阿诺德:论数学教育

这篇文章[1]反映了阿诺德对布尔巴基的批判,对庞加莱直觉主义的支持。
撰文 | Vladimir Arnold
图片
图1 获2008年邵逸夫数学科学奖时的阿诺德(图片来源:http://shawprize.org)
数学是物理学的一部分。物理学是一门实验科学,是自然科学的一部分。而数学乃是物理学中实验代价较小的部分。
雅可比恒等式 (蕴涵垂心定理:三角形的三条高相交于一点) [2]如同地球是圆的 (即同胚于球体) 一样,是一个实验事实,只不过发现前者不那么昂贵。
20世纪中叶,人们试图割裂物理学与数学。其后果已被证明是灾难性的。整整几代数学家在对其所从事科学之另一半极其无知的情况下成长,遑论其他科学了。这些人先是把他们丑陋的学院式伪数学传给他们的弟子,接着这些丑陋的伪数学又被教给中小学校里的孩子们(他们浑然忘却了哈代的警告:丑陋的数学在世上无永存之地[3])。
学院式数学脱离物理,既于教学无益,又对其他科学无用武之地,其后果是人们对数学家的普遍怨恨。这样的人有学校里那些可怜的孩子们(他们当中有的可能还会成为将来的部长),也有应用这些数学的人。
图片
图2 法国巴黎探索皇宫
由那些既无法掌握物理学又困倦于自卑中的半桶水式数学家们所拉起来的丑陋建筑,总使人想起“奇数的严格公理化理论”。显然,完全可以创造一种能够使得学生们称赞其完美无暇、内部结构和谐统一的理论(例如,可定义奇数个项的和以及任意多个因子的乘积)。按此狭隘观点,偶数要么被认为是“异端”,要么以后被当作“理想”对象补充入该理论,以此来应付物理与现实世界的需要。
不幸的是,数十年来,正是如上述这样丑陋扭曲的数学结构充斥着我们的数学教育。它肇始自法国,很快传染到基础数学教学,先是毒害大学生,接着中小学生也难免此灾(而灾区最先是法国,接着是其他国家,包括俄罗斯)。
倘若你问法国小学生,“2+3等于几”,他会这样回答:“3+2,因为加法适合交换律”。他不知道其和为几,甚至不能理解你的问题是什么!
还有的法国小学生会如下阐述数学(我认为很有可能):“存在一个正方形,但仍需证明。”
图片
图3 法国巴黎高等师范学院
根据我本人在法国的教学经验,大学生们对数学的认知与这些小学生们同样槽糕(甚至包括那些在“高等师范学校”[高师][4]里学习数学的学生──我为这些明显很聪明但却被毒害颇深的孩子们感到极度的惋惜)。
图片
从洛必达的第一部微积分教科书 (名字即为“用于理解曲线的微积分”) [5]开始,大致到古尔萨写的课本[6],解决这些问题的能力 (和熟悉单位数乘法表一样) 一直都被认为是每一个数学家应当具备的基本技能。
图片
图4 古尔萨
弱智的“抽象数学”的狂热者将几何 (由此物理和现实的联系能常在数学中反映)统统摒除于教学之外。由古尔萨、埃尔米特、皮卡等人写的微积分教程被认为是过时而有害的,最近差点被巴黎第6和第7大学的学生图书馆当垃圾丢掉,只是在我的干预下才得以保存。
图片
这样的事情怎么会在法国发生呢?!这可是为我们这个世界贡献了拉格朗日与拉普拉斯、柯西与庞加莱、勒雷与托姆这样的大家的国度啊!我觉得一个合理的解释出自彼德罗夫斯基[7]。他在1966年曾教导过我:真正的数学家决不会拉帮结派,唯有弱者才会结党营生。他们可能因各种原因而联合 (可能为超抽象,反犹主义或为“应用的和工业上的”问题),但其本质总是在一些非数学的社会问题中求生存。
我在此顺便提醒大家温习路易•巴斯德[8]的忠告:从来没有所谓的“应用科学”,有的只是科学的应用 (而且非常实际的应用!)。
图片
图5 1973年发行的纪念彼得罗夫斯基的邮票
当时我一直对彼德罗夫斯基的话心存疑虑,但现今我愈来愈坚信:他说的一点没错。可观的超抽象活动最终归结为以工业化的模式无耻地掠夺原创者的成果,然后系统地将这些成果归功于拙劣的推广者。就如美洲没有以哥伦布的名字命名一样,数学结果也几乎从未以它们真正的发现者来命名。
为避免被误引,我须声明,由于某些未知的缘故,我自己的成果从未被上述方式侵占,虽然这样的事情经常发生在我的老师 (柯尔莫哥洛夫、彼德罗夫斯基、庞特里亚金、洛赫林) 和我的学生身上。M.Berry教授曾提出如下两个原理:Arnold原理:如果某概念出现了某人名,则该人必非发现此概念者。
Berry原理:阿诺德原理适用于自身。
我们还是回到法国的数学教育上来。
在我为莫斯科国立大学数学与力学系一年级学生时,微积分课教师是集合论拓扑学家L.A. 图马金。他认真地讲解古尔萨版的古典法式微积分教程。他告诉我们若相应黎曼面是球面,则有理函数沿着代数曲线的积分可以求出来;若相应黎曼面亏格更高,则该积分一般来说不可求;此外,给定次数曲线上二重点个数足够多,则对应曲面可为球面 (由此知该曲线是有理的:即可以将其实值点在射影平面上一笔画出来)。
这些结果 (即使不给出证明) 紧紧地抓住了我们的想象,它们表现了更好更正确的现代数学思想,比布尔巴基学派[9]那卷帙浩繁的所有论著不知道好到哪里去了。确实,我们能在这里找到表面上似乎完全不同的事物之间令人惊奇的联系:一方面,积分可否显式表达与相应黎曼面的拓扑有关;另一方面,相应的黎曼面上的亏格与二重点个数之间也有重要的联系。这又和黎曼面的实部分的一笔画性质相关联。
图片
图6 1938年布尔巴基会议(从左到右分别为:Simone Weil, Charles Pisot, André Weil, Jean Dieudonné, Claude Chabauty, Charles Ehresmann, Jean Delsarte)
图片
图7 布尔巴基学派系列作品《数学原理》之一
作为数学中最迷人的性质之一,雅可比曾指出:同一个函数控制着用四个平方数之和对整数的表示[10]以及摆的真实运动。
发现这些不同种类的数学对象之间联系,就如发现物理学中电与磁之间联系,也类似于地质学上发现美洲大陆的东海岸与非洲大陆的西海岸之间的相似性。
这些发现对于教学的情感意义是难以估量的。正是它们指引着我们去研究和发现宇宙中和谐而精彩的现象。
然而,数学教育的非几何化以及对物理学的背离却割断了这种联系。例如,不仅仅是学生,绝大部分的当代代数几何学家也都不知道如下雅可比事实:第一类椭圆积分表示了相应的哈密顿系统中沿某个椭圆相曲线的运动时间。
套用关于电子与原子的著名说法,可以说圆内旋轮线就如同多项式环中的理想一样是无穷竭的。但若要把理想这一概念教给从不知道圆内旋轮线的学生,就如把分数加法教给从未将蛋糕或苹果等分切割过 (至少在脑子里切过) 的学生一样令人迷惑。一点也不奇怪孩子们做分数加法时常常分子加分子、分母加分母。
我从法国朋友那里听说这种超抽象的一般化正是他们的传统国民性。我不完全否认这种遗传病的说法,不过我还是愿意强调那个从庞加莱那儿借来的“蛋糕与苹果”的例子[11]
构造数学理论的方式与在其它自然科学中建立理论的方式完全相同。首先我们要考察某些对象并在特定例子中进行观察。然后我们通过试验找到所得观察结果适用的边界,寻求反例以阻止我们将所得想当然地推广到过于广泛的情形 (例如:将连续奇数1,3,5,7,9拆为奇数个自然数之和的分拆数[12]给出序列1,2,4,8,16,但接下来却是29)。
我们尽可能清晰地将所得经验发现 (如费马猜想和庞加莱猜想) 表述为结论。之后的阶段将是困难的,因为要检验所得结论在多大程度上可靠。
图片
图8 图为法国1952年发行的纪念庞加莱邮票
数学中已对此发展出来一套特别的方法。这种方法,在被应用于现实世界时,有时很有用,但有时也会导致自欺欺人。这就是“建模”。建模时需做如下理想化:某些只以一定概率或一定的精确性知道的事实,被认为是“绝对”正确的并被当作“公理”来接受。这种“绝对性”的意义,恰在于我们容许自己根据形式逻辑规则来运用这些“事实”,而后把所有从这些事实推导出的结论称为“定理”。
显然在任何现实活动中,要完全依赖于这样的推理是不可能的。原因至少在于所研究现象的参数决不可能被绝对准确地确定,而且参数 (例如过程的初始条件) 的微小变化能够完全地改变结果。例如,正是因为这个原因使得任何可信赖的长期天气预报都是不可能的,将来也无可能——无论计算机或是记录初始条件的设备有多发达。
与此同理,(不能完全可靠的) 公理的一个小小改变,通常能得出与从这些公理推导出来的定理完全不同的结论。推理之链 (“证明”) 越长越复杂,最后得到的结论的可靠性就越低。
复杂的模型 (除了对写论文的人) 几乎毫无用处。
数学建模方法忽略这些麻烦,把所得到的模型当成是确切地与现实世界相吻合的。从自然科学的观点来看,这种途径是显然不正确的,但却经常导致很多物理上有用的结果,该事实被称为“数学在自然科学中不合理的有效性” (或叫做“魏格纳原理”) [13]
图片
图9 匈牙利1999年发行的魏格纳纪念邮票
我在此提一下盖尔方德的一个观点:还有另一类与魏格纳注意到的数学在物理中不可思议的有效性相仿的现象——即数学在生物学中也同样有不可思议的有效性。
图片
然而,我还要提到,这个唯一性定理也可解释船只在停泊码头时的靠岸阶段为什么必须要人工操作:倘若机动,设行进的速度是距离的光滑 (线性) 函数,则整个靠岸的过程将会耗费无穷长的时间。否则只能采取与码头相撞 (船与码头之间要有非理想的弹性物体形成缓冲) 的方法。值得指出的是,月球和火星探测仪器的着陆以及空间站的对接时,此类问题曾严肃地摆在我们面前——此时唯一性问题在与我们做对。
不幸的是,在现代数学教材里,即便是其中较好者,既没有这样的例子,也没有讨论迷信定理的危险性。我甚至觉得,那些学院派数学家 (对物理知之甚少) 都对公理化形式的数学与建模的主要差异习以为常,而且他们觉得在自然科学中这是很普遍的,只是需要用后期的实验来控制理论推演。
即使不提及初始公设的相对特征,人们也不会忘记在冗长的论证中犯逻辑错误是不可避免的 (例如,宇宙射线或量子振动引发计算机崩溃)。任何做研究的数学家都知道,如果不对自己有所控制 (最好的方法是用实例来控制),那么在大约10页纸的论述之后,半数公式中的符号会出问题,而数字2会从分母跑到分子的位置上。
与如此谬误相抗的技术在任何实验科学中都一样,都是通过实验与观察进行的外部控制。而且这一技术应该一开始就教给所有大学低年级的学生。
试图创造“纯粹”推论式公理化数学的做法,导致了摒弃物理学中研究模式 (观察-建模-研究模型-得出结论-再由观察来检验),而代之以定义-定理-证明的模式。人们不可能理解一个没有来由的定义,但这并不能阻止“代数-公理学家”违规。例如,他们会用长乘规则来定义自然数的乘积。这样一来,乘法的交换性变得难以证明,但仍可以从公理中得出这样的定理。这样就可能逼迫可怜的学生来学习该定理及其证明 (其目的不外乎是提升这门学科以及教授它的人的地位)。显然,如此定义、如此证明只会伤害教学和实际工作。
要理解乘法的可交换性,只有通过分别按行、列来数方阵里士兵数,或用这两种方式来计算长方形的面积才可能。做不与物理和现实世界交叉的数学的任何企图都属于宗派主义和孤立主义。这必将破坏所有具有合理思维能力的人们眼中数学创造是有用的人类活动的这一美好印象。
我再揭示几个这样的秘密 (以此来帮助可怜的学生们) 。
图片
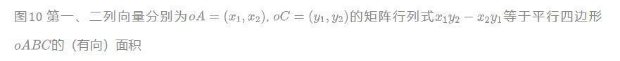
图片
一个矩阵的行列式就是一个以矩阵的各列为各边的平行多面体的 (有向) 体积。如果学生们被告知了这个秘密 (在纯粹的代数式的教育中,该秘密被小心地隐藏着),则整个行列式理论都将成为多维线性型理论的一部分。如果用别的方式来定义行列式,则任何聪明人都将会永远怨恨行列式、雅可比式以及隐函数定理这些东西。
什么是一个群呢?代数学家会这样来教学:这是附有两个满足一组令人容易忘却的规则的运算的集合。这个定义会引起自然的抗议:为何需要这一对运算?“哦,该死的数学”——这就是学生们的结论 (将来他们中有人可能成为国家科学部长)。
如果我们按照历史发展的顺序,不是由群而是从变换的观点 (一个集合到自身的1-1映射) 出发,我们就有完全不同的情形。一个集合的一族变换称为一个群,如果其中任何两个变换的复合仍在此族内,并且每个变换的逆变换也是如此。
此即该定义的核心。那些所谓的“公理”事实上仅为变换群 (明显) 的性质。公理化主义者所称的“抽象群”不过是同构 (保持运算的1-1映射) 意义下不同集合的变换群。正如凯莱所证明的,根本就不存在“更抽象的”群。那么为什么代数学家仍要用抽象的定义来折磨学生呢?
顺便提一下,1960年代我曾为莫斯科的中学生们讲授群论。我未使用任何公理,尽可能地贴近物理,半年时间我就能教给学生一般五次方程无根式解的阿贝尔定理 (同时还教了复数、黎曼面、基本群以及代数函数的单值群)。这门课程的内容后来由我的一个听众V. Alekseev编辑成书出版,书名为The Abel theorem in problems & solutions[16]
什么是一个光滑流形?我见到一本美国人最近撰写的书称庞加莱对此概念并不清晰 (尽管是由他引入的),其“现代的”定义直到上世纪20年代末期才由维布伦给出:一个流形是满足一系列公理的一个拓扑空间。
学生们究竟为何罪孽要在这些扭转曲折中尝试、摸索来寻求其正途?事实上,在庞加莱的《位置分析》(Analysis Situs) 中有比现代“抽象”定义更有用,也绝对更清晰的定义。
图片
图片
图12 1887年的埃尔米特(1822-1901);图13 埃尔米特的微积分教程标题页
光滑流形之间的光滑映射可自然地定义。微分同胚是其逆也光滑的光滑映射。
“抽象”光滑流形是在微分同胚意义下的欧氏空间的光滑子流形。世上根本无所谓“更抽象的”有限维光滑流形 (惠特尼定理)。为什么我们总是要用抽象的定义来折磨学生们呢?把闭二维流形 (曲面) 的分类定理证给学生看难道不更好吗?
恰是如此精彩的定理 (例如,任意紧连通的可定向曲面都是一个带若干柄的球面) 使我们对什么是现代数学有了一个正确的印象,而不是那些欧氏空间简单子流形的超抽象的推广,事实上后者根本没有给出任何有新意的东西,不过是被公理化主义者们作为成果用来炫耀的而已。
图片
图11 带三个柄的球面
曲面分类定理是顶级的数学成就,堪比美洲大陆或X射线的发现。这是数学自然科学里一个真正的发现,我们甚至难说该发现是属于物理学的或属于数学的。它对应用以及对发展正确的世界观的意义目前已超越了数学中的其他“成就”——如费马大定理的证明,或对任何充分大的整数都能表示成三个素数之和这类事实的证明。
为了出风头,当代的数学家有时候总要展示一些“运动会式的”成就,并声称那就是他们的学科里盖棺之作。可想而知,这样的做法不仅无助于社会对数学的欣赏,而且适得其反,会使人们产生疑问:对于这样的毫无用处的奇异问题,有必要浪费力量来做这些 (仿佛攀岩似的) 练习吗?
曲面分类定理应该放到高中数学的课程里 (或许不加证明),但由于某些原因甚至在大学的数学课程里也找不到 (顺便提一下,在法国近几十年来所有的几何都从大学课程中被删去)。
所有层次的数学教育由学院式腔调全面回归到展示自然科学的重要领域,对法国来说是一个极其重要的任务。使我感到异常震惊的是所有那些写得最好而且最重要的阐述数学方法的书在这里却几无学生知晓 (在我看来,甚至可能没被译为法文)。这些书有拉德梅彻-托普利茨写的《论数与形》、希尔伯特和康福森写的《直观几何》、柯朗和罗宾斯写的《数学是什么》、波利亚写的《如何解题》和《数学合情推理》、克莱因写的《19世纪数学发展史》[17]
我清晰地记得,当我在学校求学时,埃尔米特所写的微积分教程[18](有俄语译本!)给我留下了多么强烈的印象。
我记得在最开始几讲中就出现了黎曼曲面 (当然所有分析的内容都是针对复变量的,也本该如此) 。而渐近积分理论是在分支点运动下通过黎曼曲面上道路形变的方法来研究 (如今,我们称此方法为皮卡-莱夫谢茨理论;顺便提一下,皮卡是埃尔米特的女婿——数学能力往往是由女婿来传承:阿达马—莱维—许瓦兹—弗里希王朝就是巴黎科学院中另一范例)。
埃尔米特一百多年前撰写的教程 (也许早就被法国大学的学生图书馆扔掉了) ,已被认为“过时”,但实际上要比那些折磨学生、最令人无聊的微积分课本现代化得多。
如果数学家们再不醒悟,则那些对 (在最恰当意义下的) 现代数学理论仍有需要,同时又对那些毫无用处的公理唠叨具有免疫力 (任何具有合理思维的人共有的特点) 的消费者终将会拒绝这些中学和大学里面教育不良的学究们所提供的服务。
一位数学教师,倘若至今还未掌握多卷本的朗道和栗弗席兹的教程[19]中的一部分知识,必将成为古董,犹如迄今仍不懂开集与闭集之间差别的人。
图片
图14 2008年阿塞拜疆发行的纪念朗道诞辰100周年的邮票
图片
图15《理论物理学教程第三卷:量子力学(非相对论理论)》封面
致谢:译者感谢陆俊博士对文中代数几何等部分内容的讨论,也特别感谢美国西北大学徐佩教授的阅读校订。
——2012年6月于比勒费尔德
参考文献
[1] 作者为著名的俄罗斯数学家弗拉基米尔•阿诺德 ( Vladimir Igorevich Arnold, 1937-2010)。他是20世纪最伟大的数学家之一,曾获克拉福德奖(1982)、沃尔夫奖(2001)和邵逸夫奖(2008)等奖。此文为1997年3月7日作者在法国巴黎探索文化宫(Palais de la Découverte,为法国科学教育中心博物馆)所发表演讲的扩充版,以俄文发表于Uspekhi Mat. Nauk 53( 1998), no. 1(319), 229-234; 英译见Russian Math. Surveys 53(1998), no. 1, 229-236。英译网页版本可参
http://pauli.uni-muenster.de/~munsteg/arnold.html。亦有中译流传于网络。然而此中译不仅有笔误、漏译等不完善处,错译也不少。因该中译译者佚名,现遵《数学文化》主编之托,参考该中译,根据英译重译该文。英译中也有不清晰处,是故徐佩教授也帮助参考了俄文。译文中尽可能为初学者可能不熟悉的部分、较易说清楚的内容加了些注释并配图以方便阅读。翻译本非易事,本文涉及的数学内容又很广,错误、不恰当处请读者批评。最后,关于阿诺德的故事以及与本文类似的观点的更多阐述,有兴趣的读者可阅读他于1999年春意外受伤后养病期间撰写的书Yesterday and Long Ago (原书为俄文,2006年出版;英译2007年由Springer出版) 。
这篇文章反映了阿诺德对布尔巴基的批判,对庞加莱(Jules Henri Poincaré, 1854-1912)直觉主义的支持。值得指出的是,今年(2012)恰为庞加莱逝世100周年。
图片
[3] 哈代(G. H. Hardy, 1877-1947)为英国著名数学家。该引语出自他的名著《一个数学家的自白》(A Mathematician´s Apology, Cambridge University Press, 1994)。整段表达为:正像画家和诗人的模式一样,数学家的模式也必须是优美的;正像色彩和文字一样,数学家的思想也必须和谐一致。优美是第一关:丑陋的数学在世上无永存之地。(The mathematician's patterns, like the painter's or the poet's must be beautiful; the ideas, like the colors or the words must fit together in a harmonious way. Beauty is the first test: there is no permanent place in this world for ugly mathematics. )
[4] 高师是法国最好的大学,法国最具选拔性和挑战性的高等教育研究机构。校友中迄今已有施瓦茨、托姆以及新近的吴宝珠、维拉尼等共10位菲尔兹奖得主。
[5] 洛必达(Guillaume François Antoine, Marquis de l'Hôpital, 1661-1704),法国数学家。所提他撰写的教材原文名为Analyse des infiniment petits pour l´intelligence des lignes courbes,1696年出版。著名的洛必达法则即出现在此书中。
[6] 古尔萨(Edouard Goursat, 1858-1936),法国数学家。他的课本指1902年开始陆续出版的三卷本《数学分析教程》(Cours d´analyse mathématique)。中译最早有19世纪30年代王尚济的《解析数学讲义》以及40年代刘景芳翻译的《数学分析教程》。
[7] 彼德罗夫斯基(Ivan Georgievich Petrovsky, 1901-1973) 研究偏微分方程等,对希尔伯特第19和第16问题有重要贡献。曾任莫斯科国立大学校长(期间阿诺德被录取) 。
[8] 路易•巴斯德(Louis Pasteur, 1822-1895),法国微生物学家、化学家,微生物学的奠基人之一。巴斯德原文常见英译为 “There are no such things as applied sciences, only applications of science”。
[9] 尼古拉•布尔巴基(Nicolas Bourbaki)是二十世纪一群法国数学家为自己作品的集体笔名,其团队的正式称呼是“尼古拉•布尔巴基合作者协会”。主页为
http://www.bourbaki.ens.fr。布尔巴基希望在集合论的基础上用公理方法重新构造整个现代数学,致力于数学的严格化与一般化。布尔巴基认为:数学,至少纯粹数学,是研究抽象结构的理论。结构,就是以初始概念和公理出发的演绎系统。有三种基本的抽象结构:代数结构,序结构,拓扑结构。布尔巴基他们自1935年开始撰写题为《数学原理》(Éléments de mathématique)的一系列著作以述说他们的观点。这套书共9卷,有七千多页。
图片
[11] 庞加莱是直觉主义的先驱,认为直觉是发明的工具。1905年庞加莱发表《数学中的直觉与逻辑》。英译可参考http://www-history.
mcs.st-and.ac.uk/Extras/Poincare_Intuition.html,中译可参考《科学的价值》(李醒民译,光明日报出版社,1988)。庞加莱在此文中讨论了两类数学家,而迈克尔•阿蒂亚爵士在其演讲《二十世纪的数学》中区分了形式主义传统的代表人物(莱布尼兹—希尔伯特—布尔巴基)和直觉主义传统的代表人物(牛顿—庞加莱—阿诺德)。此处“蛋糕与苹果”的例子,按阿诺德所述,源自庞加莱。阿诺德 在一次俄法 “Mistral” 会议上的演讲(参Yersterday and Long Ago, 第157页)也提到分数教学,明确提到庞加莱曾说,只有这两种方式来教分数。阿诺德还提到卢梭在其《忏悔录》的回忆:只有在分割矩形后他才理解完全平方和公式
图片
[12] 举例来说,5有如下7种整数分拆方式:5 = 5; 5 = 1 + 4; 5 = 2 + 3; 5 = 1 + 2 + 2; 5 = 1 + 1 + 3; 5 =2+ 1+ 1+ 1; 5 = 1+ 1+ 1+ 1+ 1。其中为奇数之和的分拆数为4。欧拉曾经证明奇数之和的分拆数与不等数之和的分拆数相等。
[13] 尤金•魏格纳(Eugene Paul Wigner, 1902-1995)系匈牙利-美国物理学家,诺贝尔物理学奖获得者(1963)。这一说法参魏格纳的文章:The unreasonable effectiveness of mathematics in the natural sciences. Richard courant lecture in mathematical sciences delivered at New York University, Communications on Pure and Applied Mathematics ( 1960), 13:1, 1– 14.
图片
[15] 阿诺德在Yersterday and Long Ago(第36-37页)中也提到相同的内容,并说唯一性定理与物理现实不符是M. L. Lidov教给他的。
[16] 此书英译2004年由Kluwer出版。阿诺德的针对中学生(14-16岁)的课程由正在进行教学改革(更新欧几里得传统)的柯尔莫哥洛夫组织。参考Yersterday and Long Ago第158–163页。
[17] 《数学是什么》与《论数与形》的介绍,可参《数学文化》2012年第三期欧阳顺湘作《最美的数学就如文学》一文。
[18] 埃尔米特的原著Cours d´analyse de lécole polytechnique ( 1873),可下载自
http://archive.org/details/coursdanalysedel01hermuoft。
[19] 列夫•朗道(Lev Landau, 1908-1968)是前苏联著名物理学家,凝聚态物理学的奠基人。1962年的诺贝尔物理学奖获得者。栗弗席兹(Evgeny Lifshitz, 1915-1985)为朗道的学生、理论物理学家。这里所提教程为著名的《理论物理学教程》,全书共10卷,由朗道、栗弗席兹与皮塔耶夫斯基等人合作完成。
本文经授权转载自微信公众号“数学文化”,原标题为《论数学教育》。
特 别 提 示
1. 进入『返朴』微信公众号底部菜单“精品专栏“,可查阅不同主题系列科普文章。
2. 『返朴』提供按月检索文章功能。关注公众号,回复四位数组成的年份+月份,如“1903”,可获取2019年3月的文章索引,以此类推。