语言大模型的分布式训练与高效微调指南

图片


作者 | Sumanth R Hegde
OneFlow编译
翻译|杨婷、宛子琳

最近语言大模型(LLM)异常火爆,一个非常特别的开源社区正在探索在消费级硬件上微调、提供服务和进行推理的最佳方式。为满足上述需求,出现了许多出色的开源代码库,以HuggingFace生态系统为中心,这些代码库还包括FastChat、Axolotl和LLama.cpp。

本文专注于分布式训练策略的具体细节,特别是DeepSpeed和FSDP,并总结了以多GPU和多节点训练为主的不同高效微调方法。显然,当前的趋势是,我们会使用越来越多的计算资源,因此将需要更多GPU来运行更大的模型。

在这种情况下,理解这些主题尤为重要,尤其是当你想要将几个3090家庭服务器升级到具有8个A100 80GB的GCP容器时,另外,这对于试图微调自己的语言模型的初创公司或企业来说也很重要。大型科技公司进行的实际大规模训练涉及大量资料,这些内容大部分来自主导了BLOOM-176B训练的Stas Bekman,GPU匮乏的用户(即GPU-poors)关注这些资料的意义并不大。

本文从多个优秀的资源中整合了各种观点,着重讨论了HuggingFace生态系统的相关内容,并考虑了一些来自在线资源以及作者本人在2023年暑期实习中所学到的实际情况。

综上,本文希望能够回答以下问题:

1. 在分布式训练和性能优化方面,我们应该关注什么?DeepSpeed和FSDP在背后是如何运作的?
 
2. 不同的分布式训练策略需要的硬件设置和注意事项?

3. 各种有效的微调优化器以及可能存在的权衡?

4. 一些可以覆盖所有重要微调优化的实用指南,用以在多GPU和多节点设置中训练大模型。

5. 现在可以使用的开源代码库以及各自的优缺点?

本文作者为加州大学圣地亚哥分校计算机科学系的硕士研究生Sumanth R Hegde。以下内容由OneFlow编译发布,转载请联系授权。原文:https://sumanthrh.com/post/distributed-and-efficient-finetuning/ )
1
分布式训练

分布式训练涵盖的范围非常广泛,因此本文无法覆盖所有内容。在训练/微调LLM时,我们通常会面对超10亿参数的庞大模型和大规模数据集(超1万亿词元的预训练数据集,超100万词元的监督微调数据集)。我们最终的目标是尽快完成训练,以最大化吞吐量,即希望能够每秒处理尽可能多的样本。
 
LLM在训练过程中需要大量的GPU显存,不仅仅因为模型参数数量庞大(例如,Falcon 40B拥有40亿参数,在BF16格式下仅模型权重就需要约74GB显存),还因为优化器状态所需的显存——例如,使用普通的AdamW优化器,每个参数需要12个字节来存储模型权重的副本、动量和方差参数。因此,我们需要智能的分布式训练策略,以确保每个GPU worker只需处理部分训练状态和数据。

主要的并行策略有

1. 数据并行(Data Parallelism, DP):每个GPU worker获取整个小批量数据的一部分,并在该部分数据上计算梯度。然后在所有worker上对梯度进行平均,以更新模型权重。在其最基本的形式中,比如PyTorch中的DDP,每个GPU存储模型权重的副本、优化器状态以及所处理数据部分的梯度。

2. 模型并行/垂直模型并行(MP):在模型并行中,模型被分割成多个部分,每个部分被放置在不同的GPU上,这被称为垂直模型并行。举例来说,如果有一个包含12层的单一模型,该模型的不同层会被分别放置在3个不同的GPU上。

--------------- --------------- -----------------1 | 2 | 3 | 4 | 5 | 6 | 7 | 8 | 9 | 10 | 11 | 12 |--------------- --------------- -----------------
 
在朴素模型并行(naive model parallelism)中,所有GPU在处理相同的数据批次时都需要等待前一个GPU完成计算,然后才能处理数据。这意味着在任何给定时刻,除了一个GPU外,其他GPU实际上都处于闲置状态(因此称为“朴素”)。为改善这种情况,可以使用流水线并行(PP),这种方式通过让不同微批次数据的计算重叠,给你带来并行的错觉。这类似于计算机架构中的经典流水线。参见以下关于GPipe的博文:

为了在多个加速器上实现高效训练,GPipe将模型划分到不同加速器,并自动将一个小批次的训练样本分成更小的微批次。通过在这些微批次上进行流水线式的执行,各个加速器可以进行并行计算。

图片

3. 张量并行(TP):在张量并行中,每个GPU通过在GPU worker之间对模型进行水平切片,仅处理张量的一部分。每个worker处理相同的数据批次,计算他们所拥有权重部分的激活值,并交换彼此需要的部分,每个worker计算他们所拥有权重部分的梯度。

我们可以将上述各种并行策略结合起来,以实现更好的吞吐量增益。接下来,我们将更详细地了解两种用于数据并行训练的改进方法:零冗余优化器(Zero Redundancy Optimizer)和密切相关的全切片数据并行策略(Fully Sharded Data-Parallel strategies)。

注释:我将使用术语“GPU worker”来指代在每个GPU上运行的各个进程。虽然这种表述并不十分准确,但在数据并行设置中,这样说更方便,更易于理解。

拓展阅读:
  • 多个GPU上的高效训练:https://huggingface.co/docs/transformers/perf_train_gpu_many

  • 如何在多个GPU上训练大模型?

    https://lilianweng.github.io/posts/2021-09-25-train-large/


2
ZeRO驱动的数据并行

这是当前最高效、最热门的分布式训练策略之一。DeepSpeed的ZeRO是一种数据并行处理形式,它极大提高了内存效率,其主要思想是利用数据并行训练中的内存冗余和快速GPU间通信的最新改进来提高吞吐量,根据不同阶段,会增加一些通信量。实际上,ZeRO有两个组成部分:ZeRO-DP(数据并行)和ZeRO-R(残留内存)。DeepSpeed团队还提出了一些后续优化措施,这进一步提升了ZeRO的吸引力,例如ZeRO-Offload/Infinity(将计算卸载到CPU/NVMe磁盘)和ZeRO++(实现了灵活的多节点训练和量化权重)。

ZeRO-DP的可视化图表如下(来自DeepSpeed的博客文章):


图片

在64个GPU上训练7.5B参数模型时,模型表现如下:

1. 基准:PyTorch DDP

2. ZeRO 第一阶段/:内存减少4倍(特定示例),与基准的通信量相同(没有额外的GPU间通信)。

3. ZeRO 第二阶段/:内存减少8倍(特定示例),与基准的通信量相同。

4. ZeRO 第三阶段/:内存减少64倍(特定示例),通信量为基准的1.5倍(这里的1.5倍针对的是不同硬件设置和模型大小)。

基准

PyTorch DDP实现了简单的数据并行性。每个GPU worker都有模型权重、优化器状态和梯度的副本。后向传播后,各个worker间的梯度会被平均化(即全局归约(all-reduce)),并且模型权重会被更新。

关于通信量的注释:为理解ZeRO的好处,我认为,重要的是要明确通讯量的确切含义。典型DP中存在一个全局归约步骤,其中每个worker都会发送出其所拥有的梯度数组,然后接收其他worker的梯度数组,以获得平均值。下文摘自ZeRO论文:

当前最先进的全局归约实现采用了两步操作:第一步reduce-scatter,它在不同进程上的数据的不同部分会被归约。第二步是all-gather,其中每个进程都在这一步中收集所有进程上的归约数据。这两步的结果就是全局归约。同时,reduce-scatter和all-gather都采用了流水线方式实现,这导致每个步骤需要Ψ个元素(对于具有Ψ个元素的数据)的总数据搬运量。因此,在标准的数据并行性中,每个训练步骤会产生2Ψ的数据搬运量。

在这种情况下,“数据”指的是我们的梯度,而进程指的是每个GPU上运行的单个worker。总而言之,我想表达的是:如果你有个参数,那么普通数据并行性将产生通信成本。

ZeRO 第一阶段/Pos(优化器状态分区)

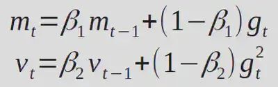
在这种情况下,只有优化器状态在GPU worker之间进行了分区/分片,而模型权重和梯度在所有worker之间进行了复制。反向传播后,需要进行一次常规全局归约,以便在所有worker间获取平均梯度值。然后,每个worker更新其分区中的优化器状态。Adam方程如下。

图片

图片

(w、g、v 和m 分别对应权重、梯度、速度和动量)。需要注意的是,这些都是逐元素操作,在计算梯度后,各个权重分片之间并没有依赖关系。

通信量:首先我们会执行一次全局归约操作,将更新后的梯度通信给所有GPU,然后,在更新各自分片的优化器状态之后,每个GPU仍需要从其他GPU获取更新后的权重。ZeRO论文并没有清楚表明这样做是否会增加通信量。在我看来,对ZeRO的第1阶段和第2阶段来说,这种实现实际上是一样的:

  • 梯度的全局归约由两部分组成:reduce-scatter和all-gather。


  • 在DeepSpeed ZeRO1和2中,首先进行reduce-scatter操作,在不同GPU上分别减少梯度的不同部分。接着,每个GPU计算其所管理的优化器分区对应的更新后权重,之后我们只需进行一次all-gather操作,将更新后的模型参数传播给所有其他GPU。这样就能在通信量不变的情况下,减少内存消耗。


ZeRO Stage 2 /(优化器状态+梯度分区)

在这种情况下,优化器状态和梯度都被分区/分片到不同的worker上。这意味着,两个GPU worker在训练期间不仅要关注不同的微批次数据,还要维护模型参数子集的梯度。关键在于,每个worker都在更新其优化器状态的分区,因此对于一个worker而言,它所需的梯度(或者说,经过归约/平均的梯度)只是对应于该状态分区的梯度。至于实现方式,正如上面提到的,DeepSpeed有效地执行了reduce-scatter操作,其中每个worker对应的梯度在该worker处被平均(而不是对所有参数进行典型的all-reduce操作)。这意味着,在相同通信量下节省了更多内存,也就是说,与DDP相比,这里没有额外的数据搬运成本。


注意:在使用ZeRO Stage 1和2时,仍然需要整个模型适配单个GPU。此外,在使用RAM时,需要注意如下事项:随着进程/GPU数量的增加以及模型大小的扩展(超过40亿参数),模型初始化会占用大量RAM。ZeRO 3对此有所改进。


ZeRO Stage 3 /(优化器状态+梯度+参数分区)

对我来说,这是ZeRO最有趣的阶段。除优化器状态和梯度外,第3阶段还跨worker划分了模型参数。来自DeepSpeed的可视化图表如下:

图片
使用4个GPU实现不同训练状态的可视化

图片
使用DeepSpeed ZeRO-3对训练状态分片

借用Stas Bekman指南中的一个例子,假设有以下3层模型和4个GPU:

La | Lb | Lc---|----|---a0 | b0 | c0a1 | b1 | c1a2 | b2 | c2a3 | b3 | c3

使用DeepSpeed ZeRO 3,GPU的配置方式如下:

GPU 0:La | Lb | Lc---|----|---a0 | b0 | c0
GPU 1:La | Lb | Lc---|----|---a1 | b1 | c1
GPU 2:La | Lb | Lc---|----|---a2 | b2 | c2
GPU 3:La | Lb | Lc---|----|---a3 | b3 | c3

在ZeRO-3中,模型的每一层都被水平切片,每个worker存储权重张量的一部分。在前向和后向传播过程中(每个GPU worker 仍然看到不同的微批次数据),不同的GPU worker交换它们所拥有的每一层的部分(按需进行参数通信),并计算激活/梯度。

其余部分类似ZeRO Stage 2。很容易看出,ZeRO-3的通信量是基准DDP的1.5倍:在每个训练步骤中,我们需要在前向传播中额外进行一次模型参数的all-gather操作。在这个操作中移动的数据量为(每个GPU),因此总通信量为(参数all-gather)+ (梯度reduce-scatter)+ (all-gather,用于更新的参数)= 3 = 1.5倍DDP。考虑到内存消耗被GPU workerN 削减,这给人留下了深刻印象。ZeRO论文的另一个关键洞察如下:

只要有足够的设备来共享模型状态,ZeRO就可以使DP适应任意大小的模型。

也就是说,只要有足够多的GPU,在进行数据并行(DP)训练时,我们就不会再受到每个GPU显存的限制(说起来容易做起来难)。

ZeRO-R

我并不想深入探讨这一话题,但ZeRO-R在ZeRO-DP的基础上,通过关注激活的内存消耗和管理内存碎片化做了改进提升。ZeRO-R通过对激活进行分区,减少了激活的内存占用。此外,它还在管理临时缓冲区方面进行了一些改进,你可以将之视为在worker间进行梯度累积和归约期间分配用于存储中间结果的内存。

ZeRO-Offload

ZeRO-Offload是一种优化技术,可以将优化器和计算从GPU卸载到主机CPU上。在2021年1月发布时,ZeRO-Offload可在1个NVIDIA V100 GPU上实现40 TFLOPS(V100 32 GB vRAM,最大吞吐量为130 TFLOPS),适用于10亿参数模型。而采用PyTorch DDP时,最大值为30 TFLOPS,适用于14亿参数模型,在不耗尽内存的情况下,这是可以运行的最大模型。将计算卸载到CPU的主要问题是,以吞吐量衡量,CPU要比GPU慢上多个数量级。ZeRO-Offload采用的这种策略是,只将较少的密集计算(<,其中是模型大小,是批次大小)卸载到CPU,以使总计算复杂度保持不变()。在实践中,这意味着诸如范数计算(norm calculation)、权重更新等操作可以在CPU上完成,而前向和后向传播的矩阵乘法需要在GPU上完成。ZeRO-Offload适用于ZeRO的所有阶段(1、2和3)。

这里(https://docs.it4i.cz/dgx2/introduction/)给出了用于实验的DGX-2节点规格,该节点配备了16个V100 GPU。需要注意的是,如果处于ZeRO-2设置中,ZeRO-Offload仍然会受到每个GPU可用内存的限制,即在每个GPU上容纳整个模型可能成为瓶颈。

ZeRO-Infinity

ZeRO-Infinity是ZeRO-Offload的改进版本,于2021年4月推出。它允许将计算卸载到磁盘(NVMe内存),并对CPU卸载进行了改进。研究表明,ZeRO-Infinity在一个DGX-2节点上训练时,可以适应10-100万亿参数的模型(万亿级别!)。ZeRO-Infinity通过同时利用CPU和NVMe内存来实现这一点。以下是论文中的可视化图表:
图片

以上是ZeRO Infinity在4个数据并行排布(GPU)上的截图,描述了反向传播期间的状态。分区/分片的参数从慢速内存(CPU+ NVMe)移动到GPU,然后被收集起来形成完整的层。在梯度计算之后,它们被聚合、重新分区,然后卸载到慢速内存。分区/分片的参数从慢速内存(CPU+ NVMe)移动到GPU,然后被收集起来形成完整的层。在梯度计算之后,它们被聚合、重新分区,然后卸载到慢速内存。

与ZeRO-Offload不同,ZeRO-Infinity是基于ZeRO-3专门构建的。作者在32个DGX-2节点、512个GPU上对模型速度进行了评估。结果表明,ZeRO-Infinity可训练高达20万亿参数的模型,每个GPU的吞吐量可达49 TFlops,而3D并行等替代并行策略可训练的模型规模要小40倍。ZeRO-Infinity要想成为有竞争力的选择,需要满足一些带宽要求,即NVMe-CPU和CPU-GPU通信。

关于ZeRO-Offload和ZeRO-Infinity之间的差异,以下是DeepSpeed团队的评论:

DeepSpeed首先包含了ZeRO-Offload的卸载功能,ZeRO-Offload是一个用于将优化器和梯度状态卸载到ZeRO-2内的CPU内存的系统。ZeRO-Infinity是ZeRO-3可以使用的下一代卸载功能。相比ZeRO-Offload,ZeRO-Infinity能够处理更多数据,能更有效地利用带宽,并且能更好地实现计算和通信重叠。

默认情况下,使用ZeRO-3进行卸载时,ZeRO-Infinity的优化机制会自动生效;使用Stage 1/2进行卸载时,ZeRO-Offload会生效。

拓展阅读:
1. ZeRO-Offload/Infinity 教程: https://www.deepspeed.ai/tutorials/zero-offload/

2. ZeRO-Offload - 十亿级模型训练大众化 : https://arxiv.org/abs/2101.06840

3. ZeRO-Infinity - 打破GPU内存墙,实现超大规模深度学习: https://arxiv.org/abs/2104.07857

ZeRO++

ZeRO++是DeepSpeed团队对ZeRO-3的最新改进。主要改进如下:

1. 量化权重(qwZ):通过将模型权重量化为int8,将all-gather参数通信量减少一半。

2. 层次划分 (hpZ):层次划分是一种混合分区方案,适用于DeepSpeed ZeRO 3的多节点设置。在这种情况下,模型参数会在一个节点内分片,然后在不同节点之间复制。这意味着,与典型的ZeRO-3全面运行相比,我们无法节省相同数量的内存,但可以避免昂贵的节点间参数通信开销,从而提高整体吞吐量。我更倾向于FSDP中使用的 "混合分片(hybrid sharding)" ,而非 "层次划分",下文讨论FSDP时,会再次深入讨论这个问题。

3. 量化梯度(qgZ):通过在梯度reduce-scatter操作中使用int4量化数据替换fp16,可以节省更大通信量。(回顾:这是发生在ZeRO 2/3阶段,针对分片梯度进行的梯度聚集和平均)

总体而言,与ZeRO-3 相比,ZeRO++通过这三项改进将通信量减少了4倍。