DSN-DDI:双视图表征学习实现药物间相互作用预测性能突破

机器之心专栏
作者:于洲
对于需要服用多种药物的病人来说,如何确保这些药物在实现功能的同时不会相互作用对人体造成伤害是个值得思考的问题。
图片
药物 - 药物相互作用 (drug-drug interaction, DDI) 预测用于识别药物组合之间的相互作用,其中由于理化不相容性而引起的不良反应已引起广泛关注。以往的研究通常从整个药物分子的单双视角对药物信息进行建模,而忽略了原子间详细的相互作用,导致信息不完整和有噪声,限制了 DDI 预测的准确性。在这项工作中,微软研究院科学智能中心的研究员和湖南大学 DrugAI 团队首次提出了一种新的用于 DDI 预测的双视图药物表示学习网络 (“DSN-DDI”),该网络迭代地使用局部和全局表示学习模块,同时从单个药物 (“intra-view”) 和药物对 (“inter-view”) 中学习药物子结构。DSN-DDI 显著提高了现有药物的 DDI 预测性能,显示出在现实世界中 DDI 应用的有用性,在协同药物组合预测方面表现出良好的可转移性,可作为药物发现领域的通用框架。
代码链接:microsoft/Drug-Interaction-Research at DSN-DDI-for-DDI-Prediction (github.com)
本文创新和贡献:
DSN-DDI 采用了局部和全局的迭代表示学习模块,充分利用药物表征和药物对表征来进行子结构提取和药物相互作用 (DDI) 预测。
DSN-DDI 在转导设置和感应设置方面均达到了最先进的性能,并显示出对真实世界 DDI 应用的有用性。
DSN-DDI 具有良好的可转移性,可以作为药物发现领域的通用框架。
1. 方法介绍
在本研究中,为了充分利用来自不同 GNN 块的药物隐藏表示和利用原子层面的双视图信息,本文设计了 DSN-DDI,它采用了迭代的局部和全局表示学习模块,同时从 “intra-view” 和 “inter-view” 学习药物子结构,并使用所有分层的全局表示进行 DDI 预测,而不依赖额外的领域知识。这使得该模型同样适用于只有药物化学结构可及的诱导环境。DSN-DDI 可分为子结构学习模块和 DSN 解码器模块,前者用于从双视角学习药物对的子结构,后者用于子结构集成和最终的 DDI 预测。本文将药物相互作用预测问题形式化为二分类问题,并提出了一种新的药物 - 药物图。
DSN-DDI 是一个从双视角迭代学习药物子结构的图神经网络 (GNN),通过两种药物所有子结构之间的相互作用预测 DDI。在每个 GNN 块中,通过聚合相邻节点的信息来更新节点,然后进行子结构提取过程。一系列的 GNN 块具有不同尺度的感受野,导致不同的提取子结构。
图片
对于相邻的节点,在 “intra-view” 中,它被定义为与药物分子的中心节点有化学键的节点。作为对比,在 “inter-view” 中,本文通过将一种药物中的一个节点与另一种药物中的所有节点连接起来来定义边界,从而形成二分图。然后通过聚合另一种药物的所有节点信息来更新一种药物的节点。
图片
DSN-DDI 由子结构学习模块和 DSN 解码器组成。以两个用于 “intra-view” 学习的单药物图和一个用于 “inter-view” 学习的二分图作为输入,子结构学习模块具有局部 (原子级) 和全局 (药物级) 表示学习过程。
图片
DSN 编码器用于学习局部表示,由两种药物具有共享权重的表示提取层、每种药物各自的 “intra-view” 层和两种药物之间的 “inter-view” 层组成,并同时对药物内部 (intra-view) 和药物对 (inter-view) 原子之间的相互作用进行编码,然后聚合 “intra-view” 和 “inter-view” 的信息以更新下一个 DSN 编码器的节点表示。在 DSN 编码块之后,本文设计了一个自我注意图 (SAG) 池化层来学习药物对的全局表示。由于一系列编码器捕获相邻信息的顺序不同,因此从不同的角度提取子结构。
图片
基线
本文使用以下最先进的基线评估了本文的算法 DSN-DDI,包括基于子结构的算法和双视图学习的算法。
MR-GNN:利用图卷积网络 (GCN) 嵌入节点级特征,然后捕获每种药物的不同子结构的表示。这些表示都输入到一个循环神经网络 (RNN) 用于 DDI 预测。
MHCADDI:在个体药物的表征学习过程中,利用一种共同注意机制,基于药物对的结构信息整合内部和外部消息。
SSI-DDI:将每个节点的隐藏表示作为子结构,然后计算这些子结构之间的相互作用来预测 DDI。
GAT-DDI:利用图注意网络 (GAT) 进行药物表示学习和 DDI 预测。
GMPNN-CS:学习不同的化学子结构,然后为最终的 DDI 预测建模这些子结构之间的相互作用。
SA-DDI:采用子结构感知的图神经网络,设计了一种新颖的子结构注意机制来学习用于 DDI 预测的药物。所有这些算法都在转导和归纳设置下进行了评估。
参数设定
DSN- ddi 包含 4 个 DSN 编码器块。每个区组都有一个表示层,该层对两种药物都有共享的权重,一个 “intra-view” 层对各自的药物,一个 “inter-view” 层对药物对。各层均采用 GAT 机制,配备 2 个 attention heads 进行消息传递。每个 DSN 编码器输出 128 维隐藏表示,包括 64 维 “inter-view” 嵌入和 64 维 “intra-view” 嵌入。药物图中的每个节点都有一个原始的 55 维化学特征作为输入。
图片
本文使用网格搜索在验证集中进行超参数选择。下表总结了网格搜索空间。
图片
模型使用 Xavier 初始化,并使用 1024 个 DDI 进行小批量训练。本文使用 Adam SGD 优化器,并在 DrugBank 上使用 200 个 epoch 和在 Twosides 上使用 120 个 epoch 训练模型。转导设置的学习率为 0.01,归纳设置的学习率为 0.001。
2. 实验
2.1 现有药物换能器设置的性能评估
本文在两个标准基准上进行了实验:DrugBank 和 Twosides,以评估本文的算法 DSN-DDI 的性能。数据集的统计信息如下:
图片
实验结果报告了以下六个指标的平均值和标准差在三倍:准确度 (ACC),接受者操作特征下的面积 (AUC),和平均精度 (AP),F1 评分。
在 DrugBank 和 Twosides 上,与最先进的算法相比,DSN-DDI 实现了所有 4 个指标的最佳性能。
图片
本文的算法在所有评估指标上比目前最先进的算法取得了进一步的改进。DSN-DDI 在 Twosides 上的 ACC 和 F1 评分较次优的 SA-DDI 分别提高了 13.01% 和 11.86%。此外,在 DrugBank 和 Twosides 上的 AUC 分别达到 99.47% 和 99.90%,表明 DSN-DDI 在转导设置上进行了完美的 DDI 预测,几乎解决了现有药物的 DDI 预测任务。此外,下表分别比较了 DrugBank 训练集和测试集的预测精度值,表现一致表明本文训练模型时没有过拟合。
图片
2.2 隐形药品诱导设置的性能评价
本文随机选取 20% 的药物作为未知药物,其余药物作为现有药物。训练集上的所有阳性和阴性样本均为 DDI 三联体,其中两种药物均为现有药物,使用两种划分方案对测试集进行划分:
S1 分区方案:测试集上的阳性样本和阴性样本均有两种未知药物。该任务是预测训练集中一对没有已知副作用的新药与其他药物组合的 DDI。
S2 划分方案:测试集上的阳性样本和阴性样本各有一种未知药物和一种已知药物。这项任务是预测一种新药的 DDI,该新药与另一种现有药物的任何组合都没有作用。
与最先进的算法相比,DSN-DDI 在所有评估指标上都取得了最好的性能,与转导设置的性能相似。值得注意的是,本文的算法在很大程度上优于次优算法,例如,在 S1 和 S2 分区上,AUC 分别相对提高了 9.11% 和 7.27%。这些结果表明,DSN-DDI 不仅考虑单个药物的结构,而且从药物对中学习相互作用,这极大地弥补了未知药物先验知识和交互信息的不足。
2.3 消融研究的有效性模型设计
本文在 DSN-DDI 中设计了两组关于局部水平和全局水平表征学习的消融研究,评估了 DSN-DDI 的三个变体在局部水平表征学习中的关键成分。DSN-DDI 及其五个变体在 Twosides 数据集以及 DrugBank 数据集上的性能评估如下:
图片
DSN-DDI 及其 5 种变体在 Twosides 数据集上用于转导设置的性能评估
图片
DSN-DDI 及其五个变体在 DrugBank 数据集上的性能评估
图片
DSN-DDI 及其五个变体在 DrugBank 数据集上归纳设置的性能评估
图片
双侧数据集上 DSN-DDI 及其五种变体的归纳设置性能评价
完整的 DSN-DDI 架构优于所有变体,这表明所有提议模块的有效性。综上所述,DSN-DDI 中用于两级表示学习的所有组件都有助于 DDI 预测,而局部级表示学习中设计的新操作更有用。
2.4 真实的 DDI 应用
为了验证 DSN-DDI 在真实世界 DDI 应用中的有效性,本研究利用已有的旧药物信息训练模型,对 FDA 新批准的药物进行 DDI 预测。本文收集了 DrugBank 数据集中所有药物的 FDA 药品批准信息,并根据 2017 年之前或之后的药品批准日期将其分为两部分。包含两种旧药物的 DDI 三联体构成训练集,而包含至少一种新药物的其余 DDI 三联体被招募到测试集。
图片
药物库新药申请数据的统计
本文使用相同的超参数训练和评估 DSN-DDI。此外,本文从上述性能评估中选取了三种最先进的 DDI 预测算法 ——SSI-DDI, GMPNNN-CS 和 SA-DDI 进行比较。这三种算法用它们的默认超参数在相同的数据集上重现。DSN-DDI 在 ACC、AUROC、AP 和 F1 这四个指标上都显著优于 SSI-DDI、GMPNN-CS 和 SA-DDI。这些结果巩固了 DSN-DDI 捕获了不同药物之间相互作用的广义信息,因此适用于新批准的药物。
图片
DSN-DDI 的 ROC 曲线下面积和 PR 曲线下面积均显著大于 SSI-DDI、GMPNN-CS 和 SA-DDI,表明 DSN-DDI 可以很好地区分 DDI 的正向效应和负向效应。
图片
2.5 模型对协同药物联合预测的可移植性
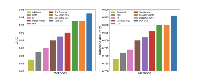
本文选择了一个包含 12,415 个独特的药物对 - 细胞组合的平衡基准数据集进行评估。它由 36 种抗癌药物和 31 种人类癌细胞系组成。本文进行了 5 折交叉验证,以评估本文的模型的性能。在模型训练方面,本文采用 DDI 预测中相同的超参数和配置训练 DSN-DDI 用于药物组合预测。本文选择了三种基于机器学习的算法,即随机森林 (RF),梯度提升机器 (GBM) 和 Adaboost,以及四种最先进的基于深度学习的算法,即 TranSynergy,深度张量因子分解 (DTF),DeepSynergy 和 DeepDDS 进行比较。
与其他最先进的算法相比,DSN-DDI 在 AUC 和平衡精度方面的表现最好,表明其具有出色的药物组合预测能力。由于双视图信息传递机制,DSN-DDI 可以充分利用嵌入在单药和药物对中的信息,并与相应的细胞系建立可靠的连接,并在药物组合预测方面仍表现良好。结果证明,本文的模型对以药物对为输入的任务具有良好的可转移性。此外,DSN-DDI 中的见解和新设计的模块可应用于更多的二体相互作用问题,如药物 - 靶点相互作用预测、蛋白质 - 蛋白质相互作用预测等。
图片
2.6  5 个 DDI 案例
本文提取并说明了 5 个 DDI 案例中具有重要原子的有效子结构,通过 SAGpooling 操作获得了每个区组中药物的每个原子的贡献分数。DSN-DDI 学到的这些原子聚集到药物化学结构的某些特定区域,形成稳定的亚结构。因此,DSN-DDI 对所有 5 个病例都做出了几乎完美的预测 (即预测得分超过 0.99)。
图片
为了进一步探索 DSN-DDI 生成的子结构的可解释性,本文提取并说明了双香豆素和其他 5 种药物之间具有重要原子的有效子结构。通过使用相同的可视化方法,本文确定了 5 个 DDI 的重要节点和有效子结构。
图片
值得注意的是,DSN-DDI 在 5 例患者中分别提取了戊巴比妥、氨巴比妥、司可巴比妥、嘧啶酮和甲基苯巴比妥等相似的有效亚结构,即巴比妥酸。前期研究表明,具有巴比妥酸亚结构的药物可以增强人肝微粒体的活性,从而降低双香豆素的疗效。因此,DSN-DDI 获得的这些重要的原子和子结构与实验和药理学结果有很好的一致性。
3. 总结
在这项工作中,本文提出了一个双视角子结构学习框架,用于预测药物对可能的多重副作用。综合实验证实了 DSN-DDI 在转导和感应状态下的 DDI 预测方面的最新性能。DSN-DDI 的双侧正确率为 13.01%,与目前最先进的方法相比有显著的提高。更重要的是,DSN-DDI 在更具挑战性的归纳场景中取得了显著的性能提升,与次优算法相比,在 S1 分区方案上平均提高了 7.07%,在 S2 分区方案上平均提高了 5.40%。通过在每种药物中进行 “intra-view” 消息传递,以及在两种药物之间进行 “inter-view” 消息传递,本文展示了在子结构表示学习中,将联合药物 - 药物信息集成到 DDI 预测中的能力。未来的研究可以进一步提高新药模型在归纳学习环境下的泛化能力,使其接近真实世界中新药存在且之前没有任何相关药物相互作用的情景。
图片