科学界人均厨艺大师?数学家教你怎么切出完美披萨,快点进来学!


图片

(图片来源:wiki

撰文 | 阿娴

审校 | Skin

人们在吃披萨的时候,通常会沿着十字把它切成四个三角形。然而,当吃披萨的人变多,再加上有的人不爱吃披萨边,或者有人想多吃点中间的馅料,十字分饼法就很难照顾到每个人,把披萨分的均匀
为了避免有人因此打起来,数学家发明了一种披萨切法,据说能让所有人都满意。

图片

(图源网络)

利物浦大学的乔尔·哈德利 (Joel Haddley) 和史蒂芬·沃斯利 (Stephen Worsley) 声称绝对让大家吃了都满意。首先,你需要在披萨上切出弯曲的三边切片,然后将这些切片一分为二以获得内外两个部分,如下所示。
赶紧学会,下次在聚会上大显身手!|参考资料[1]

然后你就能得到12个形状相同的披萨切片,一半皮薄馅多,另外一半则皮厚馅少让不想吃披萨边以及想吃披萨边的人,在这个“最公平的切法”中得到满足。
哈德利和沃斯利还发现了其他较复杂的切法。哈德利表示:“从数学上来看,切披萨是没有限制的,可以切出12、18、24、36块小披萨。我不知道除了切披萨以外,这种方法是否可以应用在其他工作上。”不过,他形容这个切法效果非常棒,因为“你可以拍出好看的照片”。
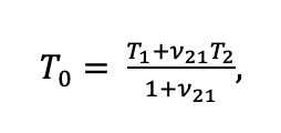
一般的吃货可能对披萨的研究到这里就结束了,然而科学界的顶级吃货准备深入研究烤披萨,看看到底为什么在家无法复刻出披萨店里的美味披萨。意大利的两位物理学家安徳烈·瓦拉莫夫(Andrey Varlamov)和安得利亚斯·格拉茨(Andreas Glatz)询问了当地的披萨店厨师,厨师给出的蟹黄堡披萨秘方是:将披萨在330摄氏度的炉子内烤制两分钟
为什么这个温度、这个时间就可以把披萨烤到外皮完全酥脆但不烧焦?这就要考虑到炉子内发生的热力学过程:炉子和面饼的热容(即单位质量的物体升高一度所需要的热量)、两个不同温度的物体之间热传导的热通量,以及热量进入低温物体内部加热的温度锋

图片


还要考虑和披萨的烤制时间相关的参数:热辐射(即炉子内每平方厘米的表面每秒到达的辐射能量数),以及烤制披萨过程中水分蒸发和流失的速度......
由于电烤箱是金属结构,金属的导热速度比陶瓷砖快得多,如果仍用厨师的330°C烤制披萨,那么电烤箱和披萨饼胚间的界面温度将会达到300°C,直接会把披萨烤焦。

图片

研究人员得出的烤披萨的计算公式,可以算出砖炉温度330°C时,披萨和砖炉的界面温度为208°C。|参考资料[1]

如果用电烤箱模拟砖炉的界面温度(208°C),那么电烤箱就需要设置较低的烘烤温度,使烤箱内的热辐射远低于砖炉。但是温度降低后,面临的一个问题就是:烤制时间增加,过长的烤制时间会把披萨烤干。因此家用电烤箱很难模拟披萨店砖炉的烘烤模式。

图片

砖炉中披萨在不同时间的温度分布。60 秒时,披萨的顶面达到 100°C(红色圆圈)|参考资料[1]


格拉茨和瓦拉莫夫最终认为,要想吃到好吃的披萨,还是得去有传统砖炉的披萨店。如果你实在想发挥厨艺在家做披萨,可以尝试用陶瓷烤盘,模拟砖炉底部;烘烤的时候让披萨在烤箱中匀速旋转,模拟砖炉内的气流传导,让披萨受热均匀。
当然,说了这么多,你或许只记住了“披萨店做的披萨,好吃;家里做披萨,难吃”,其中涉及到的复杂原理和专业名词你是一点儿没搞清楚。
别担心!为了把科学真的带回家,我们在视频号中发布了许多科学短视频,用最直观的方式为你解释晦涩难懂,但是日常的生活科学。

图片

不看=亏了啊!

毕竟有研究表明,在基于短视频的学习中,借助视觉、听觉等手段消化和接收知识点,效率更高、转化和吸收的量大,知识在脑内可以更好地转化和储存
在我们的视频号中你会看到,专业赛车手在真正进入赛场前使用的赛车模拟器,赛车手在里面可以感受到和真实驾驶一样的风驰电掣。为什么它能给人带来如此逼真的效果?它利用了人体内的哪个器官盲区?
我们在日常生活中的对联、美甲和贺卡上看到的五彩亮片是谁发明的?它为什么能给人带来闪闪发光的视觉效果?专家又为什么在呼吁慎用它?
科学家在探索木星的卫星时要借助到冰下浮力漫游器,这个长得像哑铃似的家伙,真的能帮助我们找到可能的生命证据吗?它是如何运作的?视频中的模拟动画可以更好地帮我们理解。
把硬核的炫酷科技拆解为通俗易懂的知识是我们的专业,当然除此以外,你还能从这里看到其他有意思的科普视频。比如我们的特别栏目——博物馆专栏,里面收罗了世界各地的博物馆。
从小众的【荷兰人体博物馆】、【瓦萨沉船博物馆】到大众熟知的【埃及博物馆】和【英国伦敦博物馆】,只要两分钟,你就能沉浸式地云游博物馆。
比如,你一定非常好奇音乐人是如何做专辑,定格动画电影是怎么制作出来的......这些问题的答案都藏在美国华盛顿州西雅图的流行文化博物馆中。
荷兰人体博物馆中你可以沉浸式体验——从35米高的巨人膝盖部位,沿着四通八达的血管,最终抵达位于建筑顶部的大脑。全程55分钟的穿梭之旅,可以充分满足你对人体各个器官的好奇心,是不是很想进去逛一逛?
看不了吃亏,看不了上当,更多有关科技前沿、日常生活、宇宙天文、生态环境的科学短视频就在【把科学带回家的视频号】中,关注不亏!快来看看吧~


参考资料:

[1]https://www.researchgate.net/publication/325986371_The_Physics_of_baking_good_Pizza

[2]https://www.livescience.com/64016-physics-of-perfect-pizza.html
[3]https://www.newscientist.com/article/dn28743-mathematicians-invent-new-way-to-slice-pizza-into-exotic-shapes/