早晚餐的“黄金时间”出炉!最新研究:提前1小时,糖尿病和癌症风险显著降低59%和25%!

图片
一日之计在于晨,起床之后的第一餐也显得尤为重要。在开始本文之前,想邀请您参加一个小调查:
俗语有云,早餐吃得像皇帝,能让你充满能量地开启新的一天。从生物学角度来看,这句话同样是有道理的——好好吃早饭并不会使你变胖,甚至是加速减肥的捷径!
此前,Cell Metabolism上的研究显示,早餐吃得多的人更容易控制食欲,白天的饥饿感更少,体内刺激食欲的激素水平会有所降低,相反与饱腹感相关的激素水平则会升高。长期以往,自然更有利于减肥。正所谓,“吃饱早饭,才有力气减肥”!
(详情可见:减肥饮食被推翻!Cell新研究:晚饭多吃不一定会变胖,但早饭多吃是真有助于减肥!
图片
与晚进食减肥饮食相比,早进食减肥饮食显著降低了饥饿感和食欲
当然,“吃饱早饭”固然重要,“按时早餐”同样重要!选对吃早饭的具体时间,对健康的益处是巨大的。
近日,International Journal of Epidemiology上刊登的涵盖超10万人的大型前瞻性队列研究显示:与习惯性早晨8点之前吃早餐的相比,9点之后吃早饭的参与者罹患2型糖尿病的几率更高,高出59%!
总结来说,提早1小时吃早餐,2型糖尿病远离你。
图片
https://doi.org/10.1093/ije/dyad081
统计数据显示,2019年全球有4.63亿人患有糖尿病;预计到2045年,这一数字将翻一番。但众所周知,大多数的2型糖尿病的发生是可控的,该疾病的发生主要取决于可改变的风险因素,比如不健康饮食、缺乏运动、吸烟等等,以及进餐时间
事实上,进食在调节昼夜节律的过程中起到关键作用,包括血糖和血脂平衡的调节。比如,葡萄糖耐量和胰岛素敏感性均遵循一定的昼夜节律,会在早晨时达到最高峰,因此早餐时的β细胞反应性和胰岛素敏感性优于晚餐。然而,当进食规律被打破时,比如推迟进食时间,可能会导致昼夜节律的失调,进而引发一系列的癌症、肥胖症以及糖尿病等疾病。
人们常说的“饭吃七分饱”“过午不食”“少食多餐”等等进食方式令人眼花撩乱,到底哪种饮食方法更健康,且能降低2型糖尿病的发病率呢?
为了得到精确的答案,研究人员从NutriNet-Santé队列中收集到103,312名参与者,并采用24小时饮食记录法对参与者的就餐时间以及频率进行评估。
图片
研究流程图
依据不同的吃早餐时间,全部的参与者被分为了三组:8点之前吃早餐的人数占全部人群的44.77%,8-9点吃早餐占35.78%,9点之后吃早餐占19.45%。
基础信息显示,习惯性在8点之前吃早餐的人往往年龄更大。且与其他两组相比,更早吃早饭的参与者会更早地结束晚餐,这也与人们的认知相符。有意思的是,8点之前吃早饭的人大多有着更低的体力活动和教育水平。
经过中位数7.3年的随访之后,累计记录到963例2型糖尿病的病例。
结果显示,与上午8点前吃早饭的相比,9点之后才吃早餐的参与者罹患2型糖尿病的风险显著升高了62%!而推迟吃晚餐的时间同样能够增加2型糖尿病发病率,晚上9点之后才吃晚餐的人发生2型糖尿病的风险比8点之前吃的高出28%。
图片
不同进食模式与2型糖尿病发病率之间的关系
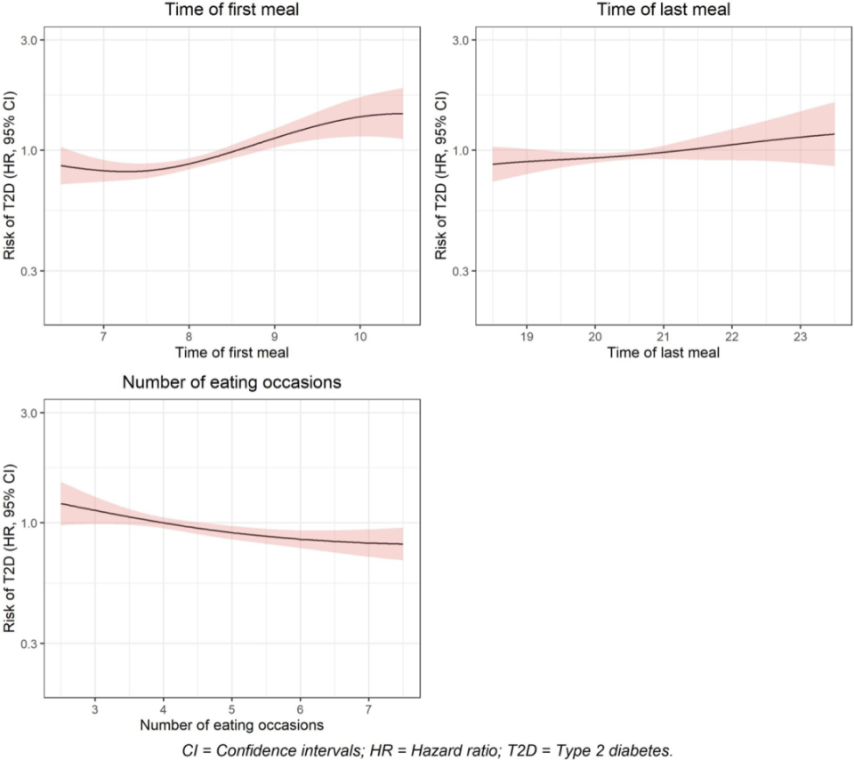
此外,研究者还探讨了进食频率和夜间禁食时间对2型糖尿病的影响,结果很有意思:
少食多餐似乎更能控制血糖——与每天进食次数不超过4次的相比,每日吃5顿以上的参与者发生2型糖尿病的风险降低了20%。
延长夜间禁食时间没有益处——无论是夜间禁食时间≤12小时,还是在12-13小时之间,或是超过13小时,三组之间罹患2型糖尿病的风险均没有差异。除非搭配了8点之前吃早餐,更长时间的夜间禁食才彰显出健康效益,约降低53%风险。
图片
进食行为与2型糖尿病患病率之间的线性关系
研究者总结道:这是首次综合评估进食时间、进食频率以及夜间禁食时间与2型糖尿病发病率相关性的研究。在评估的各种因素中,更迟吃早餐与更高的2型糖尿病风险相关,再次强调了8点之前吃早餐的重要性。
事实上,此前便有meta分析显示,不吃早餐与2型糖尿病的患病风险升高22%有关;另有横断面研究证实,用夜宵取代早餐也会诱发高血糖。而本研究则是再一次明确了具有潜在健康益处的早餐时间。
正如上文中所提,“一日之计在于晨”同样适用于代谢,即清晨是最佳代谢时间。因此,在正确的时间享受一顿健康早餐,对于血糖控制以及血脂稳态都有着极为重要的意义。
当然,不仅早吃早餐很重要,早吃晚餐同样很重要!近日,International Journal of Cancer上的最新研究显示:每天晚上9点前吃完晚餐,罹患乳腺癌和前列腺癌的综合风险能降低约25%!不仅如此,饭后不立刻睡,歇息2小时再睡,也能降低综合患癌风险。
图片
DOI: 10.1002/ijc.
这项研究涵盖了1205例乳腺癌和621例前列腺病例,以及1321例女性和872例男性对照组,年龄在20-85岁之间。
在全部参与者中,几乎所有人都吃早餐、午餐和晚餐,约三分之一的人吃下午茶,约7%的人有晚餐后吃点心的习惯。人群的早餐进食时间平均在上午8:30,午餐为下午2点,晚餐在晚上9点。无论是工作日还是周末,患病者和健康对照人群均有着相似的膳食模式。
结果表明,与晚餐后立即睡觉的人相比,晚餐后间隔2小时或更长时间再睡觉的人,乳腺癌和前列腺癌的患癌风险降低20%。随着晚餐与睡眠间隔时间的增加,罹患癌症的风险反而显著降低,尤其是前列腺癌中,约降低26%,但在乳腺癌中的相关性不那么强烈。
进一步分析发现,与晚上10点后吃晚饭相比,晚上9点前吃晚饭与两种癌症的综合风险降低18%相关,并且对前列腺癌的影响略高于乳腺癌。
而如果你每天晚餐吃得更早(晚上9点之前),且晚餐和睡眠之间的间隔时间更长(>2小时)的话,综合癌症风险将能显著降低24%!
图片
不同进食模式与睡眠之间的关系
上述研究给我们树立了一个很新的健康观念:掐准进食时间,早餐尽量控制在8点之前,而晚餐在21点前,能够有效降低多种健康风险。
其实,实现起来并不难,只要把你平时的进食时间往前调个1小时,就能收获健康益处!不如从今天就改变起来~
参考资料:
[1]Palomar-Cros A, Srour B, Andreeva VA, Fezeu LK, Bellicha A, Kesse-Guyot E, Hercberg S, Romaguera D, Kogevinas M, Touvier M. Associations of meal timing, number of eating occasions and night-time fasting duration with incidence of type 2 diabetes in the NutriNet-Santé cohort. Int J Epidemiol. 2023 Jun 16:dyad081. doi: 10.1093/ije/dyad081. Epub ahead of print. PMID: 37328450.
[2] Ruddick-Collins LC, Morgan PJ, Fyfe CL, Filipe JAN, Horgan GW, Westerterp KR, Johnston JD, Johnstone AM. Timing of daily calorie loading affects appetite and hunger responses without changes in energy metabolism in healthy subjects with obesity. Cell Metab. 2022 Aug 30:S1550-4131(22)00344-8. doi: 10.1016/j.cmet.2022.08.001.
[3]https://onlinelibrary.wiley.com/doi/full/10.1002/ijc.31649
撰文 | 生物谷、Swagpp
编辑 | Swagpp
点击下方「阅读原文」下载梅斯医学APP