汤昌福等:中深层套管换热器短期无干扰名义取热量计算解析方法

中深层套管换热器短期无干扰名义取热量计算解析方法
汤昌福1,2, 罗万静3, 黄骏玮3
(1.安徽省煤田地质局勘查研究院,安徽 合肥 230088;2.中国科学技术大学 热科学和能源工程系,安徽 合肥 230026;3.中国地质大学(北京) 能源学院,北京 100083)
摘    要
  从地下传热基本原理出发,考虑地温梯度影响,建立了中深层套管换热器进出口流体平均温度解析解和长时间近似解,推导了中深层套管换热器短期无干扰名义取热量计算解析公式,并通过与文献中结果对比进行了验证。研究结果表明,中深层套管换热器短期无干扰名义取热量是地温梯度的线性函数。短期无干扰名义取热量计算解析公式简单实用,可以实现中深层套管换热器短期换热性能快速评价。
关键词
套管换热器; 地温梯度; 名义取热量; 解析解
0 引    言
 地热能开发在我国受到越来越多的重视,特别是浅层地热能已经通过地源热泵技术获得了大面积应用。近年来,为解决我国北方冬季清洁供暖问题,研究人员尝试推广中深层套管换热器建筑应用技术[1⇓⇓-4]。中深层套管换热器深度通常在1 000~3 000 m之间,使用水为循环介质,具有占地少、地温高、取热不取水的优点,特别适合在严寒地区应用,在我国北方已有多个中深层套管建筑供暖项目示范,并且在新修订的《地源热泵系统工程技术规范》征求意见稿(2020)中也增加针对中深层套管换热技术的条文。
为科学分析套管换热器传热能力及影响分析,指导工程实践,学者们已经开展了大量的研究。Rybach和Hopkirk[5]最早提出利用深层套管换热技术开采地热能为建筑供暖。Beierrichard等[6-7]基于无限长线热源理论建立了浅层套管换热器换热解析模型,并分析垂向温度分布特征。Gordon等[8]建立了一种套管换热器传热复合介质模型,研究管子材料对换热效果的影响,指出采用钢制外管可以大大减小钻孔总长度需求。Zanchini等[9]采用有限元软件COMSOL分析了热短路、循环流量以及管材和换热器几何结构对浅层套管换热器换热性能的影响。Morgan等[10]利用三维有限元软件FEFLOW建立了管内外解耦三维非稳态模型,研究了岩土热物性参数、深埋管材料、运行机制等因素对同轴套管式深层套管换热性能的影响。研究表明,与浅层地热资源利用相比,深层系统可以获得更高的温度和投资回报,在125~600 kW装机容量之间,深层套管换热器更具潜力。Henrik等[11]运用Matlab软件建立了深层套管换热器二维数值模型,并给出了300~1 000 m埋深范围内的套管换热器性能曲线。
随着中深层套管建筑供暖技术的推广,国内在中深层套管换热器传热方面的研究也逐渐增加。张兵兵等[12]基于钻孔壁温度均匀且恒定假设,建立不同流体循环方式下套管换热器稳态换热解析模型,并进行了钻孔深度方向流体温度分析特征及换热器换热能力影响因素分析,但该解析模型没有考虑地温梯度的影响。孔彦龙等[1]采用开源数值模拟软件OpenGeoSys研究了地温梯度对深层套管换热器换热特性的影响,研究表明不考虑地温梯度影响换热器出口温度偏低。王硕等[13]应用Fluent软件模拟了青岛市深度为2 605 m深层套管换热器系统,并通过试验数据进行验证,建议深层套管换热器应采取有效措施提高内管的隔热性能。方亮等[2-3]提出采用“名义取热量”评价套管换热器传热性能,并运用有限差分方法计算“名义换热量”图版,供工程技术人员参考。Wang等[4]建立了考虑垂向热物性差异的数值模型,并对某示范工程项目进行模拟分析。
注意到目前中深层套管换热器换热性能模拟以数值方法为主[1⇓⇓-4,9⇓-11,13],例如有限元法、有限差分方法,并且有较为成熟的软件FLUENT、COMSOL、OpenGeoSys等,而已有解析模型[6-7,12]都未考虑地温梯度的作用,仅仅适用于浅层套管计算。与解析模型相比,数值方法操作复杂、计算时间长,不便于工程计算。笔者从中深层套管换热器地下传热基本原理出发,考虑地温梯度影响,建立并求解中深层套管换热器传热模型,并推导了短期无干扰名义取热量计算公式,用于中深层套管换热器换热性能研究。
1 数学模型
如图1所示,套管换热器安装在钻孔中,套管外管与周边地层之间以水泥砂浆回填。为获得更好的取热效果,中深层套管换热器流体循环通常采用外进内出模式,流体由外管流入换热器底部,经内管上升到地面后流出。套管换热器传热模型建立满足以下条件:
(1)地层平均导热系数为λs,体积热容为cs。地层初始温度Tg分布满足,
式中,gG为地温梯度,T0为地表平均温度,z为垂向深度,坐标轴朝下。
图片
图1   套管换热器示意图
   (2)钻孔半径为rb,深度为H;回填材料导热系数为λg;套管内管内径为dii,内管外径die,内管管壁导热系数为λpi;外管内径为doi,外管外径为doe,外管导热系数λpe。
(3)循环流体体积流量恒定为Wf,平均导热系数为λf,热容为cf,黏度为μf;流体进口温度为Tfin,出口温度为Tfout。
(4)假设地层内轴向传热可以忽略,钻孔内为稳态传热,套管换热器热流恒定为QG。
1.1 地层传热
 当忽略轴向传热时,套管换热器在地层中传热以平面热传导为主,当钻孔内传热为稳态时,内管流体1和外管流体2温度Tf1和
Tf2分别满足:
式中,qf1为内管流体1与内管管壁之间热流强度(延米换热量),qf2为外管流体2与外管管壁之间热流强度,R12为内管流体1和外管流体2之间的热阻,R2b为外管流体2与钻孔壁之间稳态热阻。钻孔内相关热阻R12和R2b计算可以参考文献[6-7]。
式(3)中Tb为钻孔壁温度,将钻孔看作无限大地层中线热源,钻孔壁温度Tb满足[14]:
式中,Tu为无限长线热源函数:
式中,t为时间,λs为地层平均导热系数,cs为体积热容,rb为钻孔半径,Ei为指数积分函数[14]。
综合式(3)(4)可以得到:
1.2 管内流体流动传热
 套管换热器内流体流动传热以对流传热为主,内管流体温度Tf1与外管流体Tf2分别满足:
综合式(2)(3)(6),管内流体流动传热方程(7)和(8)可以进一步写为:
1.3 定解条件
 在进出口处,流体温度满足:
在套管换热器底部流体温度连续,满足:
式中,H为钻孔深度。
2 结果
2.1 模型求解
 在无量纲坐标下对中深层套管换热器传热模型进行求解,所采用的无量纲量定义见附录A,具体解析求解过程在附录B给出。
2.1.1 流体进出口平均温度解
套管换热器进出口(ZD= 0)流体平均温度TfmD满足:
将附录B中内管流体1温度解(B16)代入(13)可以得到:
式中,系数fQ和fg分别满足:
式(14)中,右边第一项代表套管换热器热流作用,第二项代表地温梯度作用。D
2.1.2 短期无干扰名义取热量计算
  当中深层套管换热器运行时间较短、热干扰尚未发生时,可以采用短期无干扰名义取热量评价中深层套管换热器换热能力[2-3]。中深套管换热器短期无干扰名义取热量应满足[2-3]:以名义取热量连续运行三个月(90天)后,套管换热器进口流体温度应不低于5 °C。
根据无量纲量定义,式(14)可以写为:
在外进内出模式下,外管流体入口温度满足:
则套管换热器短期无干扰名义取热量QN计算公式为:
式(19)表明,名义取热量是地温梯度gG的线性函数,地层地温梯度越大,套管换热器的取热效果越好。
2.1.3 验证
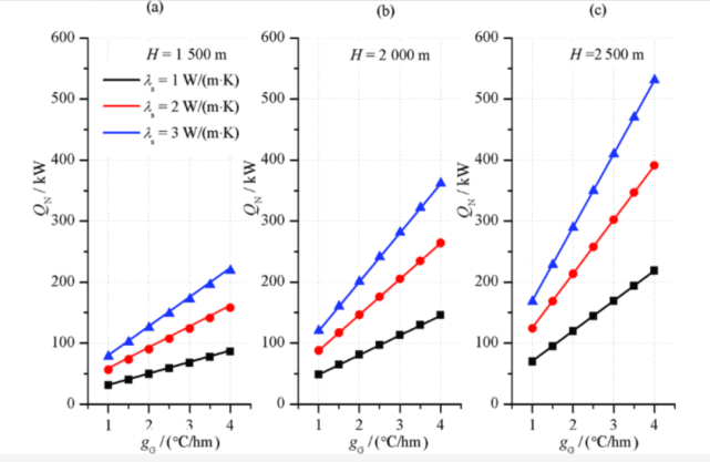
 方亮等[2-3]采用数值方法计算了不同地层导热系数(λs=1 W/(m·K)、2 W/(m·K)、3 W/(m·K))、不同深度(H=1 500 m、2 000 m、2 500 m)时深层套管换热器短期无干扰名义取热量随地温梯度变化曲线。图2给出了式(19)计算的名义取热量与方亮等[2-3]的结果对比情况,图中直线为方亮等[2-3]的结果,三角、圆圈和方框为式(19)计算结果,可以发现二者基本保持一致,证明了短期无干扰名义取热量计算解析公式(19)的正确性。
图片
图2   短期无干扰名义取热量计算结果对比
2.2 近似解
当时间较大时,Δη ~ 0,η~0,存在近似表达式[15]:
式(14)右边第一项和第二项分别可以近似为:
综合(22)(23)可以得到套管换热器进出口流体平均温度近似解:
有量纲形式为:
式(25)中右边T0+gGH/2表示地层垂向初始平均温度。
此外,当时间满足:
式(25)可以近似为[14]
此时,进出口流体平均温度是对数时间的线性函数。进一步根据式(19)可以得到短期无干扰名义取热量计算近似公式:
图3给出了近似解(28)计算的名义取热量与精确解(19)的对比情况,图中直线为近似解计算结果,可以发现二者基本保持一致。在图3的计算范围内,近似解(28)计算的名义取热量与精确解(19)之间的相对误差不超过2%。
图片
图3   短期无干扰名义取热量近似解计算结果
与精确解(19)相比,短期无干扰名义取热量计算近似公式(28)更加简单方便,非常适合现场工程技术人员使用。
3 结论
(1)基于地下传热基本理论,考虑地温梯度影响,建立了中深层套管换热器地下传热模型,并推导了进出口流体平均温度解析解。
(2)推导了中深层套管换热器短期无干扰名义取热量计算公式,计算了不同深度、不同地层导热系数时深层套管换热器名义取热量随地层地温梯度变化曲线,并进行了验证。研究表明中深层套管换热器短期无干扰名义取热量是地层地温梯度的线性函数,地温梯度越大,套管换热器取热效果越好。
附录A 无量纲定义
 流体温度方程解析求解所采用的无量纲量定义如下:
无量纲长度, 
无量纲时间,
无量纲热阻,
无量纲线热源函数,
无量纲温度,
无量纲地温梯度,
以及无量纲参数,
附录B 流体温度解析解
将无量纲量定义代入式(9)-(12)得到流体温度方程的无量纲形式,
以及边界条件,
由方程(B2)可以得到,
 对上式进行求导得到,
将(B5)(B6)代入(B1)得到, 
方程(B7)的一个特解为,
方程(B7)的两个特征根分别为,
则方程(B7)的解可以写为,
式中,C和D为常数,由边界条件决定。根据(B5)可以得到外管流体2温度,
则内管和外管流体温差满足,
将边界条件(B3)(B4)代入(B12),并求解可以得到系数C和D, 
式中,
将C和D代入(B10)可以得到无量纲内管流体温度,
参考文献:
[1]孔彦龙, 陈超凡, 邵亥冰, 等.深井换热技术原理及其换热量评估[J]. 地球物理学报, 2017, 60(12): 4741-4752.
[2]FANG Liang, DIAO Nairen Diao, SHAO Zhukun, et al.
A computationally efficient numerical model for heat transfer simulation of deep borehole heat exchangers[J]. Energy and Buil-dings, 2018, 167(15): 79-88.
[3]方亮. 地源热泵系统中深层地埋管换热器的传热分析及其应用[D]. 济南: 山东建筑大学, 2018.
[4]WANG Z, WANG F, LIU J, et al.Field test and numerical investigation on the heat transfer characteristics and optimal design of the heat exchangers of a deep borehole ground source heat pump system[J]. Energy Conversion and Management, 2017, 153(12): 603-615.
[5]RYBACH L, HOPKIRK R. Shallow and deep borehole heat exchangers-achievements and prospects[M]//Proceedings of World Geothermal Congress. Florence: International Geothermal Association, 1995: 2133-2138.
[6]BEIERRICHARD A, ACUNA J, MOGENSEN P, et al.
Borehole resistance and vertical temperature profiles in coaxial borehole heat exchangers[J]. Applied Energy, 2013, 102: 665-675.
[7]BEIERRICHARD A, ACUNA J, MOGENSEN P, et al.
Transient heat transfer in a coaxial borehole heat exchanger[J]. Geothermics, 2014, 51: 470-482.
[8]GORDON David, BOLISETTI Tirupati, TING David, et al.
A physical and semi-analytical comparison between coaxial BHE designs considering various piping materials[J]. Energy, 2017, 141: 1610-1621.
[9]ZANCHINI E, LAZZARI S, PRIARONE A.Improving the thermal performance of coaxial borehole heat exchangers[J]. Energy, 2009, 35(2): 657-666.
[10]MORGAN Le Lous, FRANCOIS Larroque, ALAIN Dupuy, et al.Thermal performance of a deep borehole heat exchanger:Insights from a synthetic coupled heat and flow model[J]. Geothermics, 2015, 57: 157-172.
[11]HOLMBERG Henrik, ACUNA Jose, NESS Erling, et al.
Thermal evaluation of coaxial deep borehole heat exchangers[J]. Renewable Energy, 2016, 97: 65-76.
[12]张兵兵, 刁乃仁, 方亮.套管式地埋管换热器温度分布及换热性能计算[J]. 煤气与热力, 2019, 39(4): 21-27.
[13]王硕, 黄可钦, 王胜蓝, 等.同轴套管式深埋管换热器换热性能研究[J]. 制冷与空调, 2019, 19(4): 23-28.
[14]刁乃仁, 方肇洪. 地埋管地源热泵技术[M]. 北京: 高等教育出版社, 2005.
[15]《数学手册》编写组. 数学手册[M]. 北京: 高等教育出版社, 1979.
图片