娄元林等:藏南古堆地区岩浆岩岩石地球化学特征、构造环境分析及成矿响应

点击上方蓝字关注我们
藏南古堆地区岩浆岩岩石地球化学特征、构造环境分析及成矿响应
娄元林1,2,3, 成明1, 唐侥1, 张潮明1, 蓝景周1, 袁永盛4, 杨桃5
(1.中国地质调查局长沙自然资源综合调查中心,湖南 长沙 4106002.中国地质科学院矿产资源研究所,北京 1000373.中国地质大学(北京)地球科学与资源学院,北京 1000834.中国地质调查局昆明自然资源综合调查中心,云南 昆明 6501005.常德职业技术学院,湖南 常德 415000)
作者简介:娄元林,博士研究生,工程师,矿产普查与勘探专业,主要从事矿产地质调查及矿产勘查工作。Email:420418599@qq.com。
引用格式:娄元林, 成明, 唐侥, 张潮明, 蓝景周, 袁永盛, 杨桃. 藏南古堆地区岩浆岩岩石地球化学特征、构造环境分析及成矿响应[J]. 现代地质, 2023, 37(02): 353-374
摘    要
藏南古堆地区属于北喜马拉雅成矿带,该区发育有大量金锑铅锌多金属矿床。受印度板块向欧亚大陆碰撞造山作用的影响,藏南地区的岩浆活动极为强烈,古堆地区广泛发育中生代—新生代岩浆岩。在野外调查的基础上,重点围绕印支期—燕山期与喜山期构造岩浆活动,简述了区内岩浆岩的空间分布特征及其形成时代。随后详细分析典型侵入岩、火山岩与脉岩的主量元素、微量元素及稀土元素地球化学特征,讨论了区内岩浆岩的构造环境及成因。该区岩浆活动为成矿物质提供了初始热源及运移动力,地幔热液的上涌及中酸性次火山岩侵入作用,产生动力热液变质作用并汲取多种成矿元素,使之活化成含矿热液,并且迁移、沉淀,在区内一系列近 EW 向主断裂与近 SN 向次级断裂交汇处富集成矿。本次研究为今后探讨区内乃至整个藏南地区的岩浆活动-构造演化以及与成矿作用的关系提供了新思路,为准确地建立区内新的成矿模式和找矿模型提供了初始的基础地质资料。
关键词
岩浆岩; 岩石地球化学特征; 构造环境; 成岩与成矿; 古堆地区; 藏南
0 前  言
西藏古堆地区位于藏南冈底斯—喜马拉雅金锑多金属成矿带内,区内岩浆岩比较发育,以喜山期中酸性侵入岩为主,印支—燕山期中基性火山岩、侵入岩次之[4]。在该成矿带上分布着众多的锑金矿床,如隆子县扎西康大型铅锌矿[5]和措美县马扎拉中型锑金矿床[6],附近还有姜仓金矿点、姐纳各普锑金矿点、索月锑铅锌多金属矿、恰嘎锑矿点[7-8]、邦卓玛金矿床[9]等(图1)。以往中外地质学家和有关单位对本区岩浆岩做过不少研究,研究结果表明,锑金矿床的形成与岩浆活动密切相关。自三叠纪以来多次侵入的中基性-中酸性岩浆岩,不仅为矿床的形成提供了物源,同时岩浆活动为矿源层中矿质的活化、运移和富集提供了热源和动力,而后期大规模侵位的中酸性岩浆,通过变质热液等对矿源层进行再改造再富集,形成了衍生矿源层或矿(化)体[4,10-17]。岩浆活动对特提斯喜马拉雅成矿带内各矿床的形成意义重大,因而有必要加强对这些岩浆岩的研究。然而目前对古堆地区岩石类型、岩浆来源、岩石成因的研究相对缺乏。本文通过对该区内岩浆岩的地球化学特征、构造环境、成因进行讨论,为区内构造岩浆演化作用、深部动力学、成矿机制研究提供参考,对今后矿产的普查、勘探和扩大找矿远景将是有益的。
图片
图1   藏南古堆地区岩浆岩分布、构造纲要(a)及矿产分布图(b)(底图据文献[8])
1.第四系;2.侏罗系—白垩系;3.侏罗系;4.上三叠统涅如组;5.古生界曲德贡岩组;6.始新世黑云母二长花岗岩;7.花岗岩;8.闪长岩;9.辉长、辉绿岩;10.煌斑岩;11.辉石岩;12.火山岩;13.断层;14.逆冲推覆断层及编号;15.拆离断层及编号;16.地质界线;17.同位素样品年龄及采样位置;18.背斜轴;19.向斜轴;20.倒转背斜;21.倒转向斜;22.复式向斜;23.典型锑铅锌矿;24.典型锑矿;25.典型铅矿;26.典型锌矿;27.典型金矿;28.典型铜矿;29.地名;30.工作区;Ⅰ.雅拉香波和达拉变质核杂岩;Ⅱ.卓木日—俗坡下褶冲带;Ⅲ.甲坞—多日褶皱冲带
1 区域地质背景造特征及岩浆活动
根据《青藏高原及邻区大地构造图及说明书》[18],古堆地区在区域大地构造上属于特提斯—喜马拉雅构造域一级构造单元之喜马拉雅地块的中段,地处雅鲁藏布缝合带(YS)与藏南拆离系(STDS)的交接部位。该地区经历了冈瓦纳古陆北缘自泛非运动以来长期的沉积-构造演变,受三叠纪以来雅鲁藏布洋盆的扩张、消减、闭合全过程以及喜马拉雅地块与冈底斯地块的强烈碰撞造山和大规模的伸展拆离、旋钮走滑作用的影响,区内沉积作用类型复杂,岩浆活动、变质作用强烈,构造层次、构造样式、构造组合复杂多样。该区地质构造可划分为稳定陆架阶段(Z-T2)、陆架裂谷阶段(T3-K1)、碰撞造山阶段(E)、伸展拆离阶段(N1)、高原隆升阶段(N2-Q)5个阶段[19]。
本区岩浆岩分布广泛,时间上以中生代和新生代为主,空间上侵入岩主要分布在该区北部和中部;岩石类型较为齐全,从基性岩到酸性岩均有出露;酸性侵入岩侵位于印度与欧亚大陆主碰撞阶段末期,中基性侵入岩侵位于早白垩世。其岩浆岩成因类型、时间、空间展布具有一定的规律性,该区主要侵入岩分布见图1。
火山活动主要集中在中侏罗世和早白垩世。主要分布在该区西南部和南部,次要分布在该区北部,为一套海相火山岩系,由杏仁状玄武岩、安山质玄武岩、英安岩、火山角砾岩、凝灰岩等组成。另外,在晚三叠世地层中首次发现火山岩,出露面积相对较小。
2 岩浆岩的岩石学特征及其时代
2.1 侵入岩的岩石学特征及其时代
本区侵入岩较为发育,基性-中性-酸性岩类均有出露,出露总面积约67 km2,占本区总面积的2.97%(图1)。中基性岩有辉长岩、辉绿岩、闪长岩等类型,辉长岩、辉绿岩大致呈近东西向展布,与区域构造线方向一致,出露宽10~20 m,个别30~50 m,长100~800 m不等,以单脉或脉群方式产出;闪长岩主要呈岩株形式产出;出露宽200~300 m,长2~6 km不等。酸性侵入岩岩石类型较为单一,主要出露于达拉山口附近,呈岩株产出,以黑云母二长花岗岩为主,另于玉白公社恰嘎村北、俗坡下公社扎锐淌北及雪不弄公社见斑状花岗岩和黑云母二长花岗岩小岩株,产出规模较小。
辉长岩、辉绿岩为本区最主要的岩石类型,辉长岩呈灰褐色-灰绿-暗绿色,变余自形-半自形辉长结构、变余似斑状结构、变余细粒粒状结构,具块状构造,部分具气孔杏仁状构造。岩石主要由板条状交错分布的斜长石(63%)和充填斜长石格架中的短柱状辉石(32%)、它形石英、不透明钛铁氧化物(5%)等组成,构成辉长结构。岩石强烈蚀变,次闪石化、碳酸盐化,构成交代残留结构。
辉绿岩岩石呈灰绿-暗绿色,呈变余辉绿结构,部分具变余斑状结构和变余辉长辉绿结构等,块状构造,少数脉岩边部具气孔杏仁状构造。岩石主要矿物为基性斜长石(60%~62%)、单斜辉石(15%~23%),副矿物为磁铁矿和钛铁矿(小于5%),次生矿物为绿泥石(10%~20%)。基性斜长石,无色,自形长板状,自形程度好,无定向杂乱分布,一级灰干涉色;单斜辉石,无色,半自形粒状或短柱状,自形程度较差,多分布于基性斜长石颗粒间的三角孔隙中,正高突起,二级蓝干涉色;磁铁矿,黑色不透明;绿泥石,片状绿黄色,正中突出,干涉色一级灰。部分样品蚀变较为强烈,由长粒径0.5~0.8 mm板条状斜长石交错分布,构成三角形空隙,空隙中充填它形粒状、柱状辉石、石英、不透明矿物等,构成辉绿结构。
闪长岩主要由粒径为0.4~0.9 mm的斜长石(33%)、自形-半自形板条状角闪石(37%)、片状绿泥石(14%)、显微晶质它形粒状碳酸盐(10%)和它形粒状石英(3%)及分散分布的不透明铁质矿物(3%)组成,构成半自形粒状结构,块状构造。斜长石和角闪石受到不同程度地蚀变,主要为碳酸盐化、绿泥石化、轻微绢云母化,岩石中发育裂隙,裂隙被碳酸盐矿物充填。
达拉黑云二长花岗岩具细粒-粗粒结构,块状构造,主要由斜长石(30%~42%)、钾长石(9%~18%)、石英(32%~39%)组成,主要矿物粒径0.3~5.0 mm为主,少数>10 mm。斜长石多呈半自形板条状,表面洁净,聚片双晶清晰,并具环带构造,部分晶体黏土化、绢云母化强烈,绢云母多沿斜长石的节理或双晶呈网脉状或浸染状分布;钾长石呈半自形,多具卡氏双晶、格子双晶,镶黑云母、斜长石、石英包体,部分晶体边部重结晶为微晶粒,钾长石晶体边部多见与斜长石、白云母相互交代形成的显微文象结构;石英为它形粒状,连晶粒状集合体状,晶体大小不一,洁净明亮,部分与长石接触处见显微文象结构。
恰嘎花岗岩岩性为绢英岩化斑状花岗岩,斑晶主要为石英和碱性长石以及少量的黑云母,斑晶含量为10%~15%,粒度为0.2~1.2 cm不等。其中石英斑晶,半自形-自形粒状,常被熔蚀呈港湾状;碱性长石斑晶,自形板状,完全被碳酸盐、黏土和绢云母交代蚀变,少量可见其平行消光;黑云母,自形片状,可见暗化边,完全被碳酸盐交代。基质以石英和碱性长石为主,显微晶质结构,长石已被完全交代,可见残留晶形,另外基质中可见极少量的石榴子石。
前人在特提斯喜马拉雅地区发表了较多的基性岩脉年代学数据。江思宏等[20]认为浪卡子地区的基性岩形成于(134.90±1.80) Ma,童劲松等[21]查明了洛扎地区近EW向辉绿岩墙形成于(138.00±3.50) Ma,Zhu 等[22]发现措美地区辉长岩辉绿岩形成于132 Ma,杨超等[23]研究发现藏南扎西康矿区辉绿岩锆石U-Pb年龄为(132.90±2.40)Ma。古堆地区内实际获取的辉绿(玢)岩SHRIMP锆石U-Pb同位素年龄值为(137.70±0.90) Ma,辉长岩SHRIMP锆石U-Pb同位素年龄值为(133.80±0.80) Ma,地质时代属于早白垩世,闪长岩SHRIMP锆石U-Pb同位素年龄值为(130.00 ±1.70) Ma,均一致表明其为燕山晚期岩浆活动的产物[24-25]。
目前在特提斯喜马拉雅地区发现的淡色花岗岩和花岗闪长岩均呈岩基、岩株状、岩脉状侵入于穹窿的核部、区域性近东西向或者南北向的深大断裂中[4]。戚学祥等[10]研究成果表明,达拉花岗岩的SHRIMP锆石U-Pb测年结果为(44.31±0.36) Ma,形成时代为古近纪,为喜马拉雅中期岩浆活动的产物。
2.2 火山岩的岩石学特征及其时代
火山岩几乎发育于除早侏罗世外的所有地层之中。其中,中侏罗世及晚侏罗—早白垩世的火山岩具有一定规模,特别是早白垩世火山作用表现出相当大的强度,不但有多种熔岩分布,而且有火山碎屑熔岩、火山碎屑岩等岩类产出。不同地段的火山岩岩石类型、岩层厚度及火山喷发韵律与旋回均有较大变化。区内火山岩主要分布在西南角及南部区域,多呈夹层产出,与区域构造线方向一致(图1)。按时代从老到新有晚三叠世、中侏罗世、晚侏罗世—早白垩世3个时代,对应地层为上三叠统涅如组、中侏罗统遮拉组和上侏罗统至下白垩统桑秀组。岩性主要为玄武岩、安山质玄武岩、粗玄岩、英安岩、流纹岩、凝灰岩、火山角砾岩等。火山岩多表现为正地形,出露长度1~5 km,宽1~200 m不等。目前该区火山岩年代学数据较少,其中上侏罗统至下白垩统桑秀组地层中发现的一套以英安岩和粗玄岩为主的双峰式火山岩组合,英安岩的SHRIMP锆石U-Pb年龄为(134.90±2.30) Ma,成岩时代为早白垩世,与措美大火成岩省岩浆活动峰期时间一致[15]。
本区火山岩主要为火山熔岩类,是液态岩浆喷溢后冷凝的产物,其结晶程度较低,矿物粒度较细,通常具隐晶质-玻璃质结构,气孔构造、杏仁状充填构造发育,偶见枕状构造、流动构造,局部柱状节理发育,一般经历了变形和浅变质作用改造。
玄武岩呈灰绿-灰黑色,变余少斑结构-变余斑状结构,块状构造-杏仁(气孔)状构造,主要由粒径0.02~1.10 mm的细板条状强碳酸盐化斜长石(59%~63%)和分布于斜长石粒间的叶片状绿泥石(13%~25%)、针柱状磁铁矿(6%~7%)、它形石英(2%~6%)以及充填绿泥石、碳酸盐的圆形杏仁体(4%~15%)等组成,构成无斑细粒间粒结构,交代残留结构,杏仁状构造。岩石发育微裂隙,裂隙中充填萤石和碳酸盐等,大多斜长石表面黏土化呈混浊状,可见聚片双晶,构成格架,部分发育强碳酸盐化,仅保留斜长石长板条状、细板条状轮廓。
英安岩呈灰绿色,主要由粒径0.4~2.5 mm的板条状斜长石(14%)、半自形石英(12%)、钾长石(1%)斑晶,被脱玻化的玻基质胶结物(62%)组成,构成玻基斑状结构。岩石中发育不规则的气孔,孔径1.8~11.0 mm,气孔中充填碳酸盐、玉髓状石英、绿泥石等,构成杏仁构造。其中斜长石斑晶呈板状、聚斑状(由0.4~1.2 mm细板状斜长石互相聚集而成),具聚片双晶,隐显环带构造,发育泥化、碳酸盐化;石英斑晶边界多被熔蚀,碎裂,裂纹中充填玻璃质;钾长石斑晶为半自形板柱状,具卡氏双晶,见有弱泥化、碳酸盐化。玻基质为非晶质,多数脱玻化,含微晶粒状针状雏晶石英等,显光性,具收缩裂纹,裂纹中分布有绿泥石和氧化铁质。另外有玉髓状石英(7%),多为玉髓状微晶集合体状,充填气孔,碳酸盐(1%)呈它形粒状充填气孔,交代长石、石英,不透明矿物(3%)呈不规则形态,不透明或半透明褐黑色,多为玻基质析出,主要分布在玻基质的裂纹中。
2.3 脉岩的岩石学特征及其时代
本区脉岩较为发育,呈脉状、透镜状顺层或切层侵入于三叠纪—早白垩世地层之中,脉岩规模不等,宽度差异极大,从露头尺度的数十厘米到数百米不等,分布范围广泛,总体近东西向展布,构成延伸数十公里的脉岩群。脉岩类型以基性辉绿(玢)岩、煌斑岩及中性闪长(玢)岩为主。年代学研究表明[20-25]中基性岩侵位时代为早白垩世。本文重点论述在古堆—隆子一带发育一定规模的煌斑岩脉,岩性以云斜煌岩、闪斜煌岩为主,野外观察呈灰色、浅灰绿色,见大量云母斑晶,普遍具有较强的蚀变现象,风化后则呈黄褐色,其中云斜煌岩主要由较规则的碳酸盐化板条状斜长石(55%)、绿泥石化黑云母(32%)、少量钾长石(5%)、它形石英(1%)以及不透明矿物(5%)、长柱状磷灰石副矿物(2%)等组成,自形粒状结构、交代残留结构,块状构造,斜长石呈残留的长板条状、细板条集合体,显聚片双晶,黑云母较规整的片状,强绿泥石化,解理缝析出钛铁质,杂乱分布,钾长石为它形-半自形板状,表面泥化显混浊状,石英填隙于长石粒间,而不透明矿物呈细板条状、放射集合体状、针状,磷灰石为长柱状、柱粒状分散分布。
3 样品信息及分析方法
从野外采集的标本中选取未蚀变的新鲜样品共28件(不含8件煌斑岩)(表1),在河北省(廊坊)区域地质调查大队磨片室磨制探针片。通过显微观察,从中选取样品进行主量、微量、稀土元素分析。在进行测试之前,在碎样室根据不同的测试目的分别碎样,制备全岩样品。样品的主量元素采用国产AFS-830A型号的原子荧光光度计和日本Z-2300的原子吸收光度计(依据GB/T14506.28-2010、DZG20-02),微量元素利用美国ICAP6300的电感耦合等离子体质谱仪ICP-MS(依据DZG20-05、DZG-06)。Au采用原子吸收,稀土元素采用德国Thermo X2的ICP-MS方法进行测试(依据DZG20-06)。环境条件温度18~25 ℃,湿度50%~55%,分析精度主量元素RSD<5%,稀土和微量元素RSD<10%。分析工作由湖南省矿产测试利用研究所完成,测试过程中加入标样和平行样进行监控和检验。
表1   藏南古堆地区岩浆岩岩体样品信息统计
图片
其中,由于火山岩、煌斑岩等岩石极易蚀变会导致烧失量(LOI)较大,本文在探讨其岩石类型、成因等之前,对样品的主量元素分析结果进行归一化处理(表2、表3),以消除蚀变对原有成分的影响。
表2   藏南古堆地区侵入岩主量(%)、微量(10-6)和稀土元素(10-6)分析结果
图片
表3   藏南古堆地区火山岩主量(%)、微量(10-6)和稀土元素(10-6)分析结果
图片
4 岩石地球化学特征
4.1 侵入岩岩石地球化学特征
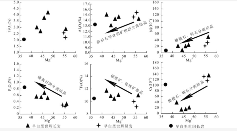
在主量元素特征方面,中基性侵入岩中的SiO2含量为48.14%~55.40%,平均值50.72%;K2O含量为0.12%~2.66%,平均值1.32%;Na2O含量为2.46%~4.39%,平均值3.24%;K2O+Na2O为3.19%~5.54%,平均值4.57%;K2O/Na2O为0.04~0.95。在TAS图解(图2(a))中,辉长岩、辉绿岩样品落入在碱性辉长岩、亚碱性辉长岩、辉长闪长岩、二长辉长岩和二长闪长岩区域,闪长岩投入到闪长岩区域。在SiO2-K2O图解(图2(b))上,有1件样品落入到低钾(拉斑)系列,5件样品落入到钙碱性系列,2件样品(闪长岩、辉长岩)落入到高钾钙碱性系列。里特曼指数σ=1.77~4.97,属钙碱性-碱性系列。Mg#变化范围较大,为36.98~57.22,在MgO对主量元素的Harker图解(图3)中,Al2O3、P2O5、TFeO与Mg#相关性不强,暗示中基性岩的分离结晶作用较弱。
图片
图2   藏南古堆地区岩浆岩地球化学图解
(a)岩浆岩TAS图解(底图据文献[31]; 虚线为碱性和亚碱性系列分界线,据文献[32]);(b)岩浆岩SiO2-K2O图解(底图上线据文献[33],下线据文献[34]);(c)火山岩Nb/Y-Zr/TiO2图解(底图据文献[35]);(d)火山岩AR-SiO2图解(底图据文献[36])
图片
图3   藏南古堆地区中基性岩主量元素Harker图解
酸性侵入岩中,达拉黑云二长花岗岩和恰嘎绢英岩化斑状花岗岩SiO2含量为68.17%~75.39%,CaO的含量为0.97%~2.83%,Na2O+K2O含量为5.97%~6.94%,Al2O3含量为14.61%~16.27%,与中国花岗岩的平均值相比[26],其特点是富铝,而铁、钛、钙含量低,其全碱含量较低,为一种淡色花岗岩[10];里特曼指数为1.10~1.91,属钙碱性系列(图2(b)),Al2O3>Na2O+K2O+CaO(物质的量),且A/CNK值为1.09~1.43,除达拉花岗岩Q7样为1.09外,其余均>1.1,表明区内花岗岩属铝过饱和-过铝质系列,与雅拉香波花岗岩及其核部高级变质岩特性是一致的。在CIPW(美国的三位岩石学家Cross、Iddings和Pirrson及地球化学家Washington姓名的首字母的组合表示该计算方法)岩石化学计算法计算的标准矿物中,出现稳定的石英(Q)+钠长石(Ab)+钙长石(An)+正长石(Or)等组合,表明属SiO2过饱和型;而标准刚玉(C)分子含量均>1%,亦显示各岩石的铝饱和度高。综合对比分析本区及邻区雅拉香波淡色花岗岩,在主量元素Harker图解(图4)上,SiO2与TiO2、Al2O3、MgO和CaO都具有良好的相关性,并在薄片鉴定结果中得到较好的印证,表明这些岩石为同源岩浆演化分异形成。
图片
图4   藏南古堆地区花岗岩类岩石主量元素Harker图解
在稀土及微量元素特征方面,中基性侵入岩的稀土元素ΣREE=128.53×10-6~505.28×10-6,(La/Yb)N=2.37~12.19,轻重稀土分馏明显,总体表现为向右倾斜配分曲线。Eu*=0.94~1.45,总体表现为Eu弱富集,说明原始岩浆岩中斜长石的分离结晶不明显(图5(a))。微量元素中,大离子亲石元素(LILE)和轻稀土元素(LREE)较为富集,未见高场强元素(HFSE),Nb、Ta、Zr、Hf明显负异常,类似于洋岛玄武岩(OIB),Sr元素相对亏损,可能反映了低压条件下斜长石的分离结晶(图5(b))。TiO2的平均含量为3.08%,与典型的OIB接近[27]。Mg#范围在36.98~57.22之间,相容元素Ni、Cr含量均很低(分别为1.68×10-6~49.60×10-6和11.80×10-6~132.60×10-6),明显偏离原生玄武岩岩浆范围[28-29](Ni=300×10-6~400×10-6,Cr=300×10-6~500×10-6)。结合Mg#与Ni、Cr的Harker图解(图3)分析,Mg#与Ni、Cr大致呈正相关关系,其含量随Mg#的降低而降低,表明岩浆在演化过程中有橄榄石和单斜辉石等铁镁质矿物的结晶分异,而其他元素与Mg#相关性较差,可能反映了它们来自不同的岩浆源区。样品中的Nb/Ta值除辉绿岩11Q6、11Q8外介于16~20之间,与原始地幔的Nb/Ta值(17.39)[27]相近。
图片
图5   藏南古堆地区侵入岩稀土元素球粒陨石标准化配分模式图((a)、(c))和微量元素原始地幔标准化蛛网图((b)、(d))(球粒陨石和原始地幔标准化数据引自文献[27])
(a)(b)早白垩世中基性侵入岩(辉长岩、辉绿岩、闪长岩);(c)(d)始新世酸性侵入岩(花岗岩)
酸性侵入岩中,花岗岩主量元素变化范围较窄,稀土元素具有较大的变化范围,其∑REE为26.70×10-6~160.24×10-6,平均值为96.62×10-6。这个数值明显低于世界上酸性岩的平均丰度(288×10-6)[30],低于上地壳稀土元素总量(210×10-6),高于下地壳稀土元素总量(74×10-6),由此判断岩石的来源可能为壳源,也可能与这些淡色花岗岩中缺少类似黑云母等暗色矿物及一些稀土元素载体副矿物(石榴子石等)有关。淡色花岗岩轻重稀土元素比值变化范围较大,LREE/HREE值为5.01~ 19.62,大大超过地幔的LREE/HREE值1.13~1.14[37];( La / Yb )N = 6.85~ 65.81,其中轻稀土分异程度(La/Gd)N=2.88~7.83,重稀土分异程度(Gd/Yb)N= 2.38~8.51,重稀土分异程度变化范围大。分析可知,Eu异常情况不一致,除QM4与Q7样品异常显示不明显外,其余样品均表现出一定的负Eu异常,指示存在斜长石的残留。在稀土元素球粒陨石标准化配分模式图(图5(c))中,均表现出右倾型。在微量元素组成上,区内淡色花岗岩变化较大,具体表现为高度富集Pb、U、Th和Hf,较为富集Zr、Sr和Rb,相对亏损Ti、Nd,部分样品相对亏损Ba,展现出Th强烈富集和正异常及Nb负异常的特征,与“S”型花岗岩的性质是一致的,并在微量元素原始地幔蛛网图(图5(d))上,呈现出多个“M”型多峰谷型[10]。由于区内花岗岩主量元素的变化范围有限,因此,它们在不相容元素上的含量的变化不是由岩浆分异作用引起的,而可能与它们的岩浆源区组成特征和形成的熔体分数有关。
4.2 火山岩岩石化学特征
在主量元素特征方面,晚三叠世火山岩的SiO2含量为47.70%~50.57%,属基性火山岩范畴,由Nb/Y-Zr/TiO2图解和AR-SiO2图解(图2(c)、(d))可知,晚三叠世玄武岩属于亚碱性系列,而主量元素中贫K2O,平均值为0.28%,指示晚三叠世火山岩为拉斑玄武岩。K2O+Na2O+CaO>Al2O3(物质的量),A/CNK=0.73~0.99,属铝不饱和-准铝质系列;里特曼指数(σ)为0.37~0.58,属拉斑玄武岩系列;其CIPW标准矿物组合为石英(Q)+正长石(Or)+紫苏辉石(Hy)+钠长石(Ab)+钙长石(An)。三件样品总体富TiO2,平均含量为1.85%,远大于一般地壳岩石和它们熔融体的TiO2含量(平均为0.72%)[38]。其全铁含量平均值为9.43%,Mg#=52.3~54.9,平均值为53.9,明显低于原生岩浆范围(Mg#=68~75)[39],指示这些玄武岩经历了较高程度的结晶分异。固结指数(SI)为37.02~39.18,平均值为38.22,这个值高于中侏罗世和晚侏罗世—早白垩世火山岩,说明区内早期火山岩比晚期火山岩的岩浆分离结晶程度低。前人研究表明[27,40-41]来自深部地幔物质的岩浆具有低的La/Ta比值(一般为8~15),岩石圈地幔的混染会导致该比值迅速增加(大于25),而La/Sm比值变化不大,岩浆在受到地壳物质混染以后,其比值迅速升高到5以上。分析表明样品La/Ta=18~24.5,La/Sm=3.12~3.18,Th/Ta=2.9~4.2(地壳值为10左右,原始地幔约为2.3),Zr/Hf=85.1~125.7(地壳值为11左右[40],原始地幔约为36.73)指示区内晚三叠世玄武岩的源岩在上升过程中可能受到了岩石圈地幔的混染,但没有遭受地壳混染。
中侏罗世火山岩共8件样品,玄武岩2件SiO2平均含量为51.32%,属基性火山岩范畴,由Nb/Y-Zr/TiO2图解(图2(c))可知,玄武岩样品点分别落入碱性玄武岩和钙碱性玄武岩区域,其MgO的含量5.03%~6.47%。其中Al2O3平均含量为13.53%,A/CNK=0.65~0.74,平均值为0.69,属于铝不饱和-准铝质系列;TiO2平均值为3.92%。K2O+Na2O=4.27%~5.20%,平均值为4.74%,高于晚三叠世玄武岩;里特曼指数(σ)为1.83~3.36,平均为2.60,属钙碱性-碱性系列;碱度指数(AR)(1.53~1.67),平均值为1.6。固结指数(SI)为27.13,说明岩浆分离结晶程度较高;CIPW标准矿物组合为石英(Q)+正长石(Or)+透辉石(Di)+紫苏辉石(Hy)+钙长石(An),为SiO2饱和类型。6件英安岩的SiO2平均含量为69.91%,属酸性火山岩范畴,其中Al2O3平均含量为13.23%,A/CNK平均值为1.28,属于铝过饱和-过铝质系列;K2O+Na2O平均值为6.09%;里特曼指数(σ)平均为1.37,属钙碱性系列;CIPW标准矿物组合为石英(Q)+刚玉(C)+正长石(Or)+钙长石(An)+钛铁矿(Il)+钠长石(Ab)+磷灰石(Ap),为SiO2过饱和类型。由Nb/Y-Zr/TiO2图解(图2(c))可知,英安岩样品点主要落入流纹英安岩/英安岩区域。在SiO2-AR变异图(图2(d))上,5个投点落入钙碱性岩区,1个落入碱性岩区,可见这5个样品全碱含量相对较高。固结指数(SI)平均为11.41,说明岩浆分离结晶程度高;CIPW标准矿物组合为石英(Q)+正长石(Or)+透辉石(Di)+紫苏辉石(Hy)+钙长石(An),为SiO2饱和类型。区内中侏罗世中火山岩主要包括玄武岩和英安岩两种岩石类型,而缺少SiO2含量为52.50%~68.50%之间的火山岩类型,表现出典型的双峰式火山岩的特征。
晚侏罗世—早白垩世火山岩的SiO2平均含量为51.33%,其中Al2O3平均含量为13.54%,A/CNK=0.66~0.87,平均值为0.73,属于铝不饱和-准铝质系列;K2O+Na2O=4.03%~6.81%,平均值为5.19%;里特曼指数(σ)两个样品>3.3,属于碱性系列,另外三个样品<3.3,属钙碱性系列,总体上晚侏罗世—早白垩世火山岩里特曼指数高于晚三叠世火山岩和中侏罗世火山岩;TiO2平均含量为4.28。在Nb/Y-Zr/TiO2图解(图2(c))中,样品均落入碱性玄武岩区域及其边缘。碱度指数(AR)为1.47~2.04,平均值为1.75,在SiO2-AR变异图(图2(d))上,4个样品落入碱性岩区及其附近区域,1个样品落入钙碱性岩区。固结指数(SI)为18.07~26.97,平均值为22.52,说明火山岩的岩浆分离结晶程度较高;CIPW标准矿物组合为石英(Q)+正长石(Or)+透辉石(Di)+紫苏辉石(Hy)+钙长石(An),为SiO2饱和类型。
在稀土及微量元素特征方面,晚三叠世玄武岩样品稀土总量较低(∑REE平均值为139.09×10-6),轻重稀土分馏程度较大((La/Yb)N平均值为7.11),其稀土元素球粒陨石标准化分布型式图为右倾型。Eu* =0.77~0.97,样品具有较弱的Eu负异常。Ce*为0.94~0.95,Ce*大多数接近1,反映该火山岩形成于较弱的氧化环境。轻重稀土分馏程度较大((La/Yb)N=6.88~7.25,平均值为7.11),表明晚三叠世火山岩属轻稀土富集型,属大陆拉斑玄武岩。(Ce/Yb)N为5.50~5.87,(La/Sm)N为2.01~2.05,皆大于1,反映了轻稀土与重稀土之间、轻稀土之间分馏程度都较高(图6(a))。微量元素方面,晚三叠世玄武岩呈现出典型的Nb、Hf负异常,推测该玄武岩的形成与亏损高场强元素的富水流体交代地幔楔有关。在原始地幔标准化微量元素图解(图6(b))上,3件样品具有明显的Th、U、Zr正异常,Ba、Nb、Ta、Sr丰度明显偏低。大离子亲石元素Ba和K呈现明显的负异常,这些元素富集在地壳中,指示地壳岩石对岩浆的混染作用不强。
图片
图6   藏南古堆地区火山岩稀土元素球粒陨石标准化配分模式图((a)、(c)、(e))和微量元素原始地幔标准化蛛网图((b)、(d)、(f))(球粒陨石和原始地幔标准化数据引自文献[27])
(a)(b)晚三叠世火山岩(玄武岩);(c)(d)中侏罗世火山岩(玄武岩、英安岩);(e)(f)晚侏罗世—早白垩世火山岩(玄武岩)
中侏罗世玄武岩的轻重稀土比(La/Yb)N=4.92~6.81,其稀土总量(∑REE为199.51×10-6)约为英安岩稀土总量(∑REE为385.69×10-6)的0.52倍,未见Eu的负异常(Eu*=1.03~1.08,平均值为1.06),其具有较低HREE含量(Yb=3.96×10-6~4.03×10-6)和低相容元素含量(Cr=46.16×10-6~172.10×10-6)的特征,与峨眉山高钛玄武岩较为类似(Yb=2.22×10-6~4.00×10-6,Cr=20×10-6~106×10-6),并与其具有相似的MgO含量。英安岩的稀土元素配分曲线为“海鸥型”(图6(c)),轻稀土略为富集,并表现出较强的Eu负异常,Eu*=0.59~0.63,平均值为0.60,指示源区有斜长石的残留,指示它与玄武岩源区不同。就中侏罗世火山岩而言,由玄武岩至英安岩,稀土总量逐渐增加,轻重稀土比值加大,表明岩浆分异程度增高。微量元素方面,玄武岩和英安岩具有LILE轻度富集和HFSE无明显亏损的特点(图6(d))。其中英安岩,大离子亲石元素中,富集Ba,亏损Sr,K,弱亏损Rb;高场强元素中,富集Zr、Hf、Ta,亏损Nb。玄武岩Nb异常不明显,元素Ti和Ta见到明显的富集,由于负的Nb、Ti、Ta异常是大陆地壳的特征,说明岩浆来源可能是地幔,只有少量地壳物质参与火山作用;恰恰相反的是遮拉组英安岩中出现较强Nb、Ti、Ta负异常,说明该酸性岩浆主要来源于地壳,这也证明了区内中侏罗世火山岩的火山活动具有双峰式特征。
晚侏罗世—早白垩世火山岩的稀土元素总量∑REE为154.51×10-6~270.94×10-6,平均值为243.76×10-6,与中侏罗世玄武岩相似,但均比晚三叠世玄武岩高;其中Eu具有弱正异常(Eu*>1.05);Ce*平均值为0.95,具弱Ce亏损,而且Ce*接近1。轻重稀土(La/Yb)N为6.46~10.42,平均值为7.64,分馏程度高,稀土元素配分模式图为右倾型(图6(e))。(Ce/Yb)N为5.47~8.42,(La/Sm)N为1.81~2.56,值皆大于1,反映了轻稀土元素与重稀土元素之间、轻稀土元素之间分馏程度都较高。晚侏罗世—早白垩世火山岩微量元素原始地幔标准化蛛网图(图6(f))显示,在大离子亲石元素中,Ba明显富集,贫K、Sr、Rb。在高场强元素中,Ta明显富集,Zr、Hf相对富集,而Nb具弱亏损,说明岩浆源区为地幔,有少量大陆地壳物质的混入,大离子亲石元素(LILE)K、Sr负异常程度大于中侏罗世玄武岩。
4.3 脉岩岩石化学特征
前人[42-43]对该地区煌斑岩做过较细致的研究,在主量元素特征方面,煌斑岩中的SiO2含量为32.99%~52.62%,平均值41.39%,总体SiO2含量较低,为基性-超基性岩石。在TAS图解中,除了两个样品落入碧玄岩靠近碱性玄武岩区域,大部分样品均落入碱性玄武岩区域,为碱性玄武岩系列[43]。固结指数(SI)是反映岩浆分异程度和岩石基性程度的重要岩石化学参数,岩浆分异程度高,则SI值就小,岩石酸性程度高。该地区煌斑岩计算得出的固结指数(SI)为27.4~42.7,且Mg#值变化范围较大。在MgO对主量元素的Harker图解中[42],Al2O3、SiO2与MgO间存在较弱的负相关关系,而TFeO、Ti2O、K2O、Na2O、CaO、P2O5与MgO的相关性均不明显,均显示煌斑岩的分离结晶作用较弱,有较多的斑晶堆积,或分离结晶过程中,分离相矿物组合发生了变化。
在稀土及微量元素特征方面,所有样品都表现出轻稀土元素富集和重稀土元素亏损的特点,总体表现为向右倾斜配分曲线[42],且Eu异常不太明显,表明在源区可能存在石榴子石残留,指示区内煌斑岩中的斜长石残留较少,与岩相学观察结论一致,弱的Ce负异常,可能与高的氧化条件有关系。岩石样品相对富集低场强大离子亲石元素(如K、Ba),而高场强元素相对亏损的特点(如Ta、Zr,但高场强元素Nb相对富集),与大陆地壳岩石特征相似,但与洋岛玄武岩和大洋中脊玄武岩有明显差别。
5 构造环境分析
5.1 侵入岩构造环境分析
前人的大量工作[21,44-45]表明,区内的中基性岩是地壳伸展作用下,基性岩浆从深源快速侵位到地表的产物。通过对这些侵入岩的分析我们可以推测其形成的构造环境及成因。在古堆地区中基性岩主量元素FMA(TFeO-MgO-Al2O3)构造判别图(图7(a))上[46],除一个样品落在洋岛区域外,其余样品都落在大陆或者靠近大陆的区域。在微量元素Zr-Zr/Y构造环境判别图(图7(b))上[47],4个样品落在板内构造环境,其余样品落在板内构造环境附近区域。在130~140 Ma,雅鲁藏布江南缘喜马拉雅地块可能出现被动大陆边缘的裂解,并有源于富集地幔的中基性岩的侵入。在中基性岩大规模产生的同时,区内在晚侏罗世—早白垩世发育一套规模较大的玄武岩-英安岩-石英砂岩-泥质粉砂岩的海相火山-沉积建造,沉积物具有典型的被动大陆边缘的特点。火山岩SHRIMP锆石U-Pb年龄为(133.00±1.0) Ma,其主要特征和大陆裂谷玄武岩相似,形成于大陆边缘拉张带(初始裂谷)环境[48-49]。中基性岩和火山岩的岩浆源区性质共同反映了区内在晚侏罗世到早白垩世拉张背景下岩石圈伸展减薄、软流圈持续上涌的地球动力背景。
图片
图7   藏南古堆地区岩浆岩构造判别图解
(a)中基性岩FMA构造判别图解(底图据文献[46]);(b)岩浆岩Zr-Zr/Y构造判别图解(底图据文献[47]);(c)花岗岩Y-Nb构造判别图解(底图据文献[50]);(d)花岗岩(Y+Nb)-Rb构造判别图解(底图据文献[50]);(e)火山岩2Nb-Zr/4-Y判别图解(底图据文献[51]);(f)煌斑岩Ti/100-Zr-3Y判别图解(底图据文献[52]);Ⅰ.洋中脊和洋底;Ⅱ.洋岛;Ⅲ.大陆;Ⅳ.扩展型中央岛;Ⅴ.造山带;WPB.板内玄武岩;MORB.大洋中脊玄武岩;IAB.岛弧玄武岩;WPG.板内花岗岩;VAG.岛弧花岗岩;ORG.洋脊花岗岩;syn-COLD.同碰撞花岗岩;A1+A2.板内碱性玄武岩;A2+C.板内拉斑玄武岩;B.P型MORB;D.N型MORB;C+D.火山弧玄武岩;ⅰ.岛弧拉斑玄武岩;ⅱ.MOBR、岛弧拉斑玄武岩和钙碱性玄武岩;ⅲ.钙碱性玄武岩;ⅳ.板内玄武岩
区内花岗岩微量元素数据表明,在花岗岩的Y-Nb构造判别图解(图7(c))中,所有样品点均落入同碰撞花岗岩区域,在(Y+Nb)-Nb构造判别图解(图7(d))中,样品点落入同碰撞花岗岩和岛弧花岗岩的重叠区域。戚学祥等[10]研究成果表明,达拉花岗岩的SHRIMP锆石U-Pb测年结果为(44.31±0.36) Ma(MSDW=0.69),代表其形成时代为主碰撞末期,为主碰撞造山作用和后碰撞造山作用转换的时期,其本身包含了丰富的地球动力学信息。据此,笔者认为区内花岗岩侵位于印度与欧亚大陆主碰撞阶段末期,岩浆的形成与两板块的碰撞导致地壳缩短加压升温引起喜马拉雅中上地壳部分熔融有关,并伴随有深部流体的加入,为俯冲构造带下盘对陆-陆主碰撞阶段的响应,是喜马拉雅造山运动由主碰撞向晚碰撞转换的标志事件。
5.2 火山岩构造环境分析
晚三叠世火山岩的地球化学信息是推测其大地构造环境的重要依据。Zr-Zr/Y分类图解(图7(b))的岩石构造环境判别结果显示,样品均落入板内构造环境。在微量元素2Nb-Zr/4-Y图解(图7(e))中,3个样品均落入板内拉斑玄武岩区域(C区),而主量元素中K2O=0.24%~0.34%,TiO2含量相对较低,说明晚三叠世玄武岩的源区是地幔。由于岩浆频繁活动,亏损玄武岩组分,源岩以亏损二辉橄榄岩和方辉橄榄岩为主,在该背景下形成的玄武岩一般低K2O、TiO2和不相容元素。结合其微量元素原始地幔标准化蛛网图,综合火山岩产出层位沉积环境分析,古堆地区晚三叠世火山岩形成于板内构造环境,是在新特提斯洋南缘—被动大陆边缘伸展期间形成的。岩浆来源于地幔,且在上涌过程中接受了地壳物质一定程度的混染,岩石类型属于板内拉斑玄武岩。
中侏罗世火山岩在Zr-Zr/Y构造判别图解(图7(b))中,中侏罗世玄武岩和英安岩样品均落入板内构造环境。在2Nb-Zr/4-Y构造判别图解(图7(e))上所有样品落入板内碱性玄武岩和板内拉斑玄武岩区域,而玄武岩主量元素中TiO2的含量大于2%,指示该类玄武岩区别于晚三叠世的拉斑玄武岩。在微量元素原始地幔标准化蛛网图中,Nb呈现弱负异常,说明地壳物质的混染作用有限。因此,古堆地区火山岩形成于板内构造环境,结合盆地分析的认识推测其形成于被动大陆边缘伸展期间。英安岩中出现明显的Nb(Ta)、Ti负异常,但该异常的引起可能与岛弧影响无关,因为区内从晚三叠世至始新世一直处于新特提斯洋被动大陆边缘的大地构造环境,故其表现出的部分岛弧特征可能与其受地壳混染作用有关。综上所述,对于中侏罗世基性火山岩,岩石类型属于板内钙碱性玄武岩,是在板内裂谷产生,来源于地幔,有地壳物质的混染。特征是含有较高的TiO2和K2O,这一特征区别于晚三叠世拉斑玄武岩。
晚侏罗世—早白垩世火山岩在Zr-Zr/Y构造判别图解上(图7(b)),4个样品落入板内构造环境,1个样品落入板内构造环境边缘附近,在2Nb-Zr/4-Y构造判别图解上(图7(e)),所有样品落入板内碱性玄武岩区域,而主量元素中TiO2的含量远大于2%,也显示出碱性玄武岩的特征。在微量元素原始地幔标准化蛛网图中,Nb呈现弱负异常,说明地壳物质的混染作用有限。因此,古堆地区晚侏罗世—早白垩世火山岩发育于板内构造环境,形成于被动大陆边缘伸展期间。综上所述,晚侏罗世—早白垩世基性火山岩,是在板内裂谷产生,来源于地幔,有地壳物质的混染,岩石类型属于板内碱性玄武岩。与区内其他火山岩相比,特征是含有较高的TiO2和K2O,这一特征明显区别于晚三叠世拉斑玄武岩。最晚活动的晚侏罗世—早白垩世火山岩全碱含量是最高的,与中侏罗世火山岩相比,地球化学特征相似,表明二者火山岩可能有相似的岩浆来源及其构造环境,为不同时期喷发的产物。
区域资料显示,三叠纪至早白垩世区内处于新特提斯洋的被动大陆边缘,桑秀组下伏维美组地层发育典型的较为纯净的石英砂岩,且桑秀组内未见硅质岩、灰岩等洋岛环境组合。综合以上分析,区内玄武岩属于板内玄武岩,并表现出被动大陆边缘的特点。结合火山岩岩石学特征和稀土与微量元素特征,本区晚三叠世火山岩形成于板内构造环境,中侏罗世火山岩、晚侏罗世—早白垩世火山岩具有裂谷火山岩的属性,为新特提斯洋的被动大陆边缘在中侏罗世—早白垩世裂解的产物。
5.3 脉岩构造环境分析
一般认为煌斑岩是一种来自岩石圈地幔的岩石,常呈脉状产出,是(超)基性岩浆从深源快速侵位到地表的产物。在古堆地区煌斑岩2Nd-Zr/4-Y构造判别图解(图7(e))和Ti/100-Zr-3Y构造判别图解(图7(f))中,所有样品基本落在板内碱性玄武岩和板内玄武岩区域,表明区内煌斑岩主要形成于板内构造环境。与中基性岩特征相似,经分析表明,区内煌斑岩TiO2平均含量为3.06%(远大于一般地壳岩石中的0.72%)[38],Zr/Hf为35.05~221.14(远大于陆壳的11),显示具有幔源的特征,而La/ Ta =17.65~ 32.67,La/Sm=4.17~7.02,高La/Ta与La/Sm比值指示区内煌斑岩在上升过程中可能受到了岩石圈的混染[41]。在稀土元素特征的分析中,相对富集大离子亲石元素及轻稀土元素,相对亏损高场强元素,但相对富集Nb,排除由于俯冲作用进入地幔的洋壳物质所致,且存在Ce的弱负异常,这些特征也指示岩浆上升过程中可能存在地壳物质的混染,总体上这也与区域上新特提斯洋形成后扩张,且岩石圈处于拉张伸展的动力学构造背景是一致的。
6 构造-岩浆演化特征
6.1 印支—燕山期
印支—燕山期的岩浆活动存在三期,分别为晚三叠世、中侏罗世、晚侏罗世—早白垩世。火山岩构造环境均表现为板内陆架裂谷,而其地球化学以及沉积特征存在一定差异。
主量元素:晚三叠世火山岩最大特点是含有较低的K2O和TiO2,属于拉斑玄武岩系列;中侏罗世玄武岩主要为钙碱性岩石,晚侏罗世—早白垩世火山岩以碱性岩石为主,简而言之,晚期火山岩碱度更高。同时中侏罗世火山岩和晚侏罗世—早白垩世火山岩具有明显的双峰式特征,即这两个时代的火山岩为源于地幔的基性岩与源于地壳的酸性岩组成。
稀土元素:稀土元素总量(ΣREE)晚三叠世火山岩为139.09×10-6,中侏罗世火山岩和晚侏罗世—早白垩世火山岩分别为199.51×10-6和204.90×10-6,从早期到晚期有逐渐增加的趋势;三者中晚三叠世火山岩Eu*小于1,表明Eu弱异常,中侏罗世火山岩和晚侏罗世—早白垩世火山岩Eu*均大于1,表明在岩浆分离结晶过程中,早期到晚期火山岩中斜长石晶出越来越少。三个时期火山岩Ce*差不多,皆具弱Ce亏损,随着火山活动的演化,Ce亏损变化不大,而且Ce*大多数接近1,反映该火山岩形成环境相似,为较弱的氧化环境。(Ce/Yb)N值、(La/Sm)N值皆大于1,反映了轻稀土与重稀土之间、轻稀土之间分馏程度都较高。从稀土元素球粒陨石标准化分布型式看,三者均为右倾,表明属轻稀土富集型。三个时期火山岩曲线近似,表明三个时期火山岩可能有相似的岩浆来源及构造环境。
根据地层岩石组合及沉积构造分析其差异:上三叠统涅如组二段为次深海盆地-斜坡相沉积,中侏罗统遮拉组为浅海陆棚环境,上侏罗统—下白垩统桑秀组为滨海-浅海陆棚环境,早期到晚期沉积环境为由深变浅。
6.2 喜马拉雅期
该时期为喜马拉雅构造运动的褶皱造山阶段,以达拉花岗岩体和恰嘎花岗岩枝为特征,侵位于印度与欧亚大陆主碰撞阶段末期。岩浆的形成与两板块的碰撞导致地壳缩短加压升温引起喜马拉雅中上地壳部分熔融有关,并伴随有深部流体的加入,为俯冲构造带下盘对陆-陆主碰撞阶段的响应,也是喜马拉雅造山运动由主碰撞向晚碰撞转换的标志事件。该时期总体表现有强烈褶皱、断裂、岩浆活动和变质作用等,形成大规模的逆冲断裂和推覆构造,导致地壳大幅度隆起和岩浆侵入。主量元素:本区达拉花岗岩SiO2含量为68.17%~75.39%,邻区雅拉香波花岗岩SiO2含量为71.43%~76.84%,早期到晚期,SiO2含量有逐渐变大的趋势;达拉花岗岩Al2O3含量为14.61%~16.27%,雅拉香波花岗岩Al2O3含量为13.44%~15.82%,早期到晚期有减少的趋势;达拉花岗岩TiO2含量为0.07%~0.28%,雅拉香波花岗岩TiO2含量为0.03%~0.26%,早期到晚期有减少的趋势;达拉花岗岩固结指数(SI)为9.08~11.04,雅拉香波花岗岩固结指数(SI)为0.37~4.29,早期到晚期岩浆分离结晶程度有变高的趋势。
稀土元素:达拉花岗岩稀土总量有较大的变化范围,其∑REE为26.70×10-6~160.24×10-6,平均值为93.47×10-6,这个数值明显低于世界上酸性岩的平均丰度(288×10-6),可能与这些淡色花岗岩缺少类似黑云母等暗色矿物及一些稀土元素载体副矿物(石榴子石等)有关。淡色花岗岩轻重稀土比值变化范围较大,(La/Yb)N=6.85~63.86,其中轻稀土分异程度(La/Gd)N=2.88~7.50,重稀土分异程(Gd/Yb)N=2.38~8.51,重稀土分异程度变化范围大。部分样品Eu具有较高负异常,Eu*<0.50,指示有较多的斜长石残留。
微量元素:达拉花岗岩大离子亲石元素富集K、Rb,相对亏损Ba、Sr;高场强元素中富集Zr、Hf,弱亏损Nb、Ta。
综上所述,钙碱性强过铝的地球化学特征、标准矿物中刚玉(C)含量(>1%)与邻区雅拉香波花岗岩及雅拉香波穹窿核部石榴石黑云母片麻岩具有相似的稀土和微量元素组成,表明褶皱造山阶段的达拉花岗岩成岩的岩浆来源于地壳,可能含有深部流体组分。
7 岩浆作用与成矿的关系
区内发育有矿床点的地区通常有岩浆岩出露。矿化体有时出露于岩浆岩内部,如象日部分锑矿化体出露于辉绿岩脉中破碎带内,邻区钛铁矿分布于辉石岩中;有些矿化体出露于脉岩与围岩接触带处,如那穷锑矿化带、恰嘎2号矿脉、邻区哲古错锑金矿化带等;有些矿化体近平行于脉岩产出地层中,如卓木日、邦卓玛、邻区查拉普金矿等[53]。
7.1 火山作用与成矿
本区火山岩发育,按时代及层位从老到新有上三叠统涅如组、中侏罗统遮拉组和上侏罗统—下白垩统桑秀组等3个含火山岩的层位。
通过对火山岩进行微量元素分析,发现W、Zn、Pb元素普遍含量高于藏南壳体丰度值,遮拉组和桑秀组火山岩中Ba、W、Sn、Pb、Zn等元素含量普遍高于藏南壳体丰度值[54],说明本区火山岩成矿物质含量较丰富,尤其是遮拉组和桑秀组,有可能为Pb、Zn元素初始矿源层富集提供了成矿物质来源。
7.2 侵入作用与成矿
本区岩浆岩发育,其中与本区成矿关系密切的主要为早白垩世和古近纪、新近纪的岩浆。早白垩世以中基性岩浆岩为特征,古近纪、新近纪以酸性岩浆岩为特征。
7.2.1 早白垩世基性岩浆岩
本区内大量发育中基性岩浆岩,侵入时代为早白垩世,侵入年龄大约(130~140)Ma,岩性主要为辉长辉绿岩和煌斑岩,次为辉石岩。
微量元素分析表明,辉长辉绿岩中Pb、Zn等元素含量高于藏南壳体丰度值,煌斑岩脉中W、Au、Pb、Zn、Cu等元素含量均高于藏南壳体丰度值[54],说明辉长辉绿岩和煌斑岩脉来源于地幔,携带了丰富的成矿物质,可能为Au、Pb、Zn、Cu等元素初始矿源层富集提供了物质来源。同时,中基性脉岩的侵入提供的热源,使得地层中的含矿物质产生活化和运移,并按熵值增大原理,向岩体附近的围岩聚集,形成有用组分的富集。
总之,早白垩世岩体及脉岩的侵入,对区内初始矿源层的形成起着重要作用。
7.2.2 古近纪和新近纪酸性岩浆岩
古近纪酸性侵入岩以达拉岩体和恰嘎岩体为代表,新近纪酸性岩体以雅拉香波岩体为代表,通过微量元素分析, Pb元素含量高于藏南壳体丰度值[54],说明Pb的成矿物质来源可能与古近纪酸性岩体有关。另外本区酸性岩体中U、W、Sn含量较高,古近纪和新近纪酸性岩体可能存在这些元素的矿产。
这些酸性岩体在挤压和拆离构造应力环境下形成的,岩脉沿着构造薄弱面侵位,使本区范围内的构造再次活化,为矿质及流体的运移提供了有利的构造条件。同时岩脉侵位过程中出溶的高温岩浆流体加入到成矿流体中,有利于成矿流体的运移和矿质富集。我们认为矿区的中酸性岩体(脉)是矿床形成的重要控制因素,它沟通了深部矿源,其中古近纪40 Ma左右的花岗岩与金锑多金属成矿关系密切,新近纪20 Ma左右的花岗岩与锑铅锌关系密切。
8 结 论
(1)通过系统开展的岩石学、地质年代学、岩石地球化学研究表明,藏南古堆地区早白垩世中-基性侵入岩主要为辉绿岩、辉长岩和闪长岩,属钙碱性-碱性系列,分离结晶作用较弱;始新世酸性侵入岩主要为花岗岩,属钙碱性系列;晚三叠世火山岩主要为玄武岩,属于亚碱性系列;中侏罗世及晚侏罗世—早白垩世火山岩主要为玄武岩和英安岩,具有较典型的双峰式特征,特征相似;煌斑岩为基性-超基性岩石,属碱性玄武岩系列,分离结晶作用较弱。
(2)区内岩浆岩比较发育,以喜山期中酸性侵入岩为主,印支期—燕山期中基性火山岩、侵入岩次之。其中,中基性侵入岩形成于大陆或板内构造环境,处于岩石圈伸展减薄、软流圈持续上涌的地球动力背景,始新世酸性侵入岩形成于同碰撞环境;晚三叠世火山岩形成于板内构造环境,岩浆来源于地幔;中侏罗世及晚侏罗世—早白垩世火山岩形成于板内构造环境,是在板内裂谷产生,岩浆来源于地幔,有地壳物质的混染;煌斑岩脉的产生与软流圈地幔活动关系密切,其形成于板内构造环境。
(3)在成矿方面,岩浆活动为成矿物质提供了初始热源及运移动力,地幔热液的上涌及中酸性次火山岩侵入作用,产生动力热液变质作用并汲取多种成矿元素,使之活化成含矿热液,并且迁移、沉淀,在区内一系列近EW向主断裂与近SN向次级断裂交汇处富集成矿。
致 谢
本文是集体创作成果,对项目组的李武毅、戴建斌等同志和审稿专家表示诚挚的感谢。
参考文献:
[1]王广耀, 许培春.新疆阿尔泰地区岩浆岩的特征及其与成矿关系[J]. 西北地质, 1983, 16(1):8-9,11-21.
[2]WANG Q, XU J F, JIAN P, et al.Petrogenesis of adakitic porphyries in an extensional tectonic setting, Dexing, South China: implications for the genesis of porphyry copper mineralization[J]. Journal of Petrology, 2006, 47: 119-144.
[3]赖杨, 周清, 秦建华, 等.藏南扎西康整装勘查区岩浆岩地质特征及研究意义[J]. 高校地质学报, 2015, 21(1):31-42.
[4]张刚阳. 藏南金锑多金属成矿带成矿模式与找矿前景研究[D]. 武汉: 中国地质大学(武汉), 2012.
[5]于淼. 藏南扎西康锑铅锌银矿床地质及成矿流体特征[D]. 北京: 中国地质大学(北京), 2015.
[6]张建芳, 郑有业, 张刚阳, 等.西藏北喜马拉雅马扎拉金锑矿床地质特征及成矿作用[J]. 黄金, 2011, 32(1):20-24.
[7]董富权, 胡可卫, 李武毅, 等.西藏隆子县恰嘎村辉锑矿地质特征及找矿潜力[J]. 地质找矿论丛, 2015, 30(1):98-102.
[8]娄元林, 陈武, 陈东太, 等.西藏隆子县恰嘎锑矿4号脉原生晕特征及深部找矿预测[J]. 西北地质, 2016, 49(4):146-164.
[9]陈东太, 陈武, 胡可卫, 等.西藏隆子县邦卓玛金矿床地质特征及地球化学异常特征[J]. 黄金, 2016, 37(8):25-28.
[10]杨竹森, 侯增谦, 高伟, 等.藏南拆离系锑金成矿特征与成因模式[J]. 地质学报, 2006, 80(9):1377-1391.
[11]戚学祥, 曾令森, 孟祥金, 等.特提斯喜马拉雅打拉花岗岩的SHRIMP U-Pb定年及其地质意义[J]. 岩石学报, 2008, 24(7):1501-1508.
[12]朱弟成, 潘桂棠, 王立全, 等.西藏冈底斯带侏罗纪岩浆作用的时空分布及构造环境[J]. 地质通报, 2008, 27(4):458-468.
[13]周雄, 温春齐, 张贻, 等.西藏冈底斯东段侵入岩岩石化学特征[J]. 矿床地质, 2012, 31(增1):1085-1086.
[14]娄元林. 西藏哲古—古堆地区地球化学特征及找矿前景分析[D]. 北京: 中国地质大学(北京), 2016.
[15]吕晓春, 任冲, 武睿, 等.藏南隆子地区早白垩世双峰式火山岩的发现——来自SHRIMP锆石U-Pb年代学和岩石地球化学的证据[J]. 地质论评, 2016, 62(4):945-954.
[16]丁枫, 高建国, 徐琨智.西藏南部绒布地区基性岩脉岩石地球化学、年代学特征及地质意义[J]. 岩石学报, 2020, 36(2):391-408.
[17]许云鹏.藏南古堆地区金锑多金属矿床形成深度及找矿潜力分析[J]. 矿产与地质, 2021, 35(2):202-210.
[18]潘桂棠, 王立全, 张万平, 等. 青藏高原及邻区大地构造图及说明书(1:150 万)[M]. 北京: 地质出版社, 2013:24-105.
[19]胡可卫, 陈武, 董富权, 等.西藏古堆地区成矿系列、成矿谱系研究及其找矿意义[J]. 矿产与地质, 2016, 30(5):761-767.
[20]江思宏, 聂凤军, 胡朋, 等.藏南基性岩墙群的地球化学特征[J]. 地质学报, 2007, 81(1):60-71.
[21]童劲松, 刘俊, 钟华明, 等.藏南洛扎地区基性岩墙群锆石U-Pb定年、地球化学特征及构造意义[J]. 岩石学报, 2007, 26(12):1655-1664.
[22]ZHU D C, CHUNG S L, MO X X, et al.The 132 Ma Comei-Bunbury large igneous province: Remnants identified in present-day southeastern Tibet and southwestern Australia[J]. Geology, 2009, 37(7):583-586.
[23]杨超, 唐菊兴, 郑文宝, 等.藏南扎西康锌多金属矿床辉绿岩锆石U-Pb年代学、岩石地球化学特征研究[J]. 有色金属(矿山部分), 2014, 66(5):30-37
[24]任冲, 刘顺, 朱利东, 等.藏南哲古基性岩SHRIMP锆石U-Pb年龄及地质意义[J]. 四川地质学报, 2014, 34(4):496-500.
[25]任冲, 马飞宙, 朱振华, 等.藏南哲古基性岩SHRIMP锆石U-Pb年龄及地质意义[J]. 中国地质, 2015, 42(4):881-890.
[26]黎彤, 袁怀雨, 吴胜昔.中国花岗岩类和世界花岗岩类平均化学成分的对比研究[J]. 大地构造与成矿学, 1998, 22(1):29-34.
[27]SUN S S, MCDONOUGH W F.Chemical and Isotope Systematics of Oceanic Basalts: Implications for Mantle Composition and Processes[M]//SAUNDERS A D,NORRY M J. Magmatism in ocean Basins. London,Geological Society Publication, 1989: 313-345.
[28]FREY F A, GREEN D H, ROY S D.Integrated models of basalts petrogenesis: a study of quartz tholeiites to olivine melilitites from South Eastern Australia utilizing geochemical experimental petrological data[J]. Journal of Petrology, 1978, 19:463-513.
[29]HESS P C.Phase equilibria constrains on the origin of ocean floor basalts[J]. Geophysical Monograph, 1992, 71:67-102.
[30]TAYLOR S R, MCLENNAN S M. The Continental Crust: Its Composition and Evolution[M]. Oxford: Blackwell Scientific Publication, 1985: 1-312.
[31]MIDDLEMOST E A K.Naming materials in the magma/igneous rock system[J]. Earth Science Reviews, 1994, 37(3/4):215-224.
[32]IRVINE T N, BARAGAR W R.A guide to the chemical classification of the common volcanic rocks[J]. Canadian Journal of Earth Sciences, 1971, 8(5):523-548.
[33]PECCERILLO A, TAYLOR S R.Geochemistry of Eocene calc-alkaline volcanic rocks from the Kastamonu area, northern Turkey[J]. Contributions to Mineralogy and Petrology, 1976, 58(1):63-81.
[34]MORRISON G W.Characteristics and tectonic setting of the shoshonite rock association[J]. Lithos, 1980, 13(1):97-108.
[35]WINCHESTER J A, FLOYD P A.Geochemical discrimination of different magma series and their differentiation products using immobile elements[J]. Chemical Geology, 1977, 20: 325-342.
[36]WRIHGT J B.A simple alkalinity ratio and its application to questions of non-orogenic granite genesis[J]. Geological Magazine, 1969, 106(4):370-384.
[37]张志平, 钟康惠, 董瀚, 等.西藏桑日县帕南岩体岩石学、地球化学、地质年代学研究及构造背景探讨[J]. 沉积与特提斯地质, 2020, 40(2):52-64.
[38]RUDNICK R L, GAO S.Composition of the continental crust[J]. Treatise on Geochemistry, 2003, 3(12):1-64.
[39]WILSON M. Igneous Petrogenesis: A Global Tectonic Approach[M]. London: Unwin Hyman, 1989: 1-466.
[40]WEAVER B L.The origin of ocean island basalt end-member compositions: trace element and isotopic constrains[J]. Earth and Planetary Science Letters, 1991, 104(2/4): 381-397.
[41]LASSITER J C, DE PAOLO D J.Plume /lithosphere interaction in the generation of continental and oceanic flood basalts: chemical and isotopic constrains[J]. American Geophysical Union Monograph, 2000, 100: 335-355.
[42]盖辰星, 齐祥春, 鲁星凯, 等.藏南古堆地区煌斑岩地球化学特征及构造环境[J]. 现代矿业, 2016, 32(10):131-132,151.
[43]袁和, 罗先熔, 李武毅, 等.西藏古堆地区煌斑岩地球化学特征及其构造意义[J]. 地质与勘探, 2017, 53(2):300-309.
[44]朱弟成, 王立全, 潘桂棠, 等.藏南特提斯喜马拉雅带中段中侏罗统遮拉组OIB型玄武岩浆的识别及其意义[J]. 地质科技情报, 2004, 23(3):15-24.
[45]夏瑛, 朱第成, 赵志丹, 等.藏东南措美大火成岩省中OIB型镁铁质岩的全岩地球化学和锆石Hf同位素[J]. 岩石学报, 2012, 28(5):1588-1602.
[46]PEARCE J A.Role of the Sub-Continental Lithosphere in Magma Genesis at Active Continental Margins[M]//HAWKESWORTH C J,NORRY M J. Continental Basalts and Mantle Xenoliths[J]. Nantwich: Shiva, 1983: 230-249.
[47]PEARCE J A, NORRY M J.Petrogenetic implications of Ti, Zr, Y, and Nb Variations in Volcanic rocks[J]. Contributions to Mineralogy and Petrology, 1979, 69(1): 33-37.
[48]钟华明, 童劲松, 夏军, 等.藏南羊卓雍错南部桑秀组火山岩的特征及构造环境[J]. 地质通报, 2005, 24(1):72-79.
[49]钟华明, 夏军, 童劲松, 等.洛扎县幅地质调查新成果及主要进展[J]. 地质通报, 2004, 23(5/6):451-457.
[50]PEARCE J A, HARRIS N B W, TINDLE A G.
Trace element discrimination diagrams for the tectonic interpretation of granitic rocks[J]. Journal of Petrology, 1984, 25(4): 956-983.
[51]MESCHEDE M.A method of discriminating between different type of mid-ocean ridge basalts and continental tholeiites with the Nb-Zr-Y diagram[J]. Chemical Geology, 1986, 56: 207-218.
[52]PEARCE J A, CANN J R.Tectonic setting of basic volcanic rocks determined using trace element analysis[J]. Earth and Planetary Science Letters, 1973, 12: 290-300.
[53]陈澍民. 西藏古堆地区金锑多金属矿床地球化学特征及成矿模式[D]. 北京: 中国地质大学(北京), 2017.
[54]娄元林, 陈武, 杨桃.西藏隆子县邦卓玛金矿床成矿模式与找矿模型[J]. 地质通报, 2019, 38(2):449-461.
图片
【欢迎转载,转就是了】
往期精彩回顾
田安琦等:准噶尔盆地莫索湾凸起西缘走滑断裂分层变形特征及形成机理
祁鹏等:西湖凹陷天台斜坡新生代构造差异特征及其形成机制
唐旭等:苏北盆地高邮凹陷断裂系统发育特征及其控藏作用
庞思晨等:西非裂谷系Grein坳陷构造几何学与运动学特征
李成路等:河套盆地西南缘巴音恩格尔活动断裂的发现及地质意义
现代地质GEOSCIENCE
图片
长按识别二维码关注我们
投稿及建议
请联系我们
http://www.geoscience.net.cn/
010-82322463
xddz@cugb.edu.cn
点个在看你最好看