数是96866人……到80岁时,只剩下40483人;到100岁时,只剩下879人。
第三列是死亡人数d(x),又称为生命表上死亡人数(以区别于实际死亡人数),是指生命表上x岁年龄组的死亡人数。例如,d(0)表示生命表上0岁组死亡人数,在上表中,d(0)=2793人;d(1)表示生命表上1岁组死亡人数,在上表中,d(1)=341.3人。
l(x)与d(x)之间的关系是:l(x)-d(x)= l(x+1),即,x岁尚存人数减去x岁死亡人数等于x+1岁尚存人数。例如:
l(0)-d(0)= l(1),即0岁尚存人数减去0岁死亡人数等于1岁尚存人数;
l(1)-d(1)= l(2),即1岁尚存人数减去1岁死亡人数等于2岁尚存人数。
在上表中,l(1)= l(0)-d(0)=100000-2793=97207人。同理,l(2)= l(1)-d(1)=97207-341=96866人。
第四列是死亡概率q(x),在完全生命表中, q(x)是指x岁的人活到x+1岁时死亡的概率。例如,q(15)是指15岁的人活到16岁时死亡的概率。
死亡概率的计算公式是:q(x)= d(x)/ l(x)。例如,q(15)= d(15)/ l(15)=84/ 95457=0.00088。
第五列是生存人年数L(x),又称为平均生存人年数,是把人数和存活时间联系起来计算的一个复合指标,例如,1个人活了2年,就是2人年;2个人各活了1年,也是2人年。
生存人年数的计算公式是:L(x)=[ l(x)+ l(x+1)]/2
例如,在上表中,L(12)=[ l(12)+ l(13)]/2=(95659+95597)/2=191256/2=95628
第六列是生存人年数累计T(x),是对生存人年数L(x)的累计,计算公式是:
T(x)= L(x)+ L(x+1)+…+ L(100),
T(x+1)= T(x)- L(x),
可得:T(x)= T(x+1)+L(x)。
T(x)是从高年龄组向低年龄组进行累计,上表的最高年龄组为100岁,所以T(100)= L(100)=2046人。
T(99)= T(100)+ L(99)=2046+1074.3=3120.3
T(98)= T(99)+ L(98)=3120.3+1526.4=4647
……
T(0)= T(1)+ L(0)=7007110+97680=7104790
第七列是预期寿命e(x),分为0岁预期寿命e(0),1岁预期寿命e(1)等等,通常说的人均预期寿命是指0岁预期寿命。
预期寿命的计算公式是e(x)= T(x)/ l(x)。以上表为例:
0岁预期寿命e(0)= T(0)/ l(0)=7104790/100000=71.05岁。
1岁预期寿命e(1)= T(1)/ l(1)=7007110/97207=72.08岁。
为何1岁预期寿命高于0岁预期寿命呢?原因是,0岁人口的死亡概率远高于1岁人口,因此,能够活到1岁的人,其平均预期寿命高于0岁人口。从上表可以看出,1岁和2岁人口的预期寿命均高于0岁人口,但从3岁开始,各岁人口的预期寿命均低于0岁人口。
需要注意的是,x岁人口的预期寿命并不等于0岁预期寿命减去x岁。例如,30岁人口的预期寿命并不等于(71.05-30)岁,而是等于e(30)= T(30)/ l(30)=4244255/93413=45.44,意思是说,按照上述生命表的死亡概率,活到30岁的人,平均来说,还有45.44年的寿命。
虽然上表的最高年龄组是100岁,但并不是说最高寿命是100岁。从上表来看,100岁人口的预期寿命是2.33,也就是说,能够活到100岁的人,平均来说,还有2.33年的寿命。当然,有些人可能到101岁就去世了,有些人可能活到110岁才去世。