只会看「甲功五项」?这个甲状腺激素也大有用处!

反 T3 是什么?
甲状腺激素是一种广谱激素,对许多器官细胞都有影响。不过甲状腺激素的效应虽多,但可以归为代谢效应和生长效应两大方面。
关于甲状腺激素,除了我们所熟知的 T4 和 T3 以外,还有一种甲状腺激素经常被忽略,即反 T3(reverse T3,rT3),rT3 是第三种最丰富的碘甲状腺原氨酸。
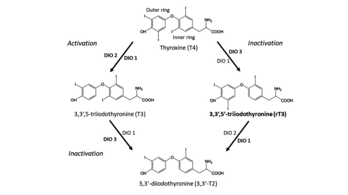
T3 是由 T4 的外环脱碘产生的,而 rT3, 即 3,3',5'-三碘甲腺原氨酸,主要(95 ~ 98%)由 T4 在外周组织中经 5-脱碘酶催化,在内环脱碘而生成,由甲状腺直接分泌的仅占极小部分[1]。
图片
图 1. 反 T3 的合成和代谢
来源:参考文献 [1]
反 T3 检测方法及参考值[2]
采用放射免疫分析(RIA)法测定正常成人血清总 rT3 水平通常为 0.22 ~ 0.46 nmol/L(14 ~ 30 ng/dL)。
正常成人血清游离 rT3 水平通常为 0.77 ~ 1.5 pmol/L(50 ~ 100 pg/dL)。血清中总 rT3 水平与游离 rT3 水平密切相关。在循环中 98% 的 rT3 与甲状腺素结合球蛋白(TBG)结合,故凡是引起 TBG 水平变化的因素均可影响血清 rT3 浓度。除 TBG 外,游离脂肪酸亦干扰 rT3 的 RIA 测定。
在解读甲状腺激素的检测结果时,一些问题亦需注意。例如,由于其他甲状腺激素代谢物有可能与 rT3 产生免疫测定交叉反应,因此血清 rT3 的参考区间取决于检测方法(放射免疫法、酶联免疫吸附测定、化学发光免疫测定和液相色谱-串联质谱法等)。另外实验条件不同,正常参考值在不同的实验室中有所差异。
反 T3 的临床意义
rT3 是鉴别甲状腺功能减退与非甲状腺疾病功能异常的重要指标之一。
非甲状腺疾病,如心肌梗死、肝硬化、糖尿病、尿毒症、脑血管意外和一些癌症患者,血清中 rT3 增加,T3/rT3 比值降低,这一指标对上述疾病程度的判断、疗效观察及预后估计均有重要意义。
血清中 T4 和 T3 99% 以上与血浆蛋白结合,即以与 TBG 结合为主,所以 TBG 含量可以影响 TT4 和 TT3。当血清 TBG 增高时,TT4 也增高;反之,TT4 也降低。
血浆甲状腺激素结合型和游离型之间存在着动态平衡,但只有游离型才具有生理活性,所以 FT3、FT4 水平更能真实反映甲状腺功能状况和更重要的临床参考价值。
rT3 与 T3 在化学结构上属异构体,但 T3 是参与机体代谢的重要激素,而 rT3 则几乎无生理活性,但血清中 T4、T3 和 rT3 维持一定比例,rT3 可以反映甲状腺激素在体内的代谢情况,故 rT3 也是反映甲状腺功能的一个指标。
>> rT3 增高
(1)甲亢
甲状腺功能亢进时血清 rT3 增加,与血清 T3、T4 的变化基本一致。而部分甲状腺功能亢进初期或复发早期仅有 rT3 升高。
(2)非甲状腺疾病
当机体处于饥饿或疾病状态(甲状腺以外的疾病)时,血液中的甲状腺激素会出现多种变化,包括 T3 降低,或者 T3、T4 都降低,rT3 升高,TSH 正常或下降,称之为非甲状腺性病态综合征(NTIS),又称为甲状腺功能正常的病态综合征(ESS)。
临床上最常表现为低 T3 综合征,此外还可表现为低 T4 综合征、高 T4 综合征等,甲状腺功能检测中,TSH、T3 和 T4 的浓度在不同综合征中含量不同,而血清 rT3 水平多数升高[4]。
引起 NTIS 的病因很多, 包括年龄因素(胎儿、新生儿、老年人);营养状态(绝食、营养不良、蛋白质缺乏); 全身性疾病(发热、感染、肝硬化、糖尿病、尿毒症、急性心肌梗死、各种癌症、妊娠中毒症、  神经性厌食、AIDS、外科手术后、重症创伤、麻醉、中毒等)。
(3)药物影响
一些药物可影响脱氧酶功能并导致循环甲状腺激素浓度的改变,如丙基硫氧嘧啶、糖皮质激素、普萘洛尔、胺碘酮等药物,以及含碘造影剂等可使 T4 转换为 T3 受到抑制,而转换为 rT3 增强,从而使血清 rT3 增高[5]。
(4)其他
在食用豆浆后,其含的黄酮化合物可引起男性和绝经后妇女 rT3 升高。
>> rT3 减低
(1)甲减
通常血清 rT3 水平与 TT3 和 TT4 的变化相一致,甲减时 rT3 明显减低,对轻型或亚临床型甲减诊断的准确性优于 T3、T4。
(2)慢性淋巴细胞性甲状腺炎
慢性淋巴细胞性甲状腺炎等疾病可出现甲减,而 rT3 的检测可在该阶段提供一定的参考价值。
(3)药物影响
应用抗甲状腺药物治疗时,rT3 减低较 T3 缓慢,当 rT3、T4 低于参考值时,提示用药过量。