理论物理学家米格达尔回忆录:苏联物理学的失乐园

图片
编者按
本文系理论物理学家亚历山大·米格达尔(Alexander A. Migdal,1945-)对自己在苏联时期物理生涯的“口述史”回忆录——原本是米格达尔在“Mitchell Feigenbaum Conference”上的演讲,英文文字版本冠名《失乐园》(Paradise Lost)于2012年发表在其个人网站上(参见文后链接)。全文反映了作者眼中上世纪六十年代至八十年代苏联理论物理学的面貌,特别是朗道学派的情况;同时也是对不复存在的苏联物理学鼎盛时期的一曲挽歌。米格达尔移居美国以后,一度从理论物理脱身转而从事金融交易,但也并未完全放弃理论物理的研究,并于近些年重回学术界。作者在给译者的邮件中说,希望中国年轻一代的物理学工作者能够通过本文对朗道学派有所了解。
撰文 | 亚历山大·米格达尔(Alexander A. Migdal)
翻译 | 1/137
初识朗道
进入朗道学派始于著名的理论最低标准考试(编者注:参见《关于朗道势垒、朗道讨论班及ITEP的回忆》)。想要被(朗道)学派接受并待下来,必须通过一连串关卡,这是对知识、耐力和激情这一少见组合的越来越多的考验。
我很幸运能得到朗道本人的启蒙,那是在他悲惨的车祸发生的前一年。车祸之后,朗道再也没有恢复过来。1961年春,我和我的朋友玻利亚科夫(Alexander M. Polyakov)[1]面见了朗道。我们几乎没有人生经验,但却自信满满,因为我们刚刚在数学奥林匹克竞赛中小有所获,分享了一等奖。
朗道脸上带着那种孩子气的表情,混杂着惊讶、急躁和傲慢,仿佛在说:“让我看看你们是不是像我想的那样笨。”
他把我们安排在“Kapichnik”(卡皮查物理问题研究所)的两间不同的办公室,给了我们一些数学题,然后在办公室之间踱步,并越过我们的肩膀好奇地看着,对我们写的每一行都发表讨厌的评论。
图片
莫斯科卡皮查研究所(Kapitza Institute)
我感觉好像主从天降,亲手把我钉在十字架上。我拿到的一个问题是有理函数积分,教科书推荐常数变易法(Variation of constants),即表示为:
图片
此处a为Q(x)的根,系数c通过在x=a处的留数获得;类似地,多项式R(x)的系数可通过在x=∞处的留数求得。
但我从来没有读过那些教科书,事实上我一辈子都不擅长读教科书——我宁愿自己做,然后向正式学过的朋友询问我的解答是否正确。
我只有几分钟的时间来发明自己的方法,否则朗道[2]就会耗尽他短暂的耐心。我现在已经忘了是如何解决这个问题的,但我清楚地记得我做出来了,因为我仍能听到他的声音在我脑海中回荡,“好吧,你终于找到了解法——重新发明了轮子,你一开始就应该知道这些鸡毛蒜皮的技巧。”
玻利亚科夫也有类似的经历。之后我们被拉到朗道的办公室,他看着我们的眼睛,没有笑意,说道:“好吧,孩子们,你们通过了,但你们真的得打磨自己的数学技巧,理论家无法容忍这样的水准。你必须了解复分析、偏微分方程、群论,所有漂亮而简单的东西,还有大学里教的所有其他东西,你们只需顺其自然。”
图片
本文作者的父亲阿尔卡季·米格达尔和作者掠影,摄于60年代早期。
我带着羞愧回了家。我的父亲阿尔卡季·米格达尔(Arkady Migdal)正在等我,他曾是朗道的学生,他们是朋友,也是竞争对手。他在30年代成为朗道的学生,甚至没有参加过朗道势垒考试。(编者注:参见《朗道学派的那些大将和他们的著作 | 谈书说人之七》)
“恭喜你——你通过了第一轮朗道考试。”他拥抱了我,但被我推开。“你在说什么啊?朗道痛骂了我们,他说理论家无法忍受这样的水平,他嘲笑我们解决问题的方式......”
“他把15岁的孩子当作成年理论家,这是对你们这些傻瓜的尊重!你真的认为一个成熟的理论家能忍受你们的数学技巧吗?按照他的建议去学习群论,不管听起来有多无礼,都要接受好的建议!顺便说,你们俩刚离开他的办公室,他就给我打了电话,他很兴奋。他说你很聪明,让他想起了他年轻时的自己。”
朗道做的不限于此。他写了一封信,推荐我们被大学录取,这后来促成了一个奇迹。事实上是两个:第一,年幼的孩子在没有高中毕业的情况下被允许参加物理技术研究所(Physical-Technical Institute)[3]的入学考试;第二,物理技术研究所接受了犹太人,这本来是不可能的。
图片
上排左起:玻利亚科夫、扎里诺夫(Vitya Zharinov);下排左起:古维茨(Seriozha Gurvitz)和本文作者,上世纪60年代军训留影。
朗道的信写得很好,直到前几年我们才看到了这封未公开的信。那时,我们生活在一个艰难的国家的艰难时期,孩子们不应该恃宠而骄。我想现在这封信不再能惯坏我们了。
朗道理论物理研究所的建立
朗道去世后,哈拉特尼科夫(Isaak Markovich Khalatnikov)和其他几位朗道的学生创建了朗道理论物理研究所(Landau Institute of Theoretical Physics)。那是60年代末,人们对斯大林的恐惧开始消退,铁幕也开始有点生锈。克格勃仍然统治着这个国家,他们玩着更复杂的游戏,但不一定要付出生命的代价了。
哈拉特尼科夫确实是一个了不起的人,在我看来,他对理论物理学的巨大贡献被低估了。他参与了朗道和阿布里科索夫(Alexei Alexeyevich Abrikosov)所做的开创性工作,他们首先发现了著名的“零电荷”(Zero charge)问题[4],为现代对一致性的场论的探索奠定了基础。但他的一生最大成就是创建并领导了在20世纪物理学史上占有重要地位的朗道研究所。
图片
朗道和他的使徒。前排从右到左:栗夫席兹(Evgeny Lifshitz)、朗道、哈拉特尼科夫、阿布里科索夫。
哈拉特尼科夫是政治谋略的天才。他通过婚姻踏入了苏维埃体制的核心圈子(他的妻子瓦莉娅(Valya)是一位传奇革命英雄的女儿),他利用所有的人脉和手段来实现他的秘密目标——集结最优秀的大脑,让他们自由地思考。
表面上,他是这样游说苏维埃的:“西方正在攻击我们的反犹主义。反击这种诽谤的最好方法是建立一个研究所,那里允许接受犹太人,允许出国旅行,并且让他们看起来很开心。按照原子弹项目的标准,这可以是一个非常小的研究所,但不会有秘密的军事研究;它的开销很少,有助于缓和紧张局面。这些犹太人会非常高兴,他们会告诉所有在西方的犹太朋友他们生活得有多好。如果他们不愿意——毕竟,是我们来决定谁去国外,谁待在家里。他们是聪明的孩子,他们会明白面包的哪一面涂了黄油。”
正如我所说,哈拉特尼科夫将一半灵魂卖给了魔鬼,并用这笔钱拯救了另一半。我真的很尊重他,因为我现在明白了如何创建一家公司并试图保护它免受敌对世界的侵害需要付出什么。
和之前许多疯狂的计划一样,这个计划确实奏效了。最优秀的人才聚集在朗道研究所,他们有机会愉快地解决问题,而不会像整个国家一样被迫咽下政治垃圾。是的,他们有时会出国旅行,在西方结交朋友。
可以说,这个计划运作得太好了——我们变得如此世俗,如此自由,以至于我们再也无法被控制。甚至,我们在西方的朋友比克格勃的监控人更接近我们。
在某种程度上,克格勃在苏联文化的其他领域也玩过类似的游戏。苏联在西方眼中的形象有所改善,但与此同时,从克格勃开始,整个国家都被西方的影响所诱惑并沉浸其中。苏联输掉冷战,不仅是因为军备竞赛的经济负担,还因为与西方轻浮地眉来眼去而丧失了斗志。
旧时代场论的葬礼
政治游戏和冷战是我们在60年代和70年代最不担心的事情。我在完成关于标度不变(Scale invariant)雷极子场论(Reggeon Field Theory)[5]的博士学位答辩后,于1969年加入朗道研究所,恰在它成立一年后。回顾那段时期,正是固体物理学(朗道研究所的主要专长)和基本粒子物理学有重大发现的时期。
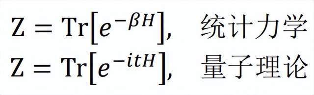
通过实现绝妙的类比,这两个领域之间互相吸收营养,催生了各自喷薄发现的潮流。伟大的施温格(Julian Schwinger,编者注:参见《施温格:昼伏夜出的QED敲门人》)预见到了这个类比,他指出统计力学中的逆温度等价于量子理论中的虚时间,因为它来自配分函数的比较:
图片
当我在60年代进入这个领域时,这个类比几乎没有被注意到,而且它的全部含义尚不清楚。我从杰出的物理学家拉金(Anatoly Ivanovich Larkin)[6]那里学到了这个类比,这是他在苏联与瓦克斯(Valentin Grigor'evich Vaks)一起创造的。统计场论的整个学科尚未诞生,它不区分量子和统计应用,而是同时使用两者的概念。
我想缺少的一环是,认识到这个“统计”虚时间与狭义相对论中的闵可夫斯基虚时间是一样的。这也是霍金将黑洞的虚时间解释为逆温度的原因。好的想法是总是如此稀缺,以至于它们会以不同的伪装反复出现。
此外,海森堡和朗道宣布了场论的死亡。正如朗道所说:“拉格朗日场论(Lagrangean Field Theory)已死,应予厚葬。”朗道的理由是“零电荷”问题,这确实表明了所有已知的场论的不一致性,除了一个尚在起步阶段还无人问津的理论。是的,那就是杨—米尔斯理论。它诞生于50年代,但直到70年代才被认真加以对待,最终它被量子化并被证明不存在“零电荷”问题。现在它是除引力以外的所有基本力的理论。
图片
维尔纳·海森堡(Werner Heisenberg)
海森堡的想法则更具野心。他是这样一个典型的例子:一位(学术)领军人物倒在狭窄的要隘,阻挡了全军去路。他敢于在著名的不确定性原理基础上更进一步,宣称物理学必须只研究可观测的量。他的方法是研究所谓的S矩阵——各种可观测的入射态(如反质子飞向氢原子)和出射态(如电子束、正电子、光子和介子)之间跃迁振幅的集合。
就像中世纪的经院哲学大师在捍卫教会教条和阻断实验科学的道路方面非常有创造力一样,60年代的一些伟大思想家以完美的技巧发展了S矩阵的教条,后者在70年代发现夸克和渐近自由(Asymptotic freedom)后被埋葬。
事实证明——这对物理学来说非常不幸——人们可以在纯粹唯象的基础上推断出很多关于S矩阵的东西,而不必问“里面还有什么”这样的异端问题。人们无法,甚至也未打算计算质子的质量或它的磁矩,也无法解释所谓的共振态——短寿命的亚原子粒子——的任何性质。散射振幅是唯一需要考虑和计算的东西。
从某种意义上说,这种反动的思想恰是真正的革命思想。自伽利略以来,对物质结构的探索第一次因哲学原因而停止——里面什么都没有,完全的“核民主”!一切事物就是由它以外的一切组成——不要问帽子里是否藏着兔子——你只管计算它会跳多远,朝什么方向跳。
这种对自由思想的枷锁由一位德国科学家强加,并在20世纪下半叶在俄罗斯被广泛接受,真是对历史的辛辣讽刺。我的物理老师格里玻夫(Vladimir Gribov)[7]和奥昆(Lev Okun)[8]被尊为自由主义者和自由思想家,是伟大的朗道的追随者,但他们仍不愿和我谈论杨—米尔斯理论,因为它是“不可观测的”。
在1964年至1966年的整整两年中,《实验与理论物理杂志》(JETP)[9]拒绝发表我与玻利亚科夫合作的论文“强相互作用的自发对称破缺和无质量粒子的缺失”(Spontaneous Symmetry Breakdown of Strong Interaction and the Absence of Massless Particles),我们(正确地!)认为杨—米尔斯理论的矢量介子必须通过吸收零质量的戈德斯通(Goldstone)粒子来获得质量。每次研讨会上,当我们试图展示这项工作时,我们都会被无情打压。最令人懊恼的是,甚至没有人会在这个话题上与我们争论——只要提到“自发对称性破缺”(Spontaneous Symmetry Breaking)就会引起善意的笑声,从而结束谈话。这个效应是由希格斯(Peter Higgs)[10]独立地发现并发表的,理所当然地被称为希格斯现象。
图片
米格达尔和玻利亚科夫,摄于70 年代初
这是关于独立思考有风险的第一个教训,也是非常有用的教训。还有更多,每一个都证明了同样的观点:枪打出头鸟。
我最终意识到,我天生就是一个唱反调的特立独行之人,永远不会成为任何群体的一分子,也不会取得任何社交层面的成功。当我与周围的世界打成一片时我就感到厌倦——我不得不抛弃这一切,然后走得更远。
图片
从左到右:阿尔卡季·米格达尔、德雷尔(Sidney Drell)、格里玻夫、本文作者、斯特里克曼(Leonid Strickman)、法兰克福(Leonid Frankfurt)和奥昆。我们正在玩推人游戏(迫使对手失去平衡),摄于70年代末。
至于海森堡和朗道厚葬的拉格朗日场论,我的好朋友扎莫洛奇科夫(Alexander Zamolodchikov[11],朗道研究所的另一位萨沙)这样总结道:“他们埋葬了拉格朗日场论,但忘记了把木桩穿过心脏”。
图片
1973年我在朗道研究所进行博士学位答辩,同谢顶的哈拉特尼科夫讨论统计场论。
共形场论的诞生
另一个例子发生在70年代初我们发展共形场论(Conformal Field Theory)时,我们从该理论中看到了宏大的远景,对此感到非常兴奋(它最终成为现代数学物理学的基本组成之一),所以我们一直试图与同事们讨论这个理论。
那时的铁幕在锈迹下已经千疮百孔,所以我们有幸在西方发表我们的工作,并与西方同行卡丹诺夫(Leo Kadanoff)[12]、威尔逊(Ken Wilson)[13]、格罗斯(David Gross)[14]和费根鲍姆(Mitchell Feigenbaum)[15]等人进行讨论。
图片
左:卡丹诺夫;右:威尔逊
这些讨论促成并发展出反常维(Anomalous Dimension)和重整化群(Renormalization Group)的重要概念,它们已经成为现代统计场论的基础。
临界指数可能是由场论方程的自洽条件决定的超越数(Transcendental numbers),这一大胆想法最早是在1966年我与格里玻夫的工作中所展示的。我们的论点是,由于标度不变性,这些方程是齐次的,因此通常它们只有零解,除非调整一些无量纲参数,如本征值,以允许具有任意标度的一系列解的族。
临界指数被保留为唯一的自由无量纲参数,这导致了我们的猜想。后来,当发现共形对称性时,这个猜想得到了一些数学上的支持,当时三点函数(Three-point function)的形状由对称性确定,因此实际上几乎没有多余的参数了,方程简化为临界指数的一组超越方程。
这个想法是由威尔逊所发展的,它揭示了重整化群的全局意义,并通过ε-展开使其成为一种定量理论。
我还记得我与卡丹诺夫的长时间争论,他和我打赌反常维是有理数(后来扎莫洛奇科夫证明这只在二维中是正确的)。在我们争论的三维中,他输给了我一瓶威士忌。作为回报,我送给他一个“无理数”瓶,这是我父亲在专业窑炉中重塑的(抛开其他才华不谈,他还是一位出色的雕塑家),其中灌满了我父亲颇为自豪的自酿酒——是用格鲁吉亚香草调味的。
大约在同一时间,费根鲍姆使用重整化群方法在混沌理论中发现了他的普适无理数指数;格罗斯和他的学生维尔切克(Frank Wilczek)在杨—米尔斯强相互作用理论中发现重整化群导致渐近自由。
那真是一个英雄的时代!
这种自由合作得以实现,部分原因是哈拉特尼科夫的巧妙计谋,他本着缓和紧张局面的宗旨组织了一系列苏美研讨会。1968年在莫斯科举行的第一次研讨会上,我们提出了基于类比相对论量子场论的相变理论;在1972年列宁格勒举行的第二次研讨会上,威尔逊提出了他著名的ε-展开方法,为解决这一理论问题提供了实用的方法。
图片
左:格罗斯和本文作者;右:费根鲍姆
第三次研讨会于1976年在美国科罗拉多州阿斯彭(Aspen)举行。这真是一场盛宴!除了对新兴的物质场论无休止地讨论,这本身就是一大乐趣,我们还在阿斯彭的山中徒步旅行,在庆祝美国200周年的独立日庆祝活动上跳舞,在阿斯彭的街道上与友好的嬉皮士人群一起纵情享乐。
图片
前往科罗拉多州阿斯彭的苏联代表团,1976年
这是我最后一次参加国际研讨会,后来克格勃找到我,我太天真了——在拒绝他们的提议时表现出了厌恶。正如后来有高人告诉我的那样,正确的做法是在他们面前表现得完全没有面子,就像个懦夫一样,然后他们就会原谅我的拒绝。但就像我说的,我过去是,现在仍然是特立独行的人,从来没有学会循规蹈矩。
共形场论是反常维思想发展的下一步,这基于一个显著的观察:局部欧几里得场论中的一维标度不变性必然导致更广泛的对称性,在我们的四个维度中有 15 个参数(包括平移和旋转)。共形对称的生成元与各种守恒流有关,对于扩张(dilation)有:
图片
对于特殊共形变换:
图片
这种不变性可以导出非常具体的预测,例如三点相关函数的显式形式和不同维度场之间的两点相关性消失。
碰巧的是,当时在杜布纳举行了一次国际会议,其主要议题是由玻戈留玻夫学派大张旗鼓推广的所谓标度对称性。这种标度对称性主要是一个政治口号:有利于学位论文和职业升迁,但无益于物理世界的任何实际应用。
在专门讨论标度对称性的全体会议之后,一位西方物理学家问报告人:“标度对称和共形对称有什么区别?”显然,关于新的对称性的谣言已经传播开来,所以这就是克格勃惯称的“挑衅性问题”。
报告人犹豫不定,但会议主席、伟大的数学家玻戈留玻夫(Nikolay Bogoliubov)[16]拿过麦克风,说出了下面的话:“数学上并无差异,但是当一些年轻人想使用一个花哨的词时,他们称之为共形对称。”
显然,他无知的助手误导了他,他也懒得去自己查什么是共形对称。
图片
玻戈留玻夫
我实在看不下去了,举手要求给大家简要介绍共形对称性(当然,没有人邀请我们中的任何一个傻瓜在如此重要的国际会议上发言,只允许我们在观众席待着)。警惕的会议组织者无视我举起的手,匆匆宣布茶歇时间到,所以没人注意到我愤愤不平的喊声:“15个参数!”(顺便说一下,最近有人告诉我,他听到了喊声,直到很多年后他学了共形对称才知道我当时说的是什么意思。)
这里有一段有趣的故事。回到家我对父亲说:“瞧,玻戈留玻夫真是个傻瓜。”然后我给他讲了关于15个参数的事儿。我父亲和我一起笑了起来——他肯定知道共形对称性是什么意思,然后他说了一番很有哲理的话:“要知道,萨沙,人的智慧有两种。第一种智慧帮助你说出聪明的话。而第二种智慧则帮助你做聪明的事。玻戈留玻夫曾拥有第一种非凡的智慧,但后来他转向了第二种。你认为他会关心共形群的参数吗?他已经涉足大科学(Big Science),而在那里政治真理比科学真理更重要。你要向他借鉴第二种智慧,这对你会有好处。”
真希望我能有这样的智慧!幸运的是,我现在的生活中身边有律师,当明智的做法是保持沉默时,他们会堵住我的嘴。
朗道研究所的学术氛围
我感到有义务讲一些关于朗道研究所的学术氛围:我们是如何工作的,我们如何讨论问题,以及我们如何娱乐。
朗道研究所更像是一个绅士俱乐部,而不是我所知道的任何其他研究机构。我们整整一周都在家工作,大部分时间都是一个人,有时在别人的公寓见面或通过电话交谈。我的学生卡扎科夫 (Vladimir Aleksandrovich Kazakov)和科斯托夫(Ivan Kostov)在发展量子引力矩阵模型(Matrix Models of Quantum Gravity)时几乎一直住在我的小公寓里。
图片
卡扎科夫和作者在巴黎,摄于90年代初。
这又是一个原创思维给你带来麻烦的例子。他们的模型作为量子引力问题的解决方案太简单了,当时人们正利用复杂的弦论方法研究量子引力问题,但没有取得多大成功。每个人都被威滕(Edward Witten)的名言催眠了:“弦论不能用20世纪的数学方法来解决。”
矩阵模型太过平凡:他们首先假设量子引力中涨落的弯曲空间可以由小的全同等边单纯形(equilateral simplexes)组成,它们彼此动态地相互重连,并通过古老的组合方法计算配分函数(对所有这些重连求和)。
理所当然,将近十年都没有人相信我们的愚蠢解决方案,直到卡尼兹尼克(Vadim Knizhnik)、玻利亚科夫和扎莫洛奇科夫使用弦论和共形场论的所有重型武器,英雄式地复现了其中一些公式。在那之前,我们一直受到排斥。
正如我苦涩地评论那样:“威滕一如既往地正确——二维弦论是用19世纪的数学方法解决的。”
每周五我们都必须去切尔诺戈洛夫卡(Chernogolovka)参加例行讨论会。我们在这里交换所有新闻和八卦,领取薪水,填写出国旅行所需的文件等。此外,在朗道研究所的几个小房间里还会举行非正式研讨会。这就是新物理学诞生和被讨论的地方,我们在破旧不堪的黑板上划着,用的那些粗制的粉笔总是在留下印记前就在手中碎了。
我还必须谈谈朗道研讨会的风格,这是非常独特的。最好的类比是狩猎,演讲者好比是狼,我们其他人是猎犬。猎人的角色最初是留给朗道的,但在他过世后就一直空缺,这增加了狩猎的混乱程度。
研讨会持续了很久——没有什么比在寻求真理的过程中互相追捕更好的事情了。没有限制,也没有同情,更不用在乎礼貌或政治正确。一切结束后,只需来一杯好酒,积累的压力和高涨的情绪就自然地释放出来了。
我在普林斯顿大学的本科课堂上曾天真地试图恢复这种朗道式的讨论(当然,不包括喝酒),结果却是一场灾难。当我在开篇演讲上对他们说:“我会努力让你们思考,这是相当痛苦的。但是,正如俄罗斯谚语所说的那样,‘苦难净化心灵’。”班上一半的学生愤愤不平地向系主任抱怨这是虐待儿童。
剩下的一半人留了下来,一路挣扎。其中一个——一个很好的中国学生——后来在考试时告诉我:“我忘记了你在课上给我们展示的简便方法,所以我用了很费力的方法解决了这个问题,但是这苦难净化了我,教授!”
“哦,是的,”我心里笑着想,“朗道万岁!”
图片
当地游行经过切尔诺戈洛夫卡的朗道研究所
上面这张照片有误导性(好像研究所很大),事实上,这是每周五我们开研讨会的地方,除此以外的时间,研究所只占据了附楼一楼的 8-10 个小房间,在这张照片中看不到。至少在70年代,我们在朗道研究所玩得很开心,这是一个大家庭,每个人都知道其他人的所有秘密。
我们并没有因为孤立而遭受太多痛苦——预印本定期通过邮件寄来,每个出国旅行的人,回来后都会把所有最新的消息倾倒给其他人。
在80年代,一切都开始变得糟糕起来——这个世界上没有什么是永恒的。事实证明,我们中的一些人比其他人更平等,而我们的西方朋友,无论他们多么努力地在孤立时期试图帮助我们,在自由市场的规律下也无能为力:如果你不在场解释并捍卫你的想法,它们就会被剽窃,或者被简单地忽视,或者被重新发明。
图片
乔治·帕里西
正如统计场论的另一位英雄帕里西(Giorgio Parisi)所说:“所有的功劳都归功于最后一个做出重要发现的人。”他自己也有很多这样的发现,在我看来最重要的是随机量子化,它解释了如何通过引入额外的“随机”时间 τ,并添加两个力来实现玻姆(David Bohm)的隐
图片
我个人的感觉是,这可能是超越量子理论中历史振幅的线性叠加公设,和由它带来的源于零点涨落(zero point fluctuation)量子海洋的无穷大的出路。如果真的有一个额外的维度,在普朗克尺度(Planck Scale)上存在一些自然力,表现得像可观察尺度上的随机噪声,那会怎么样?也许上帝根本不玩骰子?在我们的世界里没有什么是完全线性的,为什么叠加原理就应该是一个例外呢?这里它只是一个近似,是在对隐变量η(X, τ)进行平均后得到的。
70年代的黄金岁月
我们在切尔诺戈洛夫卡开了很多次疯狂的派对,有无数的伏特加,跳舞,打情骂俏,有时以打架结束。我们年轻、有才华、无所顾忌、粗枝大叶、无拘无束。从那以后,我从来没有这么自由过。回到当下的现实世界,尽管我依然生活得很快乐,但我意识到一个人不能没有责任,而在那个70年代的黄金岁月,我们几乎没有责任。那时钱也没有什么意义,按照现代的标准,我们没有人有钱,但生活中所有美好的东西都是免费的,至少在我们看来是这样。
图片
亚莎·西奈(Yasha Sinai)、玻利亚科夫和卡扎科夫在梵山(Fan)的能源峰(Peak Energia)前的营地,摄于80年代。
我们去了西伯利亚旅行,在山上徒步,我们漫不经心地冒着生命危险,毫不在乎。我记得扎哈罗夫(Vladimir Evgen'evich Zakharov)、玻利亚科夫、拉金、亚莎·西奈(Yasha Sinai)、莉娜·西奈(Lena Sinai)、还有我,在现塔吉克斯坦的梵山徒步旅行了两三个星期。当时那里还不那么危险,但野外环境仍然很狂野。在高山上,我们顶着烈日走了一整天后,晚上在帐篷里谈笑风生。
我记得有一次,扎哈罗夫、玻利亚科夫和我离开了团队,越过山口去一个叫奥尔的山村那里找些食物。我们在深夜到达了山口,并在通往村庄的安全距离处露营(如果你不请自来,那些看门狗会轻松将你撕裂)。早上,我们不得不谨慎地与当地人联系,并以酒和药物换取他们的食物(就像我说的,当时钱都“毛了”)。
图片
扎哈罗夫、帕尤索娃(Ira Payusova)、本文作者和玻利亚科夫在梵山的能源峰顶(海拔约5600米),摄于80年代。
我被玻利亚科夫的尖叫声惊醒,他第一个发现我们身上爬满了骇人的巨大蠼螋。每个都足有一英寸长甚至更大,看起来很可怕,它们正在咬我们。打败这支“军队”后,我们放声大笑,并立即写了一首诗来记录下这一壮举。
诗是扎哈罗夫和我共同创作的,用俄语听起来非常有趣。遗憾的是,我不知道如何将其翻译成英文,更不用说押韵了,整个心态完全是俄罗斯式的,更准确地说是衰落的苏联帝国的心态。
我是否怀念这些疯狂、快乐、有趣、激动人心的时光?当然!但他们一去不复返了。我对我现在生活的世界感到非常满意。在90年代的互联网革命中,我也经历过狂热和兴奋。我觉得在不久的将来会有更多激动人心的东西在等着我们。唉,但它几乎不会再是物理了!
图片
我拍了这张照片——对克格勃嗤之以鼻,随后永远离开了苏联(1988)。但我把我的心留在了那里。
译者注
[1] 本文中提及的很多物理学家都曾和作者相识,因此行文中大量采用了昵称或亲近的称呼,并非标准写法。例如米格达尔当年和另一个非常有才华的亚历山大·玻利亚科夫(Alexander M. Polyakov)是好友,并且都是朗道的学生,受到后者的“提携”。作者文中常以萨沙(Sasha,即Alexander 的昵称)称呼玻利亚科夫。玻利亚科夫现任普林斯顿大学Joseph Henry荣誉物理学教授。本文有关人物均给出英文全名。
[2] 以下作者用昵称“Dau”(道)来称呼朗道。
[3] 俄罗斯科学院约飞物理技术研究所(Ioffe Physical-Technical Institute of the Russian Academy of Sciences),简称约飞研究所。
图片
[5] 所谓雷极子场论是上世纪70年代在高能衍射散射的背景下发展起来的。最初由苏联杰出的物理学家格里玻夫提出,并在20世纪70年代初得到许多物理学家如本文作者、玻利亚科夫等人的大力发展,它通过求和所有可能的多雷极子交换来描述高能弹性衍射散射。
[6] 拉金(Anatoly Ivanovich Larkin,1932-2005),俄裔美籍物理学家,在粒子物理、超导物理方面做出杰出贡献。其博士导师即本文作者的父亲阿尔卡季·米格达尔。
[7] 格里玻夫(Vladimir Gribov,1930-1997),苏联理论物理学家,主要研究高能物理、量子场论和强相互作用的雷极理论。他最著名的贡献是坡密子(Pomeron),DGLAP方程和Gribov Copies。(格里玻夫早年本想当一名电影演员。)
[8] 奥昆(Lev Okun,1929-2015),苏联粒子物理学家。奥昆本科时期是阿尔卡季·米格达尔的学生,后来研究生阶段导师是著名物理学家Isaak Pomeranchuk。奥昆在粒子物理领域做出了许多贡献,“强子”(Hadron)一词就是他在1962年提出的。
[9] 《实验与理论物理杂志》(Journal Of Experimental And Theoretical Physics),苏联时期最主要的物理期刊之一,每期有英译本。
[10] 即大名鼎鼎的希格斯机制。希格斯(Peter Higgs)和弗朗索瓦·恩格勒(François Englert)由于"for the theoretical discovery of a mechanism that contributes to our understanding of the origin of mass of subatomic particles, and which recently was confirmed through the discovery of the predicted fundamental particle, by the ATLAS and CMS experiments at CERN's Large Hadron Collider"而共享2013年的诺贝尔物理学奖。
[11] 扎莫洛奇科夫(Alexander Zamolodchikov,1952-)现为纽约州立大学石溪分校教授,在2023年9月他与John Cardy共同获得2024科学突破奖(Breakthrough Prize)。
[12] 卡丹诺夫(Leo Kadanoff,1937-2015),美国统计物理学家,他是现代统计物理、理论凝聚态物理,特别是重整化群理论的先驱。
[13] 威尔逊(Kenneth. G. Wilson,1936-2013),美国物理学家,提出了重整化群理论和格点QCD,并于1982年因前者获得诺贝尔物理学奖。温伯格(Steven Weinberg)曾对威尔逊给予高度评价,认为他:“was one of a very small number of physicists who changed the way we all think, not just about specific phenomena, but about a vast range of different phenomena.”
[14] 格罗斯(David Gross,1941-),美国物理学家,因发现强相互作用的渐近自由而获得2004年诺贝尔物理学奖。
[15] 费根鲍姆(Mitchell Feigenbaum,1944-2019),美国数学物理学家,发现了混沌理论中的费根鲍姆常数。
[16] 玻戈留玻夫(Nikolay Bogoliubov,1909-1990),苏联理论物理学家、数学家,对数学以及理论物理都有许多深刻的贡献。他还培育了一代数学家、物理学家。许多著名物理学家尊敬地称其为老师。在苏联时代,玻戈留玻夫学派和朗道学派并称。
作者简介
图片
亚历山大·米格达尔(Alexander Arkadyevich Migdal,1945-),俄裔美籍物理学家和企业家,曾在朗道理论物理研究所、太空研究所从事学术研究工作。1988年他从苏联移居美国,先后就职于普林斯顿大学、ViewPoint Corp、Magic Works LLC等,目前在纽约大学任物理学研究教授。米格达尔仍然活跃在理论物理的研究第一线,他最近几年的研究兴趣转向湍流的统计场论(Turbulence as Statistical Field Theory)。值得一提的是,本文作者的父亲阿尔卡季·米格达尔也是著名物理学家,其主要生平以及物理学工作,可以在维基页面找到:
https://en.wikipedia.org/wiki/Arkady_Migdal 。
本文经作者授权翻译发表于《返朴》,原文地址:
https://alexandermigdal.com/paradise-lost/
出品:科普中国
图片
特 别 提 示
1. 进入『返朴』微信公众号底部菜单“精品专栏“,可查阅不同主题系列科普文章。
2. 『返朴』提供按月检索文章功能。关注公众号,回复四位数组成的年份+月份,如“1903”,可获取2019年3月的文章索引,以此类推。
版权说明:欢迎个人转发,任何形式的媒体或机构未经授权,不得转载和摘编。转载授权请在「返朴」微信公众号内联系后台。