15种常用抗抑郁药的消化道副作用:meta分析|文献述评

医脉通导读
本项meta分析共纳入了304项随机对照研究,探讨并间接比较了15种临床常用抗抑郁药的8类消化道副作用的风险。
分析显示,全部15种抗抑郁药的消化道副作用风险均显著高于安慰剂,但不同药物具体副作用的风险存在差异:临床使用广泛的艾司西酞普兰及舍曲林的消化道耐受性总体较差;米氮平是本次分析中唯一一种与食欲增加副作用显著相关的药物,但可能有助于改善恶心;氟西汀的消化不良风险显著低于安慰剂;西酞普兰/艾司西酞普兰导致恶心的效应及伏硫西汀的便秘副作用似乎存在量效关系。
未来有必要进一步开展研究,探讨其他因素对抗抑郁药消化道副作用的影响,如内分泌及炎症状态、肠道微生物群构成、遗传变异等;这些因素也可能升高患者在抗抑郁药治疗期间出现消化道副作用的可能性。
消化道副作用,如恶心、呕吐、腹泻、便秘、腹痛等,在抑郁症患者服用抗抑郁药时相当常见,尤其是治疗早期。一些医生认为,抗抑郁药的消化道副作用多为轻到中度,且通常会随着治疗的进行而逐渐缓解,「忍一忍就过去了」。然而事实上,消化道副作用常对患者构成显著的困扰,是导致患者过早停药的重要原因,需引起重视。
既往已有研究比较了不同抗抑郁药的消化道副作用发生率。如有研究显示,经典SSRI类抗抑郁药氟西汀与三环类抗抑郁药相比,前者更容易导致恶心、厌食及体重下降,而后者更容易导致便秘及体重增加。然而,目前尚无针对新型抗抑郁药消化道副作用风险的全面的定性及定量分析。
研究简介
在这一背景下,意大利博洛尼亚大学Vincenzo Oliva及其合作者开展了一项针对随机对照研究的系统综述及meta分析,比较了15种目前临床常用的抗抑郁药(阿戈美拉汀、安非他酮、西酞普兰、去甲文拉法辛、度洛西汀、艾司西酞普兰、氟西汀、氟伏沙明、左旋米那普仑、米氮平、帕罗西汀、瑞波西汀、舍曲林、文拉法辛、伏硫西汀)短期内的消化道副作用发生率。该研究发表于Prog Neuropsychopharmacol Biol Psychiatry.。
简言之,研究者对MEDLINE等主流数据库1985年至2020年5月31日间收录的相关英文随机对照研究进行了检索,要求受试者为抑郁症诊断明确的18岁以上成年患者,使用上述抗抑郁药进行治疗,明确报告了消化道副作用的发生情况,研究时长6至12周。研究者同时从礼来、葛兰素史克、灵北、默沙东、诺华、辉瑞、美国食品药物监督管理局(FDA)、欧洲药监局(EMA)获取了未发表的数据。
研究者重点关注了以下8类消化道副作用的发生率:恶心/呕吐,腹泻,便秘,腹痛,消化不良,厌食,食欲增加,口干。篇幅所限,数据收集及提取、研究质量评定、数据分析过程等细节详见原始文献(见文末文献索引)。
研究结果
经过入排筛选,本项meta分析共纳入了来自304项随机对照研究的证据,每种抗抑郁药的研究数量从5项(左旋米那普仑)至69项(氟西汀)不等。
总体而言,全部15种抗抑郁药的消化道副作用风险均显著高于安慰剂。其中,临床应用广泛的两种SSRI——艾司西酞普兰及舍曲林的消化道总体耐受性最不理想,大部分消化道副作用的发生率显著高于安慰剂;米氮平的消化道副作用相对较少,但却是本次分析中唯一一种与食欲增加副作用显著相关的药物,而食欲增加可造成长期不良后果;一些药物在特定的消化道副作用上拥有优势,风险甚至显著低于安慰剂;一些药物的消化道副作用呈现出量效关系。
以下简要介绍各类消化道副作用的结果:
1. 恶心/呕吐
图片
图1 恶心/呕吐副作用发生率显著高于安慰剂的14种药物,竖线为95%置信区间
如图1,全部15种抗抑郁药中,恶心/呕吐发生率显著高于安慰剂的有14种,比值比(OR)由高到低依次为:度洛西汀(4.33),伏硫西汀(4.28),左旋米那普仑(3.81),文拉法辛(3.52),瑞波西汀(3.52),去甲文拉法辛(3.51),舍曲林(2.78),氟伏沙明(2.72),艾司西酞普兰(2.51),帕罗西汀(2.11),西酞普兰(1.85),阿戈美拉汀(1.77),安非他酮(1.52),氟西汀(1.45)。
米氮平的恶心/呕吐发生率与安慰剂无显著差异。
2. 腹泻
图片
图2 腹泻副作用发生率显著高于安慰剂的5种药物;竖线为95%CI
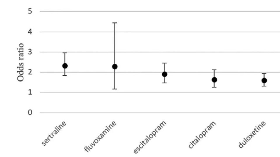
如图2,全部15种抗抑郁药中,腹泻发生率显著高于安慰剂的有5种,OR由高到低依次为:舍曲林(2.33),氟伏沙明(2.29),艾司西酞普兰(1.91),西酞普兰(1.64),度洛西汀(1.60)。
阿戈美拉汀、安非他酮、去甲文拉法辛、氟西汀、左旋米那普仑、帕罗西汀、伏硫西汀、文拉法辛的腹泻发生率与安慰剂无显著差异。米氮平、瑞波西汀缺乏相关数据。
3. 便秘
图片
图3 便秘副作用发生率显著高于安慰剂的10种药物;竖线为95%CI
如图3,全部15种抗抑郁药中,便秘发生率显著高于安慰剂的有10种,OR由高到低依次为:左旋米那普仑(3.51),去甲文拉法辛(3.41),度洛西汀(2.58),文拉法辛(2.45),舍曲林(2.38),瑞波西汀(2.37),帕罗西汀(2.14),阿戈美拉汀(2.10),伏硫西汀(1.59),安非他酮(1.52)。
西酞普兰、艾司西酞普兰、氟西汀、氟伏沙明、米氮平的便秘发生率与安慰剂无显著差异。
4. 腹痛
图片
图4 腹痛副作用发生率显著高于安慰剂的2种药物;竖线为95%CI
如图4,全部15种抗抑郁药中,腹痛发生率显著高于安慰剂的有2种,分别为艾司西酞普兰(2.08)和西酞普兰(2.01)。
阿戈美拉汀、安非他酮、去甲文拉法辛、度洛西汀、帕罗西汀、舍曲林、文拉法辛的腹痛发生率与安慰剂无显著差异。氟西汀、氟伏沙明、左旋米那普仑、米氮平、瑞波西汀、伏硫西汀缺乏相关数据。
5. 消化不良
图片
图5 消化不良副作用发生率显著高于安慰剂的2种药物;竖线为95%CI
如图5,全部15种抗抑郁药中,消化不良发生率显著高于安慰剂的有2种,分别为舍曲林(2.64)和艾司西酞普兰(2.47)。
阿戈美拉汀、安非他酮、西酞普兰、度洛西汀、氟伏沙明、米氮平、帕罗西汀、文拉法辛的消化不良发生率与安慰剂无显著差异。
值得注意的是,氟西汀的消化不良发生率显著低于安慰剂。伏硫西汀仅有一项研究,无法进行meta分析。去甲文拉法辛、左旋米那普仑、瑞波西汀缺乏相关数据。
6. 厌食
图片
图6 厌食副作用发生率显著高于安慰剂的9种药物;竖线为95%CI
如图6,全部15种抗抑郁药中,厌食发生率显著高于安慰剂的有9种,OR由高到低依次为:氟伏沙明(6.28),去甲文拉法辛(4.80),文拉法辛(4.68),帕罗西汀(4.38),度洛西汀(4.18),氟西汀(3.20),艾司西酞普兰(2.62),舍曲林(2.39),伏硫西汀(2.37)。
阿戈美拉汀、安非他酮、西酞普兰的厌食发生率与安慰剂无显著差异。左旋米那普仑、米氮平、瑞波西汀缺乏相关数据。
7. 食欲增加
全部15种抗抑郁药中,食欲增加发生率显著高于安慰剂的仅1种,为米氮平(6.37)。
氟伏沙明、帕罗西汀、文拉法辛的食欲增加发生率与安慰剂无显著差异。阿戈美拉汀、安非他酮、西酞普兰、去甲文拉法辛、度洛西汀、艾司西酞普兰、氟西汀、左旋米那普仑、瑞波西汀、伏硫西汀缺乏相关数据。
8. 口干
图片
图7 口干副作用发生率显著高于安慰剂的9种药物;竖线为95%CI
如图7,全部15种抗抑郁药中,口干发生率显著高于安慰剂的有10种,OR由高到低依次为:度洛西汀(2.79),去甲文拉法辛(2.68),瑞波西汀(2.23),文拉法辛(2.18),舍曲林(2.18),安非他酮(2.05),帕罗西汀(1.95),艾司西酞普兰(1.77),左旋米那普仑(1.74),氟伏沙明(1.64)。
阿戈美拉汀、西酞普兰、氟西汀、米氮平、伏硫西汀的口干发生率与安慰剂无显著差异。
上述结果均未发现发表偏倚的证据。
敏感性分析
仅分析针对18-65岁患者的研究时,主要结果在很大程度上得到了确认,但也有变化。例如,此时伏硫西汀的恶心/呕吐发生率最高,腹泻的发生率也显著高于安慰剂,但与厌食不再具有相关性。
仅分析单独使用抗抑郁药(而非与安慰剂联用)的随机对照研究时,主要结果无变化。
仅分析非药企赞助的随机对照研究时,主要分析的结果总体上无变化。
分析使用相同剂量药物的患者时发现,一些抗抑郁药的消化道副作用呈现量效关系,如西酞普兰及艾司西酞普兰的恶心/呕吐副作用,以及伏硫西汀的便秘副作用。
结论
精神科医生更好地了解抗抑郁药的耐受性状况,包括治疗早期的消化道副作用,有助于针对性地选药及开展宣教,强化治疗联盟,提高患者的治疗依从性。
总体而言,目前临床常用的抗抑郁药或多或少地存在消化道副作用,但不同药物具体副作用的风险存在差异,可能与其作用机制有关。一些具体发现包括:艾司西酞普兰及舍曲林的消化道耐受性总体较差;米氮平的消化道副作用主要为增加食欲,且可能有助于改善恶心;氟西汀与较低的消化不良风险显著相关;西酞普兰/艾司西酞普兰导致恶心的效应及伏硫西汀的便秘副作用似乎存在量效关系。
本项研究存在一定的局限性,如仅关注了抑郁症急性期患者,而同样经常使用抗抑郁药的焦虑障碍患者可能更容易出现消化道症状。此外,未来有必要进一步开展研究,探讨其他因素对抗抑郁药消化道副作用的影响,如内分泌及炎症状态,肠道微生物群构成,以及遗传变异等;这些因素也可能升高患者在抗抑郁药治疗期间出现消化道副作用的可能性。
文献索引:V. Oliva, M. Lippi, R. Paci, et al., Gastrointestinal side effects associated with antidepressant treatments in patients with major depressive disorder: A systematic review and meta-analysis, Progress in Neuropsychopharmacology & Biological Psychiatry (2019), https://doi.org/10.1016/j.pnpbp.2021.110266