全球减肥药物盘点

减肥,是一个永恒的话题,身材焦虑在21世纪的今天已经不再罕见。
WHO数据显示,全球有近20亿人超重或肥胖,其中,美国成年人(15岁以上)肥胖率更是高达38.2%。
从世界范围来看,我国肥胖率并不高,但由于人口基数大,减肥药市场合规产品极度空缺,2025年减肥药的合规市场有望超过120亿元。仅诺和诺德两款减肥(降糖)药产品:司美格鲁肽和利拉鲁肽在2021年合计贡献95亿美元收入;2022年仅前三季度,就合计销售约85亿美元。
已获批减肥药盘点
Guide View
目前,经美国FDA批准作为减肥药物上市且在国内能够获得的药物有两种:奥利司他和利拉鲁肽。
奥利司他
图片
其中,奥利司他是在我国唯一获得国家药监局批准肥胖症治疗适应证的药物。
而利拉鲁肽目前在我国还未获批减肥适应症,但已被纳入超药品说明书用药目录(如确需使用利拉鲁肽作为单纯减重药物使用,需符合超说明书用药相关规定)。
1999年4月FDA批准Hoffmann-LaRoche公司的奥利司他在美国上市,作为一款强效的选择性胃和胰脂肪酶抑制剂,奥利司他通过抑制肠道吸收脂肪,使得脂肪吸收比例降低近 30%,起到减肥效果。
图片
但它也并非十全十美,肠道抑制剂类药物安全性虽高,作为长期治疗肥胖用药,奥利司他治疗效果显著,但耐受性较差,容易引起腹胀等胃肠道的不适,同时可能引发肝损伤。
利拉鲁肽
利拉鲁肽是胰高血糖素样肽- 1(GLP-1)受体激动剂,是内分泌细胞分泌的一种肠促胰岛素激素。
图片
进食后,GLP -1随血液进入机体多个器官,促进胰岛素分泌,延迟餐后胃排空,促进胰岛素β细胞的增长,增加饱腹感,从而起到减肥的作用。
利拉鲁肽常见副作用为恶心、腹泻、呕吐、低血糖、食欲下降。该药适用于较肥胖患者,但目前长期使用的安全性仍需考查。
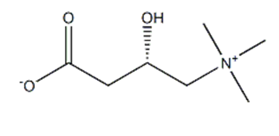
左旋肉碱
图片
左旋肉碱的研究始于20世纪初期。1905年,俄国人Gulewitsch和Krimberg从肉类提取物中发现了左旋肉碱。
目前已应用于医药、保健和食品等领域,并已被瑞士、法国、美国和世界卫生组织规定为法定的多用途营养剂。
虽然安全性较高,但左旋肉碱并没有减肥功效。只有在运动的时候,左旋肉碱可以帮助长链脂肪酸的氧化,补充左旋肉碱必须要配合运动才能达到减肥的效果。
氯卡色林
图片
2012年6月27日,FDA批准了Arena制药公司的新减肥药Belviq(Lorcaserin,盐酸氯卡色林)上市,这种减肥药可帮助患者减少食欲。
但是氯卡色林减重效果算不上惊艳,另外它获准销售不算太久,在安全性方面还没有更充足的证据,可能会带来头痛、头晕、疲劳等不良反应。
纳曲酮/安非他酮
图片
2014年9月FDA批准纳曲酮/安非他酮合剂在作为长期辅助减肥药物在美国上市。
纳曲酮(Naltrexone)是一个减轻体重量最小的阿片受体拮抗剂,抑制激素对细胞的作用,减轻摄入量;安非他酮(bupropion,Contrave)通过中枢作用,增加饱腹感,增加代谢,减轻体重。
纳曲酮/安非他酮1959年被批准用于减重,可以通过影响食欲和能量消耗等来帮助肥胖人群控制体重。
常见的不良反应包括便秘、头晕、口干、头痛、恶心和呕吐,并且可能会提高自杀念头及其他精神疾病的风险,FDA在其药物标签上标注了“黑框警告”。
美曲普汀
Amylin 制药公司生产的一种瘦素类似物—美曲普汀,在2014年2 月被FDA 批准在美国上市。
美曲普汀作为瘦素类似物可以弥补瘦素的缺乏,抑制脂肪的代谢障碍。FDA 警告美曲普汀不适合没有确诊为先天性或获得性脂肪代谢障碍的肥胖症患者。
蠢蠢欲动的“新秀”
Guide View
度拉糖肽/GLP-1
度拉糖肽是人体内GLP-1受体激动剂,与体内某种能够促进胰岛素分泌的物质相似度在90%以上,通过刺激人体某受体间接性的促进胰岛素的分泌,从而降低血糖。
同时,度拉糖肽还可以抑制胰高血糖素(升血糖的作用)的分泌并延缓胃排空。
替西帕肽/GLP-1R+GIP-1
2022年5月,替西帕肽在美国被批准用于医疗用途,通过激活GLP-1和GIP受体,从而改善血糖控制。值得一提的是,替西帕肽是有史以来减肥效果最显著、也是第一款平均减肥效果超过20%体重的药物。
二甲双胍
二甲双胍(Metformin)自1957年问世,应用于临床已有60多年的历史,是当前全球应用最广泛的口服降糖药之一。
图片
二甲双胍的减肥作用主要是减少内脏脂肪,只有明显超重或肥胖的人服用此药才会有减肥的效果,而体重正常的人如果想通过服用二甲双胍使自己更加苗条并不现实。
SGLT2抑制剂
SGLT-2抑制剂通过抑制肾小管钠-葡萄糖协同转运蛋白2(SGLT-2)介导的葡萄糖重吸收,促进尿糖排泄而发挥降糖作用,是一类新型抗糖尿病药物。目前市场上比较常见的SGLT2抑制剂有恩格列净、卡格列净、达格列净和艾托格列净等。
总结
我国唐朝以“丰腴”为美,直到20世纪初,发达国家的主要职能部门才真正把肥胖定义为一种疾病,审美的变革,进一步让“肥胖”真正成为需要治疗的疾病。
目前美国成年人口中有接近3/4出现了超重和肥胖问题,中国成年人口中也有一半体重失控,而肥胖带来的远不仅仅是体重过重和运动不便,还是许多疾病的风险因素,如糖尿病、心血管疾病、癌症等。
如今减肥药物市场已经发生巨大变化,未来几年,随着利拉鲁肽的化合物专利2017年已经到期、晶体专利2022年到期,各种减肥药物势必会井喷式增长。
减肥小贴士
对于肥胖的诊断,目前主要有以下三种方法:
 1.以体重指数(BMI)诊断肥胖
2.以腰围诊断中心型肥胖
图片
3.以体脂率诊断肥胖
图片
制作策划
策划:雯山  /  审核校对:chem、拂兰
撰写编辑:雯山 /  封面图来源:网络
媒体合作 | 微信号:GuideView2021
投稿转载 |13291812132(同微信)
参考来源
[1] Apovian C M, Aronne L J, Bessesen D H, et al. Pharmacological management of obesity: an endocrine Society clinical practice guideline[J]. J Clin Endocrinol Metab,2015,100(2):342-362.
[2] 王东文,张宇,沙靖全,等. 减肥药的研究进展[J]. 天津药学,2016,28(01):53-56.